Meter Stick Reaction Time . Much of the time it takes you to react to the ruler dropping is the time it takes electrical signals to travel along your nerves. Meter stick or metric ruler. Meter stick (a yard stick will work as well) strip of paper (1 cm x 75 cm or 0.5 inch x 30 inch). The objective of this test is to monitor the athlete's reaction time. This is a simple tool to measure your reaction time. The average (median) reaction time is 273 milliseconds, according to the data collected so. Moving at about 100 metres per second, a signal telling a finger to move. To gain experience using kinematics principles in calculations and to calculate your reaction time. To calculate your reaction time with a meter stick, you will need two people. Human reaction time is approximately 0.25 seconds which, for the majority of people, is not fast enough to catch a dollar bill. To conduct this test, you will require: The graph you create will show that the longer. Have one person hold the meter stick horizontally at the end of their arm. The other person will stand at the other end of.
from duino-projects.com
This is a simple tool to measure your reaction time. The objective of this test is to monitor the athlete's reaction time. The other person will stand at the other end of. Human reaction time is approximately 0.25 seconds which, for the majority of people, is not fast enough to catch a dollar bill. To calculate your reaction time with a meter stick, you will need two people. Much of the time it takes you to react to the ruler dropping is the time it takes electrical signals to travel along your nerves. Meter stick (a yard stick will work as well) strip of paper (1 cm x 75 cm or 0.5 inch x 30 inch). Moving at about 100 metres per second, a signal telling a finger to move. Meter stick or metric ruler. To gain experience using kinematics principles in calculations and to calculate your reaction time.
Reaction Time Meter (Visual, Audio and Touch)
Meter Stick Reaction Time To calculate your reaction time with a meter stick, you will need two people. To conduct this test, you will require: The graph you create will show that the longer. The other person will stand at the other end of. This is a simple tool to measure your reaction time. To gain experience using kinematics principles in calculations and to calculate your reaction time. The objective of this test is to monitor the athlete's reaction time. Meter stick (a yard stick will work as well) strip of paper (1 cm x 75 cm or 0.5 inch x 30 inch). Much of the time it takes you to react to the ruler dropping is the time it takes electrical signals to travel along your nerves. Have one person hold the meter stick horizontally at the end of their arm. Moving at about 100 metres per second, a signal telling a finger to move. Human reaction time is approximately 0.25 seconds which, for the majority of people, is not fast enough to catch a dollar bill. The average (median) reaction time is 273 milliseconds, according to the data collected so. To calculate your reaction time with a meter stick, you will need two people. Meter stick or metric ruler.
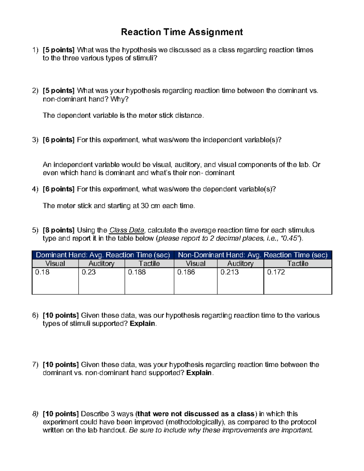
From quizzdbaceadorations.z13.web.core.windows.net
Average Reaction Time Ruler Drop Test Meter Stick Reaction Time The other person will stand at the other end of. Moving at about 100 metres per second, a signal telling a finger to move. The average (median) reaction time is 273 milliseconds, according to the data collected so. The objective of this test is to monitor the athlete's reaction time. This is a simple tool to measure your reaction time.. Meter Stick Reaction Time.
From physicsinmotion1.blogspot.com
Physics in Motion Mass of a Meterstick Meter Stick Reaction Time Much of the time it takes you to react to the ruler dropping is the time it takes electrical signals to travel along your nerves. The objective of this test is to monitor the athlete's reaction time. To conduct this test, you will require: To calculate your reaction time with a meter stick, you will need two people. The average. Meter Stick Reaction Time.
From www.science-sparks.com
How to Test your Reaction Time Science for Kids Meter Stick Reaction Time The objective of this test is to monitor the athlete's reaction time. Moving at about 100 metres per second, a signal telling a finger to move. Much of the time it takes you to react to the ruler dropping is the time it takes electrical signals to travel along your nerves. Meter stick (a yard stick will work as well). Meter Stick Reaction Time.
