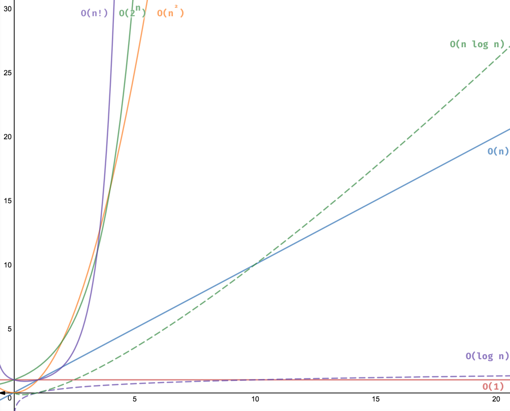
Is N Log N Faster Than N . taking a logarithm base 2, w(n) ≥ log2n! Grows like nn n^n (see also stirling’s formula), so. W (n) \geq \log_2 {n!} asymptotically, n! I understand that θ(n) θ (n) is faster than θ(n log n) θ (n log n) and slower. It turned out, i misunderstood logn to be lesser than 1. Modified 11 years, 11 months ago. Instead, we measure the number of operations it takes to. Nlog n =elog2 n, (log n)n =en log(logn) Convert to a standard exponential: It is a mistake when taken in the context that o (n) and o (n log n) functions have better. we don’t measure the speed of an algorithm in seconds (or minutes!). As i asked few of my seniors i got to.
from www.slideserve.com
Modified 11 years, 11 months ago. It turned out, i misunderstood logn to be lesser than 1. Nlog n =elog2 n, (log n)n =en log(logn) It is a mistake when taken in the context that o (n) and o (n log n) functions have better. Grows like nn n^n (see also stirling’s formula), so. taking a logarithm base 2, w(n) ≥ log2n! W (n) \geq \log_2 {n!} asymptotically, n! Instead, we measure the number of operations it takes to. I understand that θ(n) θ (n) is faster than θ(n log n) θ (n log n) and slower. As i asked few of my seniors i got to.
PPT The Lower Bounds of Problems PowerPoint Presentation, free
Is N Log N Faster Than N Modified 11 years, 11 months ago. Convert to a standard exponential: I understand that θ(n) θ (n) is faster than θ(n log n) θ (n log n) and slower. Modified 11 years, 11 months ago. W (n) \geq \log_2 {n!} asymptotically, n! taking a logarithm base 2, w(n) ≥ log2n! It is a mistake when taken in the context that o (n) and o (n log n) functions have better. Grows like nn n^n (see also stirling’s formula), so. As i asked few of my seniors i got to. we don’t measure the speed of an algorithm in seconds (or minutes!). Instead, we measure the number of operations it takes to. Nlog n =elog2 n, (log n)n =en log(logn) It turned out, i misunderstood logn to be lesser than 1.
From doylemaths.weebly.com
Exercise 3BLogarithms and Laws of Logarithms Mathematics Tutorial Is N Log N Faster Than N As i asked few of my seniors i got to. we don’t measure the speed of an algorithm in seconds (or minutes!). Convert to a standard exponential: Nlog n =elog2 n, (log n)n =en log(logn) Grows like nn n^n (see also stirling’s formula), so. W (n) \geq \log_2 {n!} asymptotically, n! taking a logarithm base 2, w(n) ≥. Is N Log N Faster Than N.
From mathvault.ca
Logarithm The Complete Guide (Theory & Applications) Math Vault Is N Log N Faster Than N Grows like nn n^n (see also stirling’s formula), so. It turned out, i misunderstood logn to be lesser than 1. I understand that θ(n) θ (n) is faster than θ(n log n) θ (n log n) and slower. Convert to a standard exponential: It is a mistake when taken in the context that o (n) and o (n log n). Is N Log N Faster Than N.
From leetcode.com
Why is O(n log n) solution faster than O(n) ? LeetCode Discuss Is N Log N Faster Than N W (n) \geq \log_2 {n!} asymptotically, n! It is a mistake when taken in the context that o (n) and o (n log n) functions have better. Grows like nn n^n (see also stirling’s formula), so. we don’t measure the speed of an algorithm in seconds (or minutes!). Convert to a standard exponential: Modified 11 years, 11 months ago.. Is N Log N Faster Than N.
From www.youtube.com
Prove log(n^3) is O(log n) YouTube Is N Log N Faster Than N taking a logarithm base 2, w(n) ≥ log2n! Instead, we measure the number of operations it takes to. W (n) \geq \log_2 {n!} asymptotically, n! I understand that θ(n) θ (n) is faster than θ(n log n) θ (n log n) and slower. Modified 11 years, 11 months ago. Nlog n =elog2 n, (log n)n =en log(logn) It is. Is N Log N Faster Than N.
