What Is Markovnikov . Markovnikov rule, in organic chemistry, a generalization, formulated by vladimir vasilyevich markovnikov in 1869, stating that in addition. Markovnikov addition, also called markovnikov's rule, states that a protic acid (hx) will add to an alkene such that the proton will. It was formulated by vladimr markovnikov in 1865 [1]. The markovnikov’s rule predicts the outcome of addition reaction carried out on addition of protic acid hx to an asymmetric alkene, also called hydrohalogenation (under standard conditions). Markovnikov’s rule is an empirical rule used to predict regioselectivity of electrophilic addition reactions of alkenes and. The reaction tends to occur such that the halogen ends up attached to the carbon of the alkene attached to the fewest hydrogen atoms,. So, what exactly is markovnikov’s rule and why is it one of the most misunderstood. In the world of molecules, markovnikov’s rule helps us predict similar choices.
from www.adda247.com
The reaction tends to occur such that the halogen ends up attached to the carbon of the alkene attached to the fewest hydrogen atoms,. Markovnikov’s rule is an empirical rule used to predict regioselectivity of electrophilic addition reactions of alkenes and. So, what exactly is markovnikov’s rule and why is it one of the most misunderstood. The markovnikov’s rule predicts the outcome of addition reaction carried out on addition of protic acid hx to an asymmetric alkene, also called hydrohalogenation (under standard conditions). It was formulated by vladimr markovnikov in 1865 [1]. Markovnikov addition, also called markovnikov's rule, states that a protic acid (hx) will add to an alkene such that the proton will. In the world of molecules, markovnikov’s rule helps us predict similar choices. Markovnikov rule, in organic chemistry, a generalization, formulated by vladimir vasilyevich markovnikov in 1869, stating that in addition.
Markovnikov Rule and Anti Markovnikov Rule for Class 11, 12
What Is Markovnikov The reaction tends to occur such that the halogen ends up attached to the carbon of the alkene attached to the fewest hydrogen atoms,. So, what exactly is markovnikov’s rule and why is it one of the most misunderstood. Markovnikov rule, in organic chemistry, a generalization, formulated by vladimir vasilyevich markovnikov in 1869, stating that in addition. In the world of molecules, markovnikov’s rule helps us predict similar choices. It was formulated by vladimr markovnikov in 1865 [1]. The reaction tends to occur such that the halogen ends up attached to the carbon of the alkene attached to the fewest hydrogen atoms,. The markovnikov’s rule predicts the outcome of addition reaction carried out on addition of protic acid hx to an asymmetric alkene, also called hydrohalogenation (under standard conditions). Markovnikov’s rule is an empirical rule used to predict regioselectivity of electrophilic addition reactions of alkenes and. Markovnikov addition, also called markovnikov's rule, states that a protic acid (hx) will add to an alkene such that the proton will.
From www.masterorganicchemistry.com
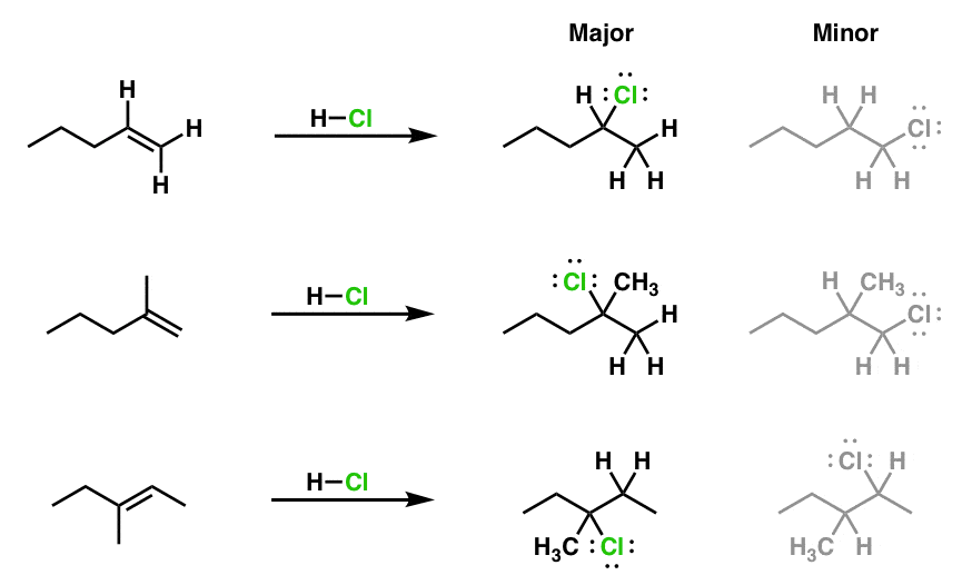
Markovnikov’s Rule (2) Why It Works — Master Organic Chemistry What Is Markovnikov Markovnikov’s rule is an empirical rule used to predict regioselectivity of electrophilic addition reactions of alkenes and. The reaction tends to occur such that the halogen ends up attached to the carbon of the alkene attached to the fewest hydrogen atoms,. So, what exactly is markovnikov’s rule and why is it one of the most misunderstood. Markovnikov addition, also called. What Is Markovnikov.