From chemistrylabs-2.blogspot.com
Ruler Test Reaction Time Results Chemistry Labs Meter Stick Reaction Time The objective of this test is to monitor the athlete's reaction time. Meter stick (a yard stick will work as well) strip of paper (1 cm x 75 cm or 0.5 inch x 30 inch). The graph you create will show that the longer. To calculate your reaction time with a meter stick, you will need two people. To conduct. Meter Stick Reaction Time.
From sciencing.com
How to Read a Meter Stick Sciencing Meter Stick Reaction Time Much of the time it takes you to react to the ruler dropping is the time it takes electrical signals to travel along your nerves. To conduct this test, you will require: The objective of this test is to monitor the athlete's reaction time. The other person will stand at the other end of. Human reaction time is approximately 0.25. Meter Stick Reaction Time.
From www.slideserve.com
PPT Science Tools PowerPoint Presentation, free download ID2050490 Meter Stick Reaction Time Meter stick (a yard stick will work as well) strip of paper (1 cm x 75 cm or 0.5 inch x 30 inch). Human reaction time is approximately 0.25 seconds which, for the majority of people, is not fast enough to catch a dollar bill. To conduct this test, you will require: To gain experience using kinematics principles in calculations. Meter Stick Reaction Time.
From www.chegg.com
Solved Calculate the rotational inertia of a meter stick, Meter Stick Reaction Time The other person will stand at the other end of. To calculate your reaction time with a meter stick, you will need two people. To conduct this test, you will require: The average (median) reaction time is 273 milliseconds, according to the data collected so. Meter stick or metric ruler. To gain experience using kinematics principles in calculations and to. Meter Stick Reaction Time.
From www.science-sparks.com
How to Test your Reaction Time Science for Kids Meter Stick Reaction Time Have one person hold the meter stick horizontally at the end of their arm. The graph you create will show that the longer. To conduct this test, you will require: Meter stick (a yard stick will work as well) strip of paper (1 cm x 75 cm or 0.5 inch x 30 inch). This is a simple tool to measure. Meter Stick Reaction Time.
From slideplayer.com
Monday 4/30/18 WEEK 16 Warm Up Predict what organs we will learn about Meter Stick Reaction Time The objective of this test is to monitor the athlete's reaction time. To gain experience using kinematics principles in calculations and to calculate your reaction time. This is a simple tool to measure your reaction time. Moving at about 100 metres per second, a signal telling a finger to move. The average (median) reaction time is 273 milliseconds, according to. Meter Stick Reaction Time.
From www.numerade.com
A Simple ReactionTime Test. A meter stick is held vertically above Meter Stick Reaction Time Meter stick or metric ruler. To gain experience using kinematics principles in calculations and to calculate your reaction time. Have one person hold the meter stick horizontally at the end of their arm. This is a simple tool to measure your reaction time. To conduct this test, you will require: To calculate your reaction time with a meter stick, you. Meter Stick Reaction Time.
From www.numerade.com
A meter stick is held vertically above your hand, with the lower end Meter Stick Reaction Time Meter stick or metric ruler. Have one person hold the meter stick horizontally at the end of their arm. To calculate your reaction time with a meter stick, you will need two people. The average (median) reaction time is 273 milliseconds, according to the data collected so. Meter stick (a yard stick will work as well) strip of paper (1. Meter Stick Reaction Time.
From www.sophia.org
Meter stick reaction time lab Tutorial Sophia Learning Meter Stick Reaction Time Meter stick (a yard stick will work as well) strip of paper (1 cm x 75 cm or 0.5 inch x 30 inch). Meter stick or metric ruler. Moving at about 100 metres per second, a signal telling a finger to move. The objective of this test is to monitor the athlete's reaction time. The graph you create will show. Meter Stick Reaction Time.
From www.scienceworld.ca
Reaction Time Ruler Science World Meter Stick Reaction Time To calculate your reaction time with a meter stick, you will need two people. The graph you create will show that the longer. Much of the time it takes you to react to the ruler dropping is the time it takes electrical signals to travel along your nerves. Moving at about 100 metres per second, a signal telling a finger. Meter Stick Reaction Time.
From slideplayer.com
Nature of Science Part 1 Metric System. ppt download Meter Stick Reaction Time To calculate your reaction time with a meter stick, you will need two people. The objective of this test is to monitor the athlete's reaction time. The graph you create will show that the longer. Much of the time it takes you to react to the ruler dropping is the time it takes electrical signals to travel along your nerves.. Meter Stick Reaction Time.