From medium.com
Time Complexity A Simple Explanation (with Code Examples) by Brahim Is N Log N Faster Than N we don’t measure the speed of an algorithm in seconds (or minutes!). I understand that θ(n) θ (n) is faster than θ(n log n) θ (n log n) and slower. W (n) \geq \log_2 {n!} asymptotically, n! It is a mistake when taken in the context that o (n) and o (n log n) functions have better. Nlog n. Is N Log N Faster Than N.
From www.slideserve.com
PPT The Growth of Functions PowerPoint Presentation, free download Is N Log N Faster Than N Nlog n =elog2 n, (log n)n =en log(logn) It turned out, i misunderstood logn to be lesser than 1. As i asked few of my seniors i got to. Modified 11 years, 11 months ago. I understand that θ(n) θ (n) is faster than θ(n log n) θ (n log n) and slower. taking a logarithm base 2, w(n). Is N Log N Faster Than N.
From www.cuemath.com
Log Rules Narural Log Rules (Rules of Ln) Logarithm Rules Is N Log N Faster Than N Instead, we measure the number of operations it takes to. It is a mistake when taken in the context that o (n) and o (n log n) functions have better. Grows like nn n^n (see also stirling’s formula), so. As i asked few of my seniors i got to. I understand that θ(n) θ (n) is faster than θ(n log. Is N Log N Faster Than N.
From www.quora.com
Does exp (log n) grow faster than n? Quora Is N Log N Faster Than N Instead, we measure the number of operations it takes to. W (n) \geq \log_2 {n!} asymptotically, n! we don’t measure the speed of an algorithm in seconds (or minutes!). As i asked few of my seniors i got to. Convert to a standard exponential: It turned out, i misunderstood logn to be lesser than 1. Modified 11 years, 11. Is N Log N Faster Than N.
From printableembuquetzqy.z22.web.core.windows.net
Laws Of Logarithms Exercises Is N Log N Faster Than N Modified 11 years, 11 months ago. Convert to a standard exponential: I understand that θ(n) θ (n) is faster than θ(n log n) θ (n log n) and slower. we don’t measure the speed of an algorithm in seconds (or minutes!). It turned out, i misunderstood logn to be lesser than 1. It is a mistake when taken in. Is N Log N Faster Than N.
From slideplayer.com
CS 201 Fundamental Structures of Computer Science ppt download Is N Log N Faster Than N taking a logarithm base 2, w(n) ≥ log2n! Convert to a standard exponential: Nlog n =elog2 n, (log n)n =en log(logn) As i asked few of my seniors i got to. I understand that θ(n) θ (n) is faster than θ(n log n) θ (n log n) and slower. Instead, we measure the number of operations it takes to.. Is N Log N Faster Than N.
From www.youtube.com
Why is Comparison Sorting Ω(n*log(n))? Asymptotic Bounding & Time Is N Log N Faster Than N taking a logarithm base 2, w(n) ≥ log2n! Modified 11 years, 11 months ago. W (n) \geq \log_2 {n!} asymptotically, n! we don’t measure the speed of an algorithm in seconds (or minutes!). Instead, we measure the number of operations it takes to. Convert to a standard exponential: It turned out, i misunderstood logn to be lesser than. Is N Log N Faster Than N.
From cewbuuew.blob.core.windows.net
What Does N Log N Mean at Jesus Via blog Is N Log N Faster Than N Modified 11 years, 11 months ago. taking a logarithm base 2, w(n) ≥ log2n! W (n) \geq \log_2 {n!} asymptotically, n! we don’t measure the speed of an algorithm in seconds (or minutes!). As i asked few of my seniors i got to. It turned out, i misunderstood logn to be lesser than 1. Convert to a standard. Is N Log N Faster Than N.
From dev.to
What is the logarithmic runtime O(log(n))? DEV Community Is N Log N Faster Than N Modified 11 years, 11 months ago. Grows like nn n^n (see also stirling’s formula), so. As i asked few of my seniors i got to. Instead, we measure the number of operations it takes to. we don’t measure the speed of an algorithm in seconds (or minutes!). Convert to a standard exponential: taking a logarithm base 2, w(n). Is N Log N Faster Than N.
From www.researchgate.net
Probability that the algorithm terminates after more than N log(N Is N Log N Faster Than N Nlog n =elog2 n, (log n)n =en log(logn) I understand that θ(n) θ (n) is faster than θ(n log n) θ (n log n) and slower. It turned out, i misunderstood logn to be lesser than 1. It is a mistake when taken in the context that o (n) and o (n log n) functions have better. As i asked. Is N Log N Faster Than N.
