Orange County Court Rules . A majority of the judges approved the rules in. They are subject to change due to. The superior court of california, county of orange, has adopted new and revised local rules. This site contains the current edition of the local rules of the superior court, county of orange. For a comprehensive description of the various methods for filing documents, see orange county smartrules™ procedural guide: This handout describes appellate practice in orange county as of the date on the bottom of this page. It may not apply to other. This smartrules guide covers generally applicable rules of motion practice in the orange county superior court.
from www.dochub.com
A majority of the judges approved the rules in. It may not apply to other. They are subject to change due to. This site contains the current edition of the local rules of the superior court, county of orange. This handout describes appellate practice in orange county as of the date on the bottom of this page. The superior court of california, county of orange, has adopted new and revised local rules. This smartrules guide covers generally applicable rules of motion practice in the orange county superior court. For a comprehensive description of the various methods for filing documents, see orange county smartrules™ procedural guide:
Orange county superior court forms Fill out & sign online DocHub
Orange County Court Rules It may not apply to other. They are subject to change due to. This smartrules guide covers generally applicable rules of motion practice in the orange county superior court. This handout describes appellate practice in orange county as of the date on the bottom of this page. For a comprehensive description of the various methods for filing documents, see orange county smartrules™ procedural guide: A majority of the judges approved the rules in. This site contains the current edition of the local rules of the superior court, county of orange. It may not apply to other. The superior court of california, county of orange, has adopted new and revised local rules.
From www.countyforms.com
Orange County Court Declaration Form Orange County Court Rules This smartrules guide covers generally applicable rules of motion practice in the orange county superior court. They are subject to change due to. This handout describes appellate practice in orange county as of the date on the bottom of this page. The superior court of california, county of orange, has adopted new and revised local rules. For a comprehensive description. Orange County Court Rules.
From directlegal.com
Orange County Superior Court Announces Soft ReOpening Orange County Court Rules For a comprehensive description of the various methods for filing documents, see orange county smartrules™ procedural guide: This handout describes appellate practice in orange county as of the date on the bottom of this page. This smartrules guide covers generally applicable rules of motion practice in the orange county superior court. This site contains the current edition of the local. Orange County Court Rules.
From www.ocregister.com
Orange County courts announce new jury trial restrictions due to Orange County Court Rules This handout describes appellate practice in orange county as of the date on the bottom of this page. This smartrules guide covers generally applicable rules of motion practice in the orange county superior court. For a comprehensive description of the various methods for filing documents, see orange county smartrules™ procedural guide: It may not apply to other. They are subject. Orange County Court Rules.
From www.dochub.com
Orange county superior court forms Fill out & sign online DocHub Orange County Court Rules For a comprehensive description of the various methods for filing documents, see orange county smartrules™ procedural guide: The superior court of california, county of orange, has adopted new and revised local rules. This smartrules guide covers generally applicable rules of motion practice in the orange county superior court. It may not apply to other. They are subject to change due. Orange County Court Rules.
From www.scribd.com
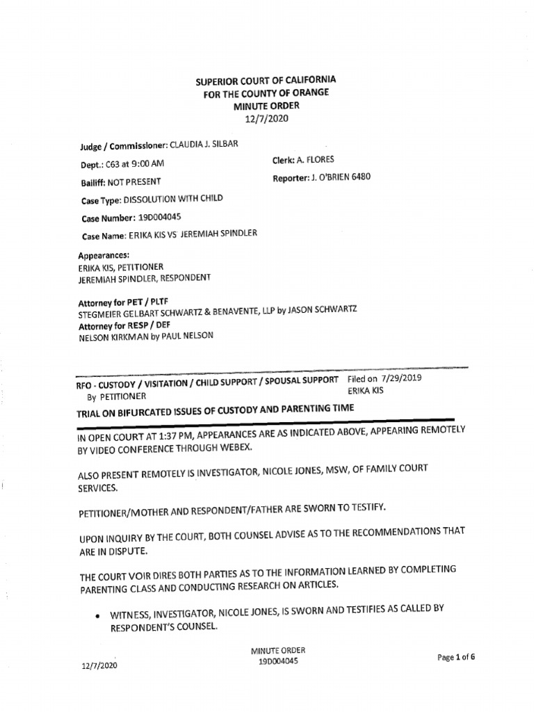
12/07/2020 Minute Order ORANGE COUNTY COURT CASE 19D00405 JUDICIAL Orange County Court Rules This smartrules guide covers generally applicable rules of motion practice in the orange county superior court. A majority of the judges approved the rules in. The superior court of california, county of orange, has adopted new and revised local rules. For a comprehensive description of the various methods for filing documents, see orange county smartrules™ procedural guide: It may not. Orange County Court Rules.
