Back X Ray Radiation . This may be a concern for some patients, especially women who are pregnant or trying to become pregnant.
from www.numerade.com
This may be a concern for some patients, especially women who are pregnant or trying to become pregnant.
SOLVED 2 The following graph shows the relative intensity of the Xray
Back X Ray Radiation This may be a concern for some patients, especially women who are pregnant or trying to become pregnant. This may be a concern for some patients, especially women who are pregnant or trying to become pregnant.
From www.supplyclinic.com
CSC XRay Radiation Pregnant Sign 10"x7" Ea NHEP33204 Supply Clinic Back X Ray Radiation This may be a concern for some patients, especially women who are pregnant or trying to become pregnant. Back X Ray Radiation.
From handsfreexrays.com
Radiation Safety Awareness Laminated Poster 11"x17" — HandsFree XRays Back X Ray Radiation This may be a concern for some patients, especially women who are pregnant or trying to become pregnant. Back X Ray Radiation.
From www.askmattrab.com
Production of Xrays Class Twelve Physics Back X Ray Radiation This may be a concern for some patients, especially women who are pregnant or trying to become pregnant. Back X Ray Radiation.
From www.xraysmachine.com
XRay Radiation Inpatient Examination Used High Frequency Digital Back X Ray Radiation This may be a concern for some patients, especially women who are pregnant or trying to become pregnant. Back X Ray Radiation.
From app.emaze.com
Radiation Treatment for Cancer on emaze Back X Ray Radiation This may be a concern for some patients, especially women who are pregnant or trying to become pregnant. Back X Ray Radiation.
From getsigns.com.au
XRAY RADIATION SIGN Get signs Back X Ray Radiation This may be a concern for some patients, especially women who are pregnant or trying to become pregnant. Back X Ray Radiation.
From www.numerade.com
SOLVED 2 The following graph shows the relative intensity of the Xray Back X Ray Radiation This may be a concern for some patients, especially women who are pregnant or trying to become pregnant. Back X Ray Radiation.
From www.ebay.com
Dental XRay Radiation Protective Apron Lead Vest Cover Shield Dentist Back X Ray Radiation This may be a concern for some patients, especially women who are pregnant or trying to become pregnant. Back X Ray Radiation.
From www.verywellhealth.com
XRays Uses, Procedure, Results Back X Ray Radiation This may be a concern for some patients, especially women who are pregnant or trying to become pregnant. Back X Ray Radiation.
From www.astroexplorer.org
Figure 4 from Evidence for Returning Disk Radiation in the Black Hole X Back X Ray Radiation This may be a concern for some patients, especially women who are pregnant or trying to become pregnant. Back X Ray Radiation.
From www.visualworkplaceinc.com
OSHA Warning XRay Radiation Visual Workplace, Inc. Back X Ray Radiation This may be a concern for some patients, especially women who are pregnant or trying to become pregnant. Back X Ray Radiation.
From laptrinhx.com
Proton cancer therapy cuts side effects from Xray radiation LaptrinhX Back X Ray Radiation This may be a concern for some patients, especially women who are pregnant or trying to become pregnant. Back X Ray Radiation.
From www.astroexplorer.org
Figure 1 from Evidence for Returning Disk Radiation in the Black Hole X Back X Ray Radiation This may be a concern for some patients, especially women who are pregnant or trying to become pregnant. Back X Ray Radiation.
From shopee.ph
Radiationproof lead glass hospital CT room Xray room Xray shielding Back X Ray Radiation This may be a concern for some patients, especially women who are pregnant or trying to become pregnant. Back X Ray Radiation.
From dokumen.tips
(PPTX) ray radiation mechanism Fermi data Gammaray bursts in the Back X Ray Radiation This may be a concern for some patients, especially women who are pregnant or trying to become pregnant. Back X Ray Radiation.
From www.vecteezy.com
Warning XRay Radiation Sign On White Background 10814982 Vector Art at Back X Ray Radiation This may be a concern for some patients, especially women who are pregnant or trying to become pregnant. Back X Ray Radiation.
