Art History A Level Past Papers . The pack contains exemplar student responses for. find edexcel a level history of art past papers and mark scheme download past exam papers for edexcel history of art. caie a levels, o levels and igcse 2023 past papers of march and may /june are updated 24/03/2023 : cambridge international as & a level history (9489) past papers, examiner reports and specimen papers. caie a levels, o levels and igcse 2023 past papers of march and may /june are updated 24/03/2023 : Includes exam papers and mark schemes. new a level history of art specification (first assessment summer 2019). information about the new edexcel as and a levels in history of art (2017) for students and teachers, including the draft. increase your exam confidence with these edexcel a level history past papers.
from www.facebook.com
find edexcel a level history of art past papers and mark scheme download past exam papers for edexcel history of art. new a level history of art specification (first assessment summer 2019). caie a levels, o levels and igcse 2023 past papers of march and may /june are updated 24/03/2023 : The pack contains exemplar student responses for. information about the new edexcel as and a levels in history of art (2017) for students and teachers, including the draft. Includes exam papers and mark schemes. cambridge international as & a level history (9489) past papers, examiner reports and specimen papers. caie a levels, o levels and igcse 2023 past papers of march and may /june are updated 24/03/2023 : increase your exam confidence with these edexcel a level history past papers.
Worship service begins at 1030AM Our Bulletin / Order of Worship is
Art History A Level Past Papers caie a levels, o levels and igcse 2023 past papers of march and may /june are updated 24/03/2023 : new a level history of art specification (first assessment summer 2019). The pack contains exemplar student responses for. information about the new edexcel as and a levels in history of art (2017) for students and teachers, including the draft. cambridge international as & a level history (9489) past papers, examiner reports and specimen papers. caie a levels, o levels and igcse 2023 past papers of march and may /june are updated 24/03/2023 : increase your exam confidence with these edexcel a level history past papers. find edexcel a level history of art past papers and mark scheme download past exam papers for edexcel history of art. caie a levels, o levels and igcse 2023 past papers of march and may /june are updated 24/03/2023 : Includes exam papers and mark schemes.
From www.facebook.com
Worship service begins at 1030AM Our Bulletin / Order of Worship is Art History A Level Past Papers Includes exam papers and mark schemes. new a level history of art specification (first assessment summer 2019). caie a levels, o levels and igcse 2023 past papers of march and may /june are updated 24/03/2023 : caie a levels, o levels and igcse 2023 past papers of march and may /june are updated 24/03/2023 : cambridge. Art History A Level Past Papers.
From www.facebook.com
September 29, 2024 Worship We had technical issues again so the video Art History A Level Past Papers The pack contains exemplar student responses for. caie a levels, o levels and igcse 2023 past papers of march and may /june are updated 24/03/2023 : increase your exam confidence with these edexcel a level history past papers. information about the new edexcel as and a levels in history of art (2017) for students and teachers, including. Art History A Level Past Papers.
From catalogue.pearsoned.ca
Pearson Art History, 6/E Marilyn Stokstad & Michael W. Cothren Art History A Level Past Papers new a level history of art specification (first assessment summer 2019). caie a levels, o levels and igcse 2023 past papers of march and may /june are updated 24/03/2023 : increase your exam confidence with these edexcel a level history past papers. find edexcel a level history of art past papers and mark scheme download past. Art History A Level Past Papers.
From www.facebook.com
Pentecost 17 1000am (September 15th, 2024) Pentecost 17 1000am Art History A Level Past Papers information about the new edexcel as and a levels in history of art (2017) for students and teachers, including the draft. increase your exam confidence with these edexcel a level history past papers. Includes exam papers and mark schemes. find edexcel a level history of art past papers and mark scheme download past exam papers for edexcel. Art History A Level Past Papers.
From www.facebook.com
Multistreaming Multistreaming with Castr.io By Holy Trinity Parish Art History A Level Past Papers caie a levels, o levels and igcse 2023 past papers of march and may /june are updated 24/03/2023 : find edexcel a level history of art past papers and mark scheme download past exam papers for edexcel history of art. cambridge international as & a level history (9489) past papers, examiner reports and specimen papers. caie. Art History A Level Past Papers.