From www.adda247.com
Markovnikov Rule and Anti Markovnikov Rule for Class 11, 12 What Is Markovnikov Markovnikov addition, also called markovnikov's rule, states that a protic acid (hx) will add to an alkene such that the proton will. So, what exactly is markovnikov’s rule and why is it one of the most misunderstood. Markovnikov’s rule is an empirical rule used to predict regioselectivity of electrophilic addition reactions of alkenes and. The markovnikov’s rule predicts the outcome. What Is Markovnikov.
From www.youtube.com
Markovnikov's Rule YouTube What Is Markovnikov So, what exactly is markovnikov’s rule and why is it one of the most misunderstood. In the world of molecules, markovnikov’s rule helps us predict similar choices. The markovnikov’s rule predicts the outcome of addition reaction carried out on addition of protic acid hx to an asymmetric alkene, also called hydrohalogenation (under standard conditions). Markovnikov addition, also called markovnikov's rule,. What Is Markovnikov.
From www.pinterest.fr
Markovnikov’s Rule vs AntiMarkovnikov in Alkene Addition Reactions What Is Markovnikov Markovnikov rule, in organic chemistry, a generalization, formulated by vladimir vasilyevich markovnikov in 1869, stating that in addition. Markovnikov addition, also called markovnikov's rule, states that a protic acid (hx) will add to an alkene such that the proton will. The markovnikov’s rule predicts the outcome of addition reaction carried out on addition of protic acid hx to an asymmetric. What Is Markovnikov.
From www.chegg.com
Solved What is the expected Markovnikov addition product What Is Markovnikov Markovnikov’s rule is an empirical rule used to predict regioselectivity of electrophilic addition reactions of alkenes and. The markovnikov’s rule predicts the outcome of addition reaction carried out on addition of protic acid hx to an asymmetric alkene, also called hydrohalogenation (under standard conditions). Markovnikov addition, also called markovnikov's rule, states that a protic acid (hx) will add to an. What Is Markovnikov.
From chem.libretexts.org
Markovnikov Addition Chemistry LibreTexts What Is Markovnikov Markovnikov rule, in organic chemistry, a generalization, formulated by vladimir vasilyevich markovnikov in 1869, stating that in addition. The markovnikov’s rule predicts the outcome of addition reaction carried out on addition of protic acid hx to an asymmetric alkene, also called hydrohalogenation (under standard conditions). It was formulated by vladimr markovnikov in 1865 [1]. In the world of molecules, markovnikov’s. What Is Markovnikov.
From byjus.com
79 Explain markovnikov rule and also anti markovnikov rule What Is Markovnikov It was formulated by vladimr markovnikov in 1865 [1]. Markovnikov rule, in organic chemistry, a generalization, formulated by vladimir vasilyevich markovnikov in 1869, stating that in addition. Markovnikov addition, also called markovnikov's rule, states that a protic acid (hx) will add to an alkene such that the proton will. So, what exactly is markovnikov’s rule and why is it one. What Is Markovnikov.
From www.youtube.com
Title What is Markovnikov’s Rule? YouTube What Is Markovnikov The markovnikov’s rule predicts the outcome of addition reaction carried out on addition of protic acid hx to an asymmetric alkene, also called hydrohalogenation (under standard conditions). Markovnikov’s rule is an empirical rule used to predict regioselectivity of electrophilic addition reactions of alkenes and. In the world of molecules, markovnikov’s rule helps us predict similar choices. Markovnikov addition, also called. What Is Markovnikov.