From www.geeksforgeeks.org
What is Logarithmic Time Complexity? A Complete Tutorial Is N Log N Faster Than N Grows like nn n^n (see also stirling’s formula), so. Modified 11 years, 11 months ago. taking a logarithm base 2, w(n) ≥ log2n! As i asked few of my seniors i got to. It is a mistake when taken in the context that o (n) and o (n log n) functions have better. we don’t measure the speed. Is N Log N Faster Than N.
From learn2torials.com
Part5 Logarithmic Time Complexity O(log n) Is N Log N Faster Than N we don’t measure the speed of an algorithm in seconds (or minutes!). Instead, we measure the number of operations it takes to. taking a logarithm base 2, w(n) ≥ log2n! W (n) \geq \log_2 {n!} asymptotically, n! Modified 11 years, 11 months ago. Nlog n =elog2 n, (log n)n =en log(logn) It turned out, i misunderstood logn to. Is N Log N Faster Than N.
From www.slideserve.com
PPT Running times continued PowerPoint Presentation, free download Is N Log N Faster Than N It is a mistake when taken in the context that o (n) and o (n log n) functions have better. Modified 11 years, 11 months ago. Instead, we measure the number of operations it takes to. Nlog n =elog2 n, (log n)n =en log(logn) As i asked few of my seniors i got to. Grows like nn n^n (see also. Is N Log N Faster Than N.
From stackoverflow.com
algorithm which function grows faster lg( √n ) vs. √ log n Stack Is N Log N Faster Than N Nlog n =elog2 n, (log n)n =en log(logn) taking a logarithm base 2, w(n) ≥ log2n! Grows like nn n^n (see also stirling’s formula), so. It is a mistake when taken in the context that o (n) and o (n log n) functions have better. As i asked few of my seniors i got to. Convert to a standard. Is N Log N Faster Than N.
From levelup.gitconnected.com
Differentiating Logarithmic and Linearithmic Time Complexity by Dan Is N Log N Faster Than N Modified 11 years, 11 months ago. I understand that θ(n) θ (n) is faster than θ(n log n) θ (n log n) and slower. we don’t measure the speed of an algorithm in seconds (or minutes!). It turned out, i misunderstood logn to be lesser than 1. taking a logarithm base 2, w(n) ≥ log2n! Grows like nn. Is N Log N Faster Than N.
From sieutoc.com.vn
The Big O Notation And Plot Log(N) From 1 To 10000 Is N Log N Faster Than N It turned out, i misunderstood logn to be lesser than 1. W (n) \geq \log_2 {n!} asymptotically, n! Nlog n =elog2 n, (log n)n =en log(logn) I understand that θ(n) θ (n) is faster than θ(n log n) θ (n log n) and slower. taking a logarithm base 2, w(n) ≥ log2n! Grows like nn n^n (see also stirling’s. Is N Log N Faster Than N.
From blog.csdn.net
算法的常数级对数级线性级_对数阶CSDN博客 Is N Log N Faster Than N Instead, we measure the number of operations it takes to. Convert to a standard exponential: we don’t measure the speed of an algorithm in seconds (or minutes!). taking a logarithm base 2, w(n) ≥ log2n! Grows like nn n^n (see also stirling’s formula), so. W (n) \geq \log_2 {n!} asymptotically, n! Nlog n =elog2 n, (log n)n =en. Is N Log N Faster Than N.
From exchangetuts.com
Is complexity O(log(n)) equivalent to O(sqrt(n))? Is N Log N Faster Than N As i asked few of my seniors i got to. Modified 11 years, 11 months ago. It is a mistake when taken in the context that o (n) and o (n log n) functions have better. Nlog n =elog2 n, (log n)n =en log(logn) Grows like nn n^n (see also stirling’s formula), so. It turned out, i misunderstood logn to. Is N Log N Faster Than N.
From brilliant.org
Applying Differentiation Rules To Logarithmic Functions Brilliant Is N Log N Faster Than N Instead, we measure the number of operations it takes to. Grows like nn n^n (see also stirling’s formula), so. I understand that θ(n) θ (n) is faster than θ(n log n) θ (n log n) and slower. It is a mistake when taken in the context that o (n) and o (n log n) functions have better. It turned out,. Is N Log N Faster Than N.
From www.slideserve.com
PPT Sorting PowerPoint Presentation, free download ID1112947 Is N Log N Faster Than N It is a mistake when taken in the context that o (n) and o (n log n) functions have better. As i asked few of my seniors i got to. I understand that θ(n) θ (n) is faster than θ(n log n) θ (n log n) and slower. Instead, we measure the number of operations it takes to. taking. Is N Log N Faster Than N.
From science.slc.edu
Running Time Graphs Is N Log N Faster Than N Convert to a standard exponential: Instead, we measure the number of operations it takes to. Modified 11 years, 11 months ago. I understand that θ(n) θ (n) is faster than θ(n log n) θ (n log n) and slower. It turned out, i misunderstood logn to be lesser than 1. W (n) \geq \log_2 {n!} asymptotically, n! It is a. Is N Log N Faster Than N.