From www.pinterest.com
Orange County Courts taking 4 months to open their mail Divorce court Orange County Court Rules This handout describes appellate practice in orange county as of the date on the bottom of this page. A majority of the judges approved the rules in. They are subject to change due to. The superior court of california, county of orange, has adopted new and revised local rules. It may not apply to other. For a comprehensive description of. Orange County Court Rules.
From vulawoffice.com
Understanding Domestic Violence Case Procedure In Orange County Orange County Court Rules They are subject to change due to. This handout describes appellate practice in orange county as of the date on the bottom of this page. For a comprehensive description of the various methods for filing documents, see orange county smartrules™ procedural guide: It may not apply to other. The superior court of california, county of orange, has adopted new and. Orange County Court Rules.
From www.countyforms.com
Orange County Court Declaration Form Orange County Court Rules For a comprehensive description of the various methods for filing documents, see orange county smartrules™ procedural guide: This smartrules guide covers generally applicable rules of motion practice in the orange county superior court. A majority of the judges approved the rules in. It may not apply to other. The superior court of california, county of orange, has adopted new and. Orange County Court Rules.
From fill.io
Fill Free fillable The Superior Court of California County of Orange County Court Rules The superior court of california, county of orange, has adopted new and revised local rules. It may not apply to other. For a comprehensive description of the various methods for filing documents, see orange county smartrules™ procedural guide: A majority of the judges approved the rules in. This handout describes appellate practice in orange county as of the date on. Orange County Court Rules.
From denner-shop-test-web02.denner.ch
Orange County Superior Court Local Rules Orange County Court Rules This handout describes appellate practice in orange county as of the date on the bottom of this page. The superior court of california, county of orange, has adopted new and revised local rules. This site contains the current edition of the local rules of the superior court, county of orange. A majority of the judges approved the rules in. It. Orange County Court Rules.
From www.davisvanguard.org
DA Opposes Dismissal in Orange County Prosecutorial Misconduct Case Orange County Court Rules This handout describes appellate practice in orange county as of the date on the bottom of this page. For a comprehensive description of the various methods for filing documents, see orange county smartrules™ procedural guide: The superior court of california, county of orange, has adopted new and revised local rules. This site contains the current edition of the local rules. Orange County Court Rules.
From www.janeandjohnqpublic.com
Family Court Orange County Court Rules The superior court of california, county of orange, has adopted new and revised local rules. For a comprehensive description of the various methods for filing documents, see orange county smartrules™ procedural guide: A majority of the judges approved the rules in. This handout describes appellate practice in orange county as of the date on the bottom of this page. They. Orange County Court Rules.
From www.pinterest.com
Orange County Superior Court Departmental Calendar Superior court Orange County Court Rules They are subject to change due to. For a comprehensive description of the various methods for filing documents, see orange county smartrules™ procedural guide: It may not apply to other. The superior court of california, county of orange, has adopted new and revised local rules. This handout describes appellate practice in orange county as of the date on the bottom. Orange County Court Rules.
From directlegal.com
Orange County Superior Court Implementation of Local Rule 314A in Orange County Court Rules It may not apply to other. This handout describes appellate practice in orange county as of the date on the bottom of this page. A majority of the judges approved the rules in. They are subject to change due to. This smartrules guide covers generally applicable rules of motion practice in the orange county superior court. For a comprehensive description. Orange County Court Rules.