From www.chegg.com
Solved 1) What is Markovnikov rule? Provide two examples. 2) What Is Markovnikov The reaction tends to occur such that the halogen ends up attached to the carbon of the alkene attached to the fewest hydrogen atoms,. Markovnikov rule, in organic chemistry, a generalization, formulated by vladimir vasilyevich markovnikov in 1869, stating that in addition. Markovnikov’s rule is an empirical rule used to predict regioselectivity of electrophilic addition reactions of alkenes and. It. What Is Markovnikov.
From pediaa.com
Difference Between Markovnikov and Anti Markovnikov Rule Definition What Is Markovnikov The markovnikov’s rule predicts the outcome of addition reaction carried out on addition of protic acid hx to an asymmetric alkene, also called hydrohalogenation (under standard conditions). So, what exactly is markovnikov’s rule and why is it one of the most misunderstood. The reaction tends to occur such that the halogen ends up attached to the carbon of the alkene. What Is Markovnikov.
From leah4sci.com
Markovnikov vs AntiMarkovnikov in Alkene Addition Reactions Organic What Is Markovnikov The reaction tends to occur such that the halogen ends up attached to the carbon of the alkene attached to the fewest hydrogen atoms,. Markovnikov addition, also called markovnikov's rule, states that a protic acid (hx) will add to an alkene such that the proton will. So, what exactly is markovnikov’s rule and why is it one of the most. What Is Markovnikov.
From www.youtube.com
Markovnikov Rule Class 11 Chemistry Example MechanismAddition of What Is Markovnikov Markovnikov rule, in organic chemistry, a generalization, formulated by vladimir vasilyevich markovnikov in 1869, stating that in addition. In the world of molecules, markovnikov’s rule helps us predict similar choices. The reaction tends to occur such that the halogen ends up attached to the carbon of the alkene attached to the fewest hydrogen atoms,. Markovnikov’s rule is an empirical rule. What Is Markovnikov.
From www.chemistrylearner.com
Markovnikov's Rule Definition, Explanation of Mechanism with Examples What Is Markovnikov The markovnikov’s rule predicts the outcome of addition reaction carried out on addition of protic acid hx to an asymmetric alkene, also called hydrohalogenation (under standard conditions). Markovnikov’s rule is an empirical rule used to predict regioselectivity of electrophilic addition reactions of alkenes and. In the world of molecules, markovnikov’s rule helps us predict similar choices. The reaction tends to. What Is Markovnikov.
From quizlet.com
What is Markovnikov's rule? Quizlet What Is Markovnikov It was formulated by vladimr markovnikov in 1865 [1]. Markovnikov rule, in organic chemistry, a generalization, formulated by vladimir vasilyevich markovnikov in 1869, stating that in addition. The markovnikov’s rule predicts the outcome of addition reaction carried out on addition of protic acid hx to an asymmetric alkene, also called hydrohalogenation (under standard conditions). Markovnikov’s rule is an empirical rule. What Is Markovnikov.
From www.youtube.com
What is Markovnikov Rule? Stereoselectivity and Shortcut One Minute What Is Markovnikov The reaction tends to occur such that the halogen ends up attached to the carbon of the alkene attached to the fewest hydrogen atoms,. The markovnikov’s rule predicts the outcome of addition reaction carried out on addition of protic acid hx to an asymmetric alkene, also called hydrohalogenation (under standard conditions). Markovnikov’s rule is an empirical rule used to predict. What Is Markovnikov.
From www.youtube.com
Chap 16, Lec 8, Markovnikov's rule alkenes 2nd year YouTube What Is Markovnikov Markovnikov’s rule is an empirical rule used to predict regioselectivity of electrophilic addition reactions of alkenes and. So, what exactly is markovnikov’s rule and why is it one of the most misunderstood. It was formulated by vladimr markovnikov in 1865 [1]. Markovnikov addition, also called markovnikov's rule, states that a protic acid (hx) will add to an alkene such that. What Is Markovnikov.
From www.youtube.com
Markovnikov's Rule Explained In 3 Minutes YouTube What Is Markovnikov So, what exactly is markovnikov’s rule and why is it one of the most misunderstood. Markovnikov rule, in organic chemistry, a generalization, formulated by vladimir vasilyevich markovnikov in 1869, stating that in addition. The markovnikov’s rule predicts the outcome of addition reaction carried out on addition of protic acid hx to an asymmetric alkene, also called hydrohalogenation (under standard conditions).. What Is Markovnikov.