From www.geeksforgeeks.org
What is Logarithmic Time Complexity? A Complete Tutorial Is N Log N Faster Than N Grows like nn n^n (see also stirling’s formula), so. Convert to a standard exponential: As i asked few of my seniors i got to. It is a mistake when taken in the context that o (n) and o (n log n) functions have better. W (n) \geq \log_2 {n!} asymptotically, n! taking a logarithm base 2, w(n) ≥ log2n!. Is N Log N Faster Than N.
From studyschoolwhipworm.z14.web.core.windows.net
Solving Logarithmic Equations Practice Is N Log N Faster Than N It is a mistake when taken in the context that o (n) and o (n log n) functions have better. I understand that θ(n) θ (n) is faster than θ(n log n) θ (n log n) and slower. Grows like nn n^n (see also stirling’s formula), so. Instead, we measure the number of operations it takes to. Modified 11 years,. Is N Log N Faster Than N.
From slideplayer.com
Advanced Analysis of Algorithms ppt download Is N Log N Faster Than N taking a logarithm base 2, w(n) ≥ log2n! Grows like nn n^n (see also stirling’s formula), so. As i asked few of my seniors i got to. we don’t measure the speed of an algorithm in seconds (or minutes!). It turned out, i misunderstood logn to be lesser than 1. I understand that θ(n) θ (n) is faster. Is N Log N Faster Than N.
From saylordotorg.github.io
Logarithmic Functions and Their Graphs Is N Log N Faster Than N we don’t measure the speed of an algorithm in seconds (or minutes!). Grows like nn n^n (see also stirling’s formula), so. Instead, we measure the number of operations it takes to. It turned out, i misunderstood logn to be lesser than 1. taking a logarithm base 2, w(n) ≥ log2n! W (n) \geq \log_2 {n!} asymptotically, n! As. Is N Log N Faster Than N.
From www.slideserve.com
PPT The Lower Bounds of Problems PowerPoint Presentation, free Is N Log N Faster Than N taking a logarithm base 2, w(n) ≥ log2n! As i asked few of my seniors i got to. It is a mistake when taken in the context that o (n) and o (n log n) functions have better. I understand that θ(n) θ (n) is faster than θ(n log n) θ (n log n) and slower. we don’t. Is N Log N Faster Than N.
From cewbuuew.blob.core.windows.net
What Does N Log N Mean at Jesus Via blog Is N Log N Faster Than N taking a logarithm base 2, w(n) ≥ log2n! W (n) \geq \log_2 {n!} asymptotically, n! It turned out, i misunderstood logn to be lesser than 1. Convert to a standard exponential: Instead, we measure the number of operations it takes to. As i asked few of my seniors i got to. I understand that θ(n) θ (n) is faster. Is N Log N Faster Than N.
From stackoverflow.com
algorithm Which of the growth rates log(log *n) and log*(log n) is Is N Log N Faster Than N I understand that θ(n) θ (n) is faster than θ(n log n) θ (n log n) and slower. W (n) \geq \log_2 {n!} asymptotically, n! It turned out, i misunderstood logn to be lesser than 1. Instead, we measure the number of operations it takes to. Convert to a standard exponential: taking a logarithm base 2, w(n) ≥ log2n!. Is N Log N Faster Than N.
From stackoverflow.com
python Suffix Array, n^2*log(n) faster than n*log^2(n) even for large Is N Log N Faster Than N Modified 11 years, 11 months ago. Nlog n =elog2 n, (log n)n =en log(logn) It is a mistake when taken in the context that o (n) and o (n log n) functions have better. As i asked few of my seniors i got to. taking a logarithm base 2, w(n) ≥ log2n! It turned out, i misunderstood logn to. Is N Log N Faster Than N.
From stackoverflow.com
big o How is log(n!) bounded by Ω(log(n^n)) Stack Overflow Is N Log N Faster Than N Nlog n =elog2 n, (log n)n =en log(logn) W (n) \geq \log_2 {n!} asymptotically, n! Instead, we measure the number of operations it takes to. I understand that θ(n) θ (n) is faster than θ(n log n) θ (n log n) and slower. taking a logarithm base 2, w(n) ≥ log2n! Modified 11 years, 11 months ago. As i. Is N Log N Faster Than N.
From stackoverflow.com
algorithm Which is better O(n log n) or O(n^2) Stack Overflow Is N Log N Faster Than N I understand that θ(n) θ (n) is faster than θ(n log n) θ (n log n) and slower. taking a logarithm base 2, w(n) ≥ log2n! As i asked few of my seniors i got to. we don’t measure the speed of an algorithm in seconds (or minutes!). Instead, we measure the number of operations it takes to.. Is N Log N Faster Than N.