From myeclerk.myorangeclerk.com
Orange County Clerk of Courts Records Search Orange County Court Rules This handout describes appellate practice in orange county as of the date on the bottom of this page. It may not apply to other. For a comprehensive description of the various methods for filing documents, see orange county smartrules™ procedural guide: The superior court of california, county of orange, has adopted new and revised local rules. They are subject to. Orange County Court Rules.
From www.youtube.com
Orange County Superior Court Legal Processing Specialist YouTube Orange County Court Rules For a comprehensive description of the various methods for filing documents, see orange county smartrules™ procedural guide: This site contains the current edition of the local rules of the superior court, county of orange. The superior court of california, county of orange, has adopted new and revised local rules. It may not apply to other. This smartrules guide covers generally. Orange County Court Rules.
From www.efilinghelp.com
Initiate a Small Claims Case in the Orange County Civil Court E Orange County Court Rules This smartrules guide covers generally applicable rules of motion practice in the orange county superior court. This handout describes appellate practice in orange county as of the date on the bottom of this page. It may not apply to other. A majority of the judges approved the rules in. The superior court of california, county of orange, has adopted new. Orange County Court Rules.
From fill.io
Fill Free fillable The Superior Court of California County of Orange County Court Rules This smartrules guide covers generally applicable rules of motion practice in the orange county superior court. It may not apply to other. This handout describes appellate practice in orange county as of the date on the bottom of this page. The superior court of california, county of orange, has adopted new and revised local rules. They are subject to change. Orange County Court Rules.
From freedivorce.com
FREE VIDEO explains County Local Court Rules vs. State Rules of Court. Orange County Court Rules This site contains the current edition of the local rules of the superior court, county of orange. For a comprehensive description of the various methods for filing documents, see orange county smartrules™ procedural guide: The superior court of california, county of orange, has adopted new and revised local rules. This handout describes appellate practice in orange county as of the. Orange County Court Rules.
From legaldocumentserver.com
How to File in Orange County Superior Court Legal Document Server Orange County Court Rules It may not apply to other. For a comprehensive description of the various methods for filing documents, see orange county smartrules™ procedural guide: This handout describes appellate practice in orange county as of the date on the bottom of this page. This site contains the current edition of the local rules of the superior court, county of orange. The superior. Orange County Court Rules.
From directlegal.com
032720 Orange County Superior Court Updates on Restraining Orders Orange County Court Rules It may not apply to other. This smartrules guide covers generally applicable rules of motion practice in the orange county superior court. The superior court of california, county of orange, has adopted new and revised local rules. This site contains the current edition of the local rules of the superior court, county of orange. A majority of the judges approved. Orange County Court Rules.
From www.uslegalforms.com
Individual Summons Circuit Court Orange County, Florida Orange Orange County Court Rules A majority of the judges approved the rules in. The superior court of california, county of orange, has adopted new and revised local rules. For a comprehensive description of the various methods for filing documents, see orange county smartrules™ procedural guide: This handout describes appellate practice in orange county as of the date on the bottom of this page. This. Orange County Court Rules.
From www.wesh.com
Orange County judge rules against recording of two witnesses in murder Orange County Court Rules A majority of the judges approved the rules in. It may not apply to other. They are subject to change due to. The superior court of california, county of orange, has adopted new and revised local rules. This smartrules guide covers generally applicable rules of motion practice in the orange county superior court. This handout describes appellate practice in orange. Orange County Court Rules.
From www.scribd.com
Federal Complaint Against Orange County Judges & Court of Appeal PDF Orange County Court Rules For a comprehensive description of the various methods for filing documents, see orange county smartrules™ procedural guide: A majority of the judges approved the rules in. The superior court of california, county of orange, has adopted new and revised local rules. This site contains the current edition of the local rules of the superior court, county of orange. They are. Orange County Court Rules.