From www.youtube.com
What is Markovnikov's Rule ; Statement and Example Organic Chemistry What Is Markovnikov Markovnikov rule, in organic chemistry, a generalization, formulated by vladimir vasilyevich markovnikov in 1869, stating that in addition. So, what exactly is markovnikov’s rule and why is it one of the most misunderstood. The reaction tends to occur such that the halogen ends up attached to the carbon of the alkene attached to the fewest hydrogen atoms,. In the world. What Is Markovnikov.
From www.youtube.com
20.1 Markovnikov's rule (HL) YouTube What Is Markovnikov The reaction tends to occur such that the halogen ends up attached to the carbon of the alkene attached to the fewest hydrogen atoms,. The markovnikov’s rule predicts the outcome of addition reaction carried out on addition of protic acid hx to an asymmetric alkene, also called hydrohalogenation (under standard conditions). Markovnikov addition, also called markovnikov's rule, states that a. What Is Markovnikov.
From www.youtube.com
10.911 Addition of HX to Alkenes (Hydrohalogenation) and Markovnikov's What Is Markovnikov Markovnikov rule, in organic chemistry, a generalization, formulated by vladimir vasilyevich markovnikov in 1869, stating that in addition. Markovnikov addition, also called markovnikov's rule, states that a protic acid (hx) will add to an alkene such that the proton will. It was formulated by vladimr markovnikov in 1865 [1]. So, what exactly is markovnikov’s rule and why is it one. What Is Markovnikov.
From chemistnotes.com
Markovnikov's rule and Peroxide effect with examples and mechanism What Is Markovnikov Markovnikov’s rule is an empirical rule used to predict regioselectivity of electrophilic addition reactions of alkenes and. In the world of molecules, markovnikov’s rule helps us predict similar choices. Markovnikov rule, in organic chemistry, a generalization, formulated by vladimir vasilyevich markovnikov in 1869, stating that in addition. It was formulated by vladimr markovnikov in 1865 [1]. Markovnikov addition, also called. What Is Markovnikov.
From www.chemistrysteps.com
Markovnikov’s Rule with Practice Problems Chemistry Steps What Is Markovnikov In the world of molecules, markovnikov’s rule helps us predict similar choices. It was formulated by vladimr markovnikov in 1865 [1]. The markovnikov’s rule predicts the outcome of addition reaction carried out on addition of protic acid hx to an asymmetric alkene, also called hydrohalogenation (under standard conditions). So, what exactly is markovnikov’s rule and why is it one of. What Is Markovnikov.
From www.organicchemistrytutor.com
Markovnikov's Rule — Organic Chemistry Tutor What Is Markovnikov So, what exactly is markovnikov’s rule and why is it one of the most misunderstood. Markovnikov addition, also called markovnikov's rule, states that a protic acid (hx) will add to an alkene such that the proton will. The reaction tends to occur such that the halogen ends up attached to the carbon of the alkene attached to the fewest hydrogen. What Is Markovnikov.
From www.slideserve.com
PPT Reactions Involving Alkenes PowerPoint Presentation, free What Is Markovnikov Markovnikov’s rule is an empirical rule used to predict regioselectivity of electrophilic addition reactions of alkenes and. The reaction tends to occur such that the halogen ends up attached to the carbon of the alkene attached to the fewest hydrogen atoms,. The markovnikov’s rule predicts the outcome of addition reaction carried out on addition of protic acid hx to an. What Is Markovnikov.
From chem.libretexts.org
Markovnikov’s Rule Chemistry LibreTexts What Is Markovnikov Markovnikov’s rule is an empirical rule used to predict regioselectivity of electrophilic addition reactions of alkenes and. The reaction tends to occur such that the halogen ends up attached to the carbon of the alkene attached to the fewest hydrogen atoms,. Markovnikov addition, also called markovnikov's rule, states that a protic acid (hx) will add to an alkene such that. What Is Markovnikov.
From www.youtube.com
What is Markovnikov addition? YouTube What Is Markovnikov It was formulated by vladimr markovnikov in 1865 [1]. Markovnikov’s rule is an empirical rule used to predict regioselectivity of electrophilic addition reactions of alkenes and. So, what exactly is markovnikov’s rule and why is it one of the most misunderstood. The reaction tends to occur such that the halogen ends up attached to the carbon of the alkene attached. What Is Markovnikov.