From informacionpublica.svet.gob.gt
How To Test Your Reaction Time Science For Kids Meter Stick Reaction Time Much of the time it takes you to react to the ruler dropping is the time it takes electrical signals to travel along your nerves. Meter stick (a yard stick will work as well) strip of paper (1 cm x 75 cm or 0.5 inch x 30 inch). To calculate your reaction time with a meter stick, you will need. Meter Stick Reaction Time.
From www.chegg.com
Solved What is the uncertainty Δx of the meter stick shown Meter Stick Reaction Time Meter stick (a yard stick will work as well) strip of paper (1 cm x 75 cm or 0.5 inch x 30 inch). Much of the time it takes you to react to the ruler dropping is the time it takes electrical signals to travel along your nerves. The average (median) reaction time is 273 milliseconds, according to the data. Meter Stick Reaction Time.
From www.slideserve.com
PPT Metrics & Density PowerPoint Presentation, free download ID6626424 Meter Stick Reaction Time Have one person hold the meter stick horizontally at the end of their arm. Meter stick or metric ruler. This is a simple tool to measure your reaction time. The average (median) reaction time is 273 milliseconds, according to the data collected so. The objective of this test is to monitor the athlete's reaction time. Human reaction time is approximately. Meter Stick Reaction Time.
From lablearneronline.com
Meter Stick Meter Stick Reaction Time Have one person hold the meter stick horizontally at the end of their arm. The objective of this test is to monitor the athlete's reaction time. Meter stick or metric ruler. The other person will stand at the other end of. Moving at about 100 metres per second, a signal telling a finger to move. To gain experience using kinematics. Meter Stick Reaction Time.
From www.numerade.com
SOLVED Question 12 1pts Three masses are attached to auniform meter Meter Stick Reaction Time Much of the time it takes you to react to the ruler dropping is the time it takes electrical signals to travel along your nerves. Meter stick or metric ruler. Moving at about 100 metres per second, a signal telling a finger to move. The graph you create will show that the longer. Have one person hold the meter stick. Meter Stick Reaction Time.
From ph.taphoamini.com
How to Measure Using a Meter Stick meter stick Meter Stick Reaction Time The objective of this test is to monitor the athlete's reaction time. To calculate your reaction time with a meter stick, you will need two people. Human reaction time is approximately 0.25 seconds which, for the majority of people, is not fast enough to catch a dollar bill. To conduct this test, you will require: Moving at about 100 metres. Meter Stick Reaction Time.
From www.chegg.com
Solved Using the equation that relates the distance an Meter Stick Reaction Time This is a simple tool to measure your reaction time. The other person will stand at the other end of. The average (median) reaction time is 273 milliseconds, according to the data collected so. Meter stick (a yard stick will work as well) strip of paper (1 cm x 75 cm or 0.5 inch x 30 inch). Much of the. Meter Stick Reaction Time.
From www.slideserve.com
PPT How to Read a Meter Stick PowerPoint Presentation, free download Meter Stick Reaction Time The other person will stand at the other end of. To calculate your reaction time with a meter stick, you will need two people. The graph you create will show that the longer. Human reaction time is approximately 0.25 seconds which, for the majority of people, is not fast enough to catch a dollar bill. Meter stick (a yard stick. Meter Stick Reaction Time.
From serpmedia.org
Lab Reaction Ruler Slide A Meter Stick Reaction Time To calculate your reaction time with a meter stick, you will need two people. To conduct this test, you will require: Have one person hold the meter stick horizontally at the end of their arm. Moving at about 100 metres per second, a signal telling a finger to move. Much of the time it takes you to react to the. Meter Stick Reaction Time.
From duino-projects.com
Reaction Time Meter (Visual, Audio and Touch) Meter Stick Reaction Time Human reaction time is approximately 0.25 seconds which, for the majority of people, is not fast enough to catch a dollar bill. Meter stick or metric ruler. Moving at about 100 metres per second, a signal telling a finger to move. The graph you create will show that the longer. This is a simple tool to measure your reaction time.. Meter Stick Reaction Time.
From www.chegg.com
Solved Now it's time to set up the meter stick with the Meter Stick Reaction Time Human reaction time is approximately 0.25 seconds which, for the majority of people, is not fast enough to catch a dollar bill. The average (median) reaction time is 273 milliseconds, according to the data collected so. This is a simple tool to measure your reaction time. Meter stick or metric ruler. To calculate your reaction time with a meter stick,. Meter Stick Reaction Time.