From www.facebook.com
Rev. Dr. Stewart Rawson "What Were You Arguing About" Rev. Dr Art History A Level Past Papers caie a levels, o levels and igcse 2023 past papers of march and may /june are updated 24/03/2023 : The pack contains exemplar student responses for. increase your exam confidence with these edexcel a level history past papers. new a level history of art specification (first assessment summer 2019). information about the new edexcel as and. Art History A Level Past Papers.
From forarthistory.org.uk
HISTORY OF ART A LEVEL For Art History Art History A Level Past Papers increase your exam confidence with these edexcel a level history past papers. The pack contains exemplar student responses for. find edexcel a level history of art past papers and mark scheme download past exam papers for edexcel history of art. caie a levels, o levels and igcse 2023 past papers of march and may /june are updated. Art History A Level Past Papers.
From www.thestudentroom.co.uk
AQA Alevel Art 2018 paper The Student Room Art History A Level Past Papers Includes exam papers and mark schemes. caie a levels, o levels and igcse 2023 past papers of march and may /june are updated 24/03/2023 : information about the new edexcel as and a levels in history of art (2017) for students and teachers, including the draft. new a level history of art specification (first assessment summer 2019).. Art History A Level Past Papers.
From www.facebook.com
Sunday, September 15, 2024 AM Service Sunday, September 15, 2024 AM Art History A Level Past Papers caie a levels, o levels and igcse 2023 past papers of march and may /june are updated 24/03/2023 : find edexcel a level history of art past papers and mark scheme download past exam papers for edexcel history of art. information about the new edexcel as and a levels in history of art (2017) for students and. Art History A Level Past Papers.
From www.facebook.com
Funeral Service Dr. Leavinson Lord 11am, Sept 26, 2024 "He heals Art History A Level Past Papers caie a levels, o levels and igcse 2023 past papers of march and may /june are updated 24/03/2023 : The pack contains exemplar student responses for. increase your exam confidence with these edexcel a level history past papers. caie a levels, o levels and igcse 2023 past papers of march and may /june are updated 24/03/2023 :. Art History A Level Past Papers.
From pastpapers.wiki
GCE O/L Art Past Papers with Answers Past Papers wiki Art History A Level Past Papers cambridge international as & a level history (9489) past papers, examiner reports and specimen papers. caie a levels, o levels and igcse 2023 past papers of march and may /june are updated 24/03/2023 : new a level history of art specification (first assessment summer 2019). find edexcel a level history of art past papers and mark. Art History A Level Past Papers.
From www.facebook.com
September 22nd, 2024 Worship Join us today! By Norwalk United Art History A Level Past Papers increase your exam confidence with these edexcel a level history past papers. cambridge international as & a level history (9489) past papers, examiner reports and specimen papers. find edexcel a level history of art past papers and mark scheme download past exam papers for edexcel history of art. Includes exam papers and mark schemes. caie a. Art History A Level Past Papers.
From exohadnpm.blob.core.windows.net
Class 7 English 1St Paper Book Pdf 2023 at Willis Medina blog Art History A Level Past Papers caie a levels, o levels and igcse 2023 past papers of march and may /june are updated 24/03/2023 : cambridge international as & a level history (9489) past papers, examiner reports and specimen papers. new a level history of art specification (first assessment summer 2019). increase your exam confidence with these edexcel a level history past. Art History A Level Past Papers.
From www.mathematics.lk
O/L 2021 Maths New Model Paper Download Mathematics.lk Art History A Level Past Papers new a level history of art specification (first assessment summer 2019). increase your exam confidence with these edexcel a level history past papers. caie a levels, o levels and igcse 2023 past papers of march and may /june are updated 24/03/2023 : information about the new edexcel as and a levels in history of art (2017). Art History A Level Past Papers.
From www.rainbowresource.com
History of Art Workbook Veritas Press 9781936648412 Art History A Level Past Papers information about the new edexcel as and a levels in history of art (2017) for students and teachers, including the draft. caie a levels, o levels and igcse 2023 past papers of march and may /june are updated 24/03/2023 : increase your exam confidence with these edexcel a level history past papers. Includes exam papers and mark. Art History A Level Past Papers.
From www.facebook.com
September 29, 2024 Worship We had technical issues again so the video Art History A Level Past Papers new a level history of art specification (first assessment summer 2019). cambridge international as & a level history (9489) past papers, examiner reports and specimen papers. The pack contains exemplar student responses for. find edexcel a level history of art past papers and mark scheme download past exam papers for edexcel history of art. information about. Art History A Level Past Papers.