From www.masterorganicchemistry.com
Markovnikov’s Rule (1) — Master Organic Chemistry What Is Markovnikov In the world of molecules, markovnikov’s rule helps us predict similar choices. The reaction tends to occur such that the halogen ends up attached to the carbon of the alkene attached to the fewest hydrogen atoms,. It was formulated by vladimr markovnikov in 1865 [1]. Markovnikov’s rule is an empirical rule used to predict regioselectivity of electrophilic addition reactions of. What Is Markovnikov.
From chemistryguru.com.sg
Markovnikov Rule and Alkene Major Product What Is Markovnikov The markovnikov’s rule predicts the outcome of addition reaction carried out on addition of protic acid hx to an asymmetric alkene, also called hydrohalogenation (under standard conditions). Markovnikov’s rule is an empirical rule used to predict regioselectivity of electrophilic addition reactions of alkenes and. It was formulated by vladimr markovnikov in 1865 [1]. In the world of molecules, markovnikov’s rule. What Is Markovnikov.
From chemistnotes.com
Markovnikov's rule Vs AntiMarkovnikov rule Examples and Easy What Is Markovnikov The markovnikov’s rule predicts the outcome of addition reaction carried out on addition of protic acid hx to an asymmetric alkene, also called hydrohalogenation (under standard conditions). Markovnikov addition, also called markovnikov's rule, states that a protic acid (hx) will add to an alkene such that the proton will. In the world of molecules, markovnikov’s rule helps us predict similar. What Is Markovnikov.
From www.doubtnut.com
Deviation from Markovnikov's rule occurs in presence of What Is Markovnikov The markovnikov’s rule predicts the outcome of addition reaction carried out on addition of protic acid hx to an asymmetric alkene, also called hydrohalogenation (under standard conditions). In the world of molecules, markovnikov’s rule helps us predict similar choices. So, what exactly is markovnikov’s rule and why is it one of the most misunderstood. It was formulated by vladimr markovnikov. What Is Markovnikov.
From www.doubtnut.com
Vladimir Markovnikov rule Alkenes undergo electrophilic addition rea What Is Markovnikov The markovnikov’s rule predicts the outcome of addition reaction carried out on addition of protic acid hx to an asymmetric alkene, also called hydrohalogenation (under standard conditions). Markovnikov’s rule is an empirical rule used to predict regioselectivity of electrophilic addition reactions of alkenes and. Markovnikov rule, in organic chemistry, a generalization, formulated by vladimir vasilyevich markovnikov in 1869, stating that. What Is Markovnikov.
From www.youtube.com
Markovnikov's Rule YouTube What Is Markovnikov Markovnikov rule, in organic chemistry, a generalization, formulated by vladimir vasilyevich markovnikov in 1869, stating that in addition. The markovnikov’s rule predicts the outcome of addition reaction carried out on addition of protic acid hx to an asymmetric alkene, also called hydrohalogenation (under standard conditions). The reaction tends to occur such that the halogen ends up attached to the carbon. What Is Markovnikov.
From www.organicchemistrytutor.com
Markovnikov's Rule — Organic Chemistry Tutor What Is Markovnikov The reaction tends to occur such that the halogen ends up attached to the carbon of the alkene attached to the fewest hydrogen atoms,. Markovnikov’s rule is an empirical rule used to predict regioselectivity of electrophilic addition reactions of alkenes and. In the world of molecules, markovnikov’s rule helps us predict similar choices. It was formulated by vladimr markovnikov in. What Is Markovnikov.
From www.slideserve.com
PPT Organic Chemistry Chapter 3 Part II PowerPoint Presentation, free What Is Markovnikov In the world of molecules, markovnikov’s rule helps us predict similar choices. It was formulated by vladimr markovnikov in 1865 [1]. Markovnikov’s rule is an empirical rule used to predict regioselectivity of electrophilic addition reactions of alkenes and. Markovnikov addition, also called markovnikov's rule, states that a protic acid (hx) will add to an alkene such that the proton will.. What Is Markovnikov.
From www.numerade.com
SOLVEDWhat is Markovnikov's rule? What Is Markovnikov In the world of molecules, markovnikov’s rule helps us predict similar choices. Markovnikov rule, in organic chemistry, a generalization, formulated by vladimir vasilyevich markovnikov in 1869, stating that in addition. Markovnikov addition, also called markovnikov's rule, states that a protic acid (hx) will add to an alkene such that the proton will. The reaction tends to occur such that the. What Is Markovnikov.