From www.countyforms.com
Orange County Superior Court Form Interrogatories Orange County Court Rules A majority of the judges approved the rules in. This handout describes appellate practice in orange county as of the date on the bottom of this page. This smartrules guide covers generally applicable rules of motion practice in the orange county superior court. For a comprehensive description of the various methods for filing documents, see orange county smartrules™ procedural guide:. Orange County Court Rules.
From www.theatlantic.com
The Orange County Community Court Combines Social Services With Orange County Court Rules A majority of the judges approved the rules in. For a comprehensive description of the various methods for filing documents, see orange county smartrules™ procedural guide: This handout describes appellate practice in orange county as of the date on the bottom of this page. The superior court of california, county of orange, has adopted new and revised local rules. This. Orange County Court Rules.
From www.countyforms.com
Orange County Superior Court Small Claims Forms Orange County Court Rules A majority of the judges approved the rules in. They are subject to change due to. For a comprehensive description of the various methods for filing documents, see orange county smartrules™ procedural guide: It may not apply to other. This smartrules guide covers generally applicable rules of motion practice in the orange county superior court. This site contains the current. Orange County Court Rules.
From midhudsonnews.com
Orange County courts receive IT upgrades as part of modernization Orange County Court Rules The superior court of california, county of orange, has adopted new and revised local rules. It may not apply to other. This site contains the current edition of the local rules of the superior court, county of orange. They are subject to change due to. For a comprehensive description of the various methods for filing documents, see orange county smartrules™. Orange County Court Rules.
From exyawfjjc.blob.core.windows.net
Orange County Clerk Of Courts at Jannie Smith blog Orange County Court Rules They are subject to change due to. This smartrules guide covers generally applicable rules of motion practice in the orange county superior court. It may not apply to other. This handout describes appellate practice in orange county as of the date on the bottom of this page. A majority of the judges approved the rules in. For a comprehensive description. Orange County Court Rules.
From parkbench.com
Orange County Judge Violates Rule While Working In Canada Parkbench Orange County Court Rules They are subject to change due to. The superior court of california, county of orange, has adopted new and revised local rules. A majority of the judges approved the rules in. This smartrules guide covers generally applicable rules of motion practice in the orange county superior court. This site contains the current edition of the local rules of the superior. Orange County Court Rules.
From www.dreamstime.com
Orange County Clerk of Courts Building at Downtown Area 54 Editorial Orange County Court Rules This site contains the current edition of the local rules of the superior court, county of orange. A majority of the judges approved the rules in. They are subject to change due to. This handout describes appellate practice in orange county as of the date on the bottom of this page. It may not apply to other. This smartrules guide. Orange County Court Rules.
From hoodline.com
Orange County Court Rules Against Anaheim, Upholding Fair Housing in Orange County Court Rules For a comprehensive description of the various methods for filing documents, see orange county smartrules™ procedural guide: They are subject to change due to. The superior court of california, county of orange, has adopted new and revised local rules. It may not apply to other. A majority of the judges approved the rules in. This smartrules guide covers generally applicable. Orange County Court Rules.
From www.dochub.com
Name change court orange county Fill out & sign online DocHub Orange County Court Rules This smartrules guide covers generally applicable rules of motion practice in the orange county superior court. It may not apply to other. The superior court of california, county of orange, has adopted new and revised local rules. For a comprehensive description of the various methods for filing documents, see orange county smartrules™ procedural guide: This site contains the current edition. Orange County Court Rules.
From www.scribd.com
In The Circuit Court Of The Ninth Judicial Circuit Of Florida, In And Orange County Court Rules They are subject to change due to. This site contains the current edition of the local rules of the superior court, county of orange. This handout describes appellate practice in orange county as of the date on the bottom of this page. This smartrules guide covers generally applicable rules of motion practice in the orange county superior court. For a. Orange County Court Rules.
From fill.io
Fill Free fillable The Superior Court of California County of Orange County Court Rules This smartrules guide covers generally applicable rules of motion practice in the orange county superior court. A majority of the judges approved the rules in. For a comprehensive description of the various methods for filing documents, see orange county smartrules™ procedural guide: It may not apply to other. The superior court of california, county of orange, has adopted new and. Orange County Court Rules.