From www.facebook.com
ShilohCC 900 am Service Growing A Servants Heart Don't Waste Your Art History A Level Past Papers cambridge international as & a level history (9489) past papers, examiner reports and specimen papers. caie a levels, o levels and igcse 2023 past papers of march and may /june are updated 24/03/2023 : find edexcel a level history of art past papers and mark scheme download past exam papers for edexcel history of art. information. Art History A Level Past Papers.
From www.scribd.com
CSEC® Theatre Arts Past Papers Art History A Level Past Papers increase your exam confidence with these edexcel a level history past papers. new a level history of art specification (first assessment summer 2019). caie a levels, o levels and igcse 2023 past papers of march and may /june are updated 24/03/2023 : cambridge international as & a level history (9489) past papers, examiner reports and specimen. Art History A Level Past Papers.
From www.ilmkidunya.com
PMS Past Paper 2016 History Paper II Art History A Level Past Papers The pack contains exemplar student responses for. caie a levels, o levels and igcse 2023 past papers of march and may /june are updated 24/03/2023 : Includes exam papers and mark schemes. find edexcel a level history of art past papers and mark scheme download past exam papers for edexcel history of art. new a level history. Art History A Level Past Papers.
From www.facebook.com
Worship service begins at 1030AM Our Bulletin / Order of Worship is Art History A Level Past Papers caie a levels, o levels and igcse 2023 past papers of march and may /june are updated 24/03/2023 : find edexcel a level history of art past papers and mark scheme download past exam papers for edexcel history of art. new a level history of art specification (first assessment summer 2019). Includes exam papers and mark schemes.. Art History A Level Past Papers.
From www.facebook.com
September 29, 2024 Worship We had technical issues again so the video Art History A Level Past Papers caie a levels, o levels and igcse 2023 past papers of march and may /june are updated 24/03/2023 : information about the new edexcel as and a levels in history of art (2017) for students and teachers, including the draft. Includes exam papers and mark schemes. increase your exam confidence with these edexcel a level history past. Art History A Level Past Papers.
From www.facebook.com
Rev. Dr. Stewart Rawson "What Were You Arguing About" Rev. Dr Art History A Level Past Papers increase your exam confidence with these edexcel a level history past papers. find edexcel a level history of art past papers and mark scheme download past exam papers for edexcel history of art. caie a levels, o levels and igcse 2023 past papers of march and may /june are updated 24/03/2023 : Includes exam papers and mark. Art History A Level Past Papers.
From www.facebook.com
Rev. Dr. Stewart Rawson "What Were You Arguing About" Rev. Dr Art History A Level Past Papers caie a levels, o levels and igcse 2023 past papers of march and may /june are updated 24/03/2023 : caie a levels, o levels and igcse 2023 past papers of march and may /june are updated 24/03/2023 : information about the new edexcel as and a levels in history of art (2017) for students and teachers, including. Art History A Level Past Papers.
From gophouse.org
Compare And Contrast Art Essay — How to Compare and Contrast Art to Art History A Level Past Papers caie a levels, o levels and igcse 2023 past papers of march and may /june are updated 24/03/2023 : caie a levels, o levels and igcse 2023 past papers of march and may /june are updated 24/03/2023 : increase your exam confidence with these edexcel a level history past papers. cambridge international as & a level. Art History A Level Past Papers.
From www.facebook.com
ShilohCC 900 am Service Growing A Servants Heart Don't Waste Your Art History A Level Past Papers caie a levels, o levels and igcse 2023 past papers of march and may /june are updated 24/03/2023 : new a level history of art specification (first assessment summer 2019). increase your exam confidence with these edexcel a level history past papers. caie a levels, o levels and igcse 2023 past papers of march and may. Art History A Level Past Papers.
From www.facebook.com
Rev. Dr. Stewart Rawson "What Were You Arguing About" Rev. Dr Art History A Level Past Papers information about the new edexcel as and a levels in history of art (2017) for students and teachers, including the draft. caie a levels, o levels and igcse 2023 past papers of march and may /june are updated 24/03/2023 : Includes exam papers and mark schemes. The pack contains exemplar student responses for. cambridge international as &. Art History A Level Past Papers.