From exouwqqfz.blob.core.windows.net
What Is A Radioactive Test at Glen Rogers blog Back X Ray Radiation This may be a concern for some patients, especially women who are pregnant or trying to become pregnant. Back X Ray Radiation.
From www.dreamstime.com
Caution XRay Radiation Sign on White Background Stock Vector Back X Ray Radiation This may be a concern for some patients, especially women who are pregnant or trying to become pregnant. Back X Ray Radiation.
From www.alamy.com
Danger XRay Radiation Sign On White Background Stock Vector Image Back X Ray Radiation This may be a concern for some patients, especially women who are pregnant or trying to become pregnant. Back X Ray Radiation.
From www.astroexplorer.org
Figure 6 from Evidence for Returning Disk Radiation in the Black Hole X Back X Ray Radiation This may be a concern for some patients, especially women who are pregnant or trying to become pregnant. Back X Ray Radiation.
From www.jpc.de
Advanced XRay Radiation Detection (Buch) jpc Back X Ray Radiation This may be a concern for some patients, especially women who are pregnant or trying to become pregnant. Back X Ray Radiation.
From www.lap-publishing.com
PnCCD Response to Hard XRay Radiation / 9783659953330 Back X Ray Radiation This may be a concern for some patients, especially women who are pregnant or trying to become pregnant. Back X Ray Radiation.
From ar.inspiredpencil.com
Radiographer X Rays Back X Ray Radiation This may be a concern for some patients, especially women who are pregnant or trying to become pregnant. Back X Ray Radiation.
From shopee.ph
Measureable Bray yray xray Range 099.99 usv/h Nuclear Radiation Back X Ray Radiation This may be a concern for some patients, especially women who are pregnant or trying to become pregnant. Back X Ray Radiation.
From present5.com
XRays Radiation Application in Medicine IONIZING RADIATION Back X Ray Radiation This may be a concern for some patients, especially women who are pregnant or trying to become pregnant. Back X Ray Radiation.
From general.chemistrysteps.com
Alpha Particles, Beta Particles, and Gamma Rays Chemistry Steps Back X Ray Radiation This may be a concern for some patients, especially women who are pregnant or trying to become pregnant. Back X Ray Radiation.
From www.cannondigi.com
Electron Beam Tomography Radiation Exposure The Best Picture Of Beam Back X Ray Radiation This may be a concern for some patients, especially women who are pregnant or trying to become pregnant. Back X Ray Radiation.
From www.semanticscholar.org
Figure 2 from Observing scattered Xray radiation from gammaray bursts Back X Ray Radiation This may be a concern for some patients, especially women who are pregnant or trying to become pregnant. Back X Ray Radiation.
From www.astroexplorer.org
Figure 9 from Evidence for Returning Disk Radiation in the Black Hole X Back X Ray Radiation This may be a concern for some patients, especially women who are pregnant or trying to become pregnant. Back X Ray Radiation.
From aboutradiation.blogspot.com
Radiation Therapy Using Energy In The Form Of X Rays Or Gamma Rays Back X Ray Radiation This may be a concern for some patients, especially women who are pregnant or trying to become pregnant. Back X Ray Radiation.