From fphoto.photoshelter.com
46259903C2RM Fundamental Photographs The Art of Science Meter Stick Reaction Time The average (median) reaction time is 273 milliseconds, according to the data collected so. The objective of this test is to monitor the athlete's reaction time. To conduct this test, you will require: The graph you create will show that the longer. This is a simple tool to measure your reaction time. Human reaction time is approximately 0.25 seconds which,. Meter Stick Reaction Time.
From www.coursehero.com
[Solved] 1. Sketch a free body diagram of the meter stick at Meter Stick Reaction Time The graph you create will show that the longer. To gain experience using kinematics principles in calculations and to calculate your reaction time. Have one person hold the meter stick horizontally at the end of their arm. To calculate your reaction time with a meter stick, you will need two people. Meter stick or metric ruler. This is a simple. Meter Stick Reaction Time.
From www.numerade.com
SOLVED The Torque Balance Three masses are attached to a uniform meter Meter Stick Reaction Time Meter stick (a yard stick will work as well) strip of paper (1 cm x 75 cm or 0.5 inch x 30 inch). Human reaction time is approximately 0.25 seconds which, for the majority of people, is not fast enough to catch a dollar bill. This is a simple tool to measure your reaction time. To gain experience using kinematics. Meter Stick Reaction Time.
From www.chegg.com
Solved A uniform wooden meter stick has a mass of m = 601 g. Meter Stick Reaction Time The other person will stand at the other end of. Meter stick (a yard stick will work as well) strip of paper (1 cm x 75 cm or 0.5 inch x 30 inch). To conduct this test, you will require: Meter stick or metric ruler. This is a simple tool to measure your reaction time. The graph you create will. Meter Stick Reaction Time.
From studylib.net
Physics Lab Measuring Your Reaction Time Meter Stick Reaction Time Much of the time it takes you to react to the ruler dropping is the time it takes electrical signals to travel along your nerves. Human reaction time is approximately 0.25 seconds which, for the majority of people, is not fast enough to catch a dollar bill. This is a simple tool to measure your reaction time. The graph you. Meter Stick Reaction Time.
From quizlet.com
Indirect Measurement A meter stick is held perpendicular to Quizlet Meter Stick Reaction Time This is a simple tool to measure your reaction time. To conduct this test, you will require: Much of the time it takes you to react to the ruler dropping is the time it takes electrical signals to travel along your nerves. To calculate your reaction time with a meter stick, you will need two people. Have one person hold. Meter Stick Reaction Time.
From www.slideserve.com
PPT Physics for Scientists and Engineers, 6e PowerPoint Presentation Meter Stick Reaction Time The objective of this test is to monitor the athlete's reaction time. Meter stick or metric ruler. The average (median) reaction time is 273 milliseconds, according to the data collected so. To gain experience using kinematics principles in calculations and to calculate your reaction time. The other person will stand at the other end of. Meter stick (a yard stick. Meter Stick Reaction Time.
From www.youtube.com
Meter Stick Reaction Time Demonstration YouTube Meter Stick Reaction Time To calculate your reaction time with a meter stick, you will need two people. Much of the time it takes you to react to the ruler dropping is the time it takes electrical signals to travel along your nerves. To conduct this test, you will require: Moving at about 100 metres per second, a signal telling a finger to move.. Meter Stick Reaction Time.
From www.studocu.com
Reaction Time Assignment nondominant hand? Why? The dependent Meter Stick Reaction Time Meter stick (a yard stick will work as well) strip of paper (1 cm x 75 cm or 0.5 inch x 30 inch). This is a simple tool to measure your reaction time. To calculate your reaction time with a meter stick, you will need two people. The objective of this test is to monitor the athlete's reaction time. Much. Meter Stick Reaction Time.
From reactiontest.org
Reaction Time Test Using Ruler Reaction Test Meter Stick Reaction Time To gain experience using kinematics principles in calculations and to calculate your reaction time. Meter stick (a yard stick will work as well) strip of paper (1 cm x 75 cm or 0.5 inch x 30 inch). The average (median) reaction time is 273 milliseconds, according to the data collected so. Have one person hold the meter stick horizontally at. Meter Stick Reaction Time.