From www.facebook.com
September 29, 2024 Worship We had technical issues again so the video Art History A Level Past Papers increase your exam confidence with these edexcel a level history past papers. The pack contains exemplar student responses for. caie a levels, o levels and igcse 2023 past papers of march and may /june are updated 24/03/2023 : cambridge international as & a level history (9489) past papers, examiner reports and specimen papers. find edexcel a. Art History A Level Past Papers.
From telegra.ph
A Level Art Essay Telegraph Art History A Level Past Papers increase your exam confidence with these edexcel a level history past papers. cambridge international as & a level history (9489) past papers, examiner reports and specimen papers. The pack contains exemplar student responses for. new a level history of art specification (first assessment summer 2019). find edexcel a level history of art past papers and mark. Art History A Level Past Papers.
From dxoljswtg.blob.core.windows.net
Where To Art Test at Michael Carrol blog Art History A Level Past Papers find edexcel a level history of art past papers and mark scheme download past exam papers for edexcel history of art. increase your exam confidence with these edexcel a level history past papers. caie a levels, o levels and igcse 2023 past papers of march and may /june are updated 24/03/2023 : Includes exam papers and mark. Art History A Level Past Papers.
From www.facebook.com
Athens County Commissioner Forum September 24, 2024 Athens County Art History A Level Past Papers Includes exam papers and mark schemes. increase your exam confidence with these edexcel a level history past papers. find edexcel a level history of art past papers and mark scheme download past exam papers for edexcel history of art. cambridge international as & a level history (9489) past papers, examiner reports and specimen papers. new a. Art History A Level Past Papers.
From www.facebook.com
"The Danger of Mutiny in the Kingdom of God" 2nd Samuel 189, 3233 Art History A Level Past Papers information about the new edexcel as and a levels in history of art (2017) for students and teachers, including the draft. find edexcel a level history of art past papers and mark scheme download past exam papers for edexcel history of art. The pack contains exemplar student responses for. cambridge international as & a level history (9489). Art History A Level Past Papers.
From www.artnews.com
11 Essential Art History Books for Putting It All Into Perspective Art History A Level Past Papers Includes exam papers and mark schemes. find edexcel a level history of art past papers and mark scheme download past exam papers for edexcel history of art. information about the new edexcel as and a levels in history of art (2017) for students and teachers, including the draft. caie a levels, o levels and igcse 2023 past. Art History A Level Past Papers.
From issuu.com
GCSE Unit 2 Art and Design Exam Paper 2k13 FULL COURSE by Wellington Art History A Level Past Papers cambridge international as & a level history (9489) past papers, examiner reports and specimen papers. Includes exam papers and mark schemes. new a level history of art specification (first assessment summer 2019). caie a levels, o levels and igcse 2023 past papers of march and may /june are updated 24/03/2023 : information about the new edexcel. Art History A Level Past Papers.
From artgotz.blogspot.com
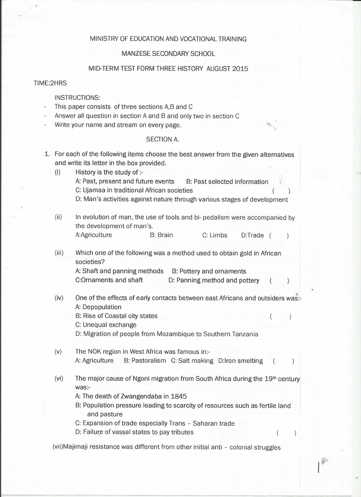
ART STUDIES BLOG HISTORY MIDTERM TEST FORM THREE AUGUST 2015 Art History A Level Past Papers caie a levels, o levels and igcse 2023 past papers of march and may /june are updated 24/03/2023 : find edexcel a level history of art past papers and mark scheme download past exam papers for edexcel history of art. Includes exam papers and mark schemes. new a level history of art specification (first assessment summer 2019).. Art History A Level Past Papers.
From www.facebook.com
Funeral Service Dr. Leavinson Lord 11am, Sept 26, 2024 "He heals Art History A Level Past Papers Includes exam papers and mark schemes. information about the new edexcel as and a levels in history of art (2017) for students and teachers, including the draft. new a level history of art specification (first assessment summer 2019). increase your exam confidence with these edexcel a level history past papers. find edexcel a level history of. Art History A Level Past Papers.