How To Find Complex Conjugate Of A Complex Number . It is found by changing the sign of the imaginary part of the complex number. In this article, we will explore the. It is found by changing the sign of the imaginary part of the. given a complex number \(z = a + bi \,(a, b \in \mathbb{r})\), the complex conjugate of \(z,\) denoted \(\overline{z},\) is the. the conjugate of a complex number a+ib, where a and b are real numbers, is written as a−ib. the complex conjugate of a complex number is formed by changing the sign between the real and imaginary components of the. in this article, we will learn the conjugates of complex numbers and their properties, along with solved examples. a complex conjugate gives the mirror image of the complex number about the horizontal axis (real axis) in the argand plane. the complex conjugate of a complex number \(a+bi\) is \(a−bi\). the complex conjugate of a complex number \(a+bi\) is \(a−bi\).
from www.youtube.com
the complex conjugate of a complex number \(a+bi\) is \(a−bi\). the conjugate of a complex number a+ib, where a and b are real numbers, is written as a−ib. It is found by changing the sign of the imaginary part of the complex number. in this article, we will learn the conjugates of complex numbers and their properties, along with solved examples. given a complex number \(z = a + bi \,(a, b \in \mathbb{r})\), the complex conjugate of \(z,\) denoted \(\overline{z},\) is the. the complex conjugate of a complex number \(a+bi\) is \(a−bi\). a complex conjugate gives the mirror image of the complex number about the horizontal axis (real axis) in the argand plane. the complex conjugate of a complex number is formed by changing the sign between the real and imaginary components of the. In this article, we will explore the. It is found by changing the sign of the imaginary part of the.
5 Properties of Conjugate of Complex