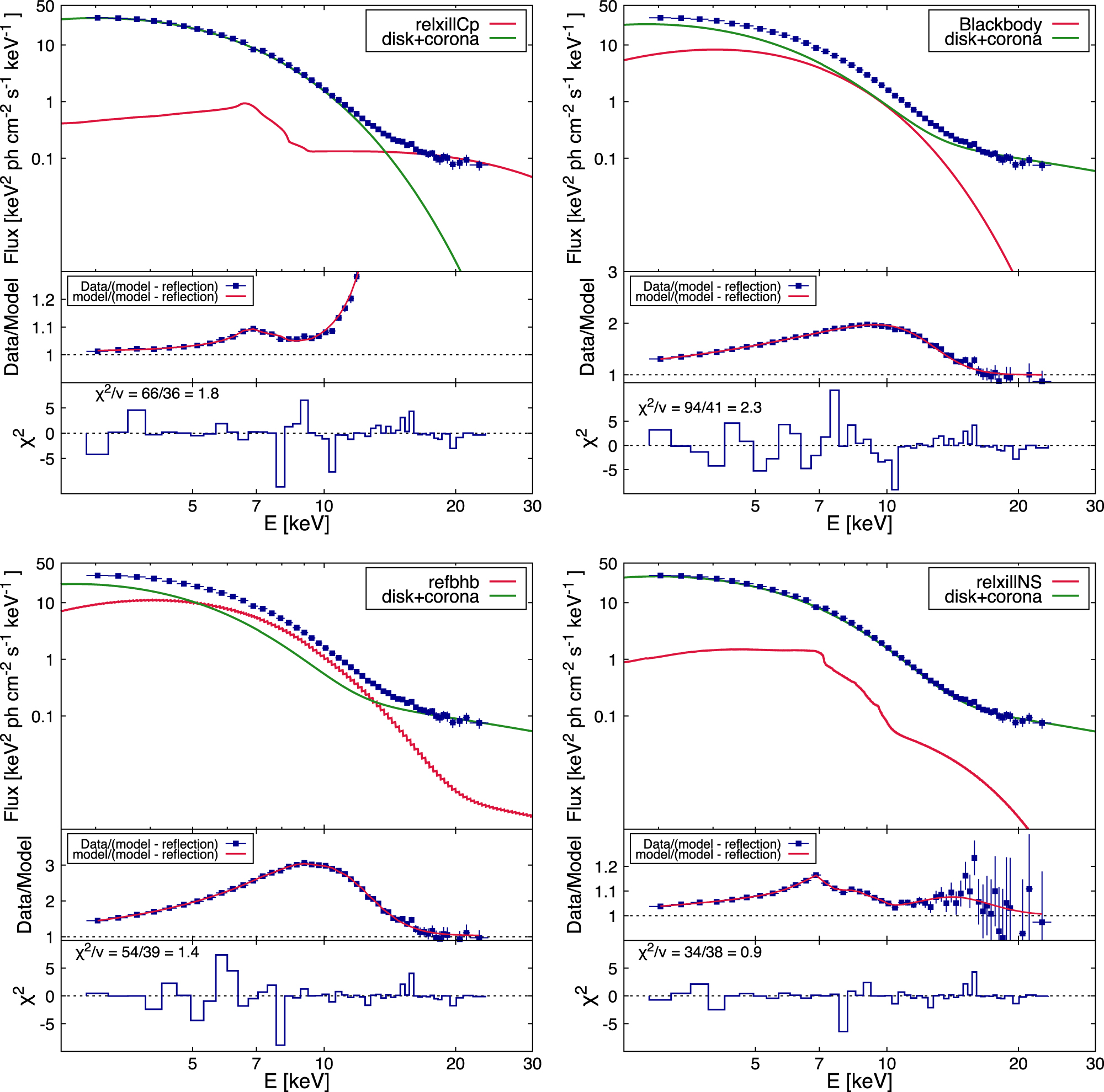
From www.astroexplorer.org
Figure 2 from Evidence for Returning Disk Radiation in the Black Hole X Back X Ray Radiation This may be a concern for some patients, especially women who are pregnant or trying to become pregnant. Back X Ray Radiation.
From philschatz.com
Therapeutic Uses of Ionizing Radiation · Physics Back X Ray Radiation This may be a concern for some patients, especially women who are pregnant or trying to become pregnant. Back X Ray Radiation.
From www.ebay.com
Dental XRay Radiation Protective Apron Lead Vest Cover Shield Dentist Back X Ray Radiation This may be a concern for some patients, especially women who are pregnant or trying to become pregnant. Back X Ray Radiation.
From www.astroexplorer.org
Figure 3 from Evidence for Returning Disk Radiation in the Black Hole X Back X Ray Radiation This may be a concern for some patients, especially women who are pregnant or trying to become pregnant. Back X Ray Radiation.
From www.mdpi.com
Radiation Free FullText Simulation and Optimization of Optical Back X Ray Radiation This may be a concern for some patients, especially women who are pregnant or trying to become pregnant. Back X Ray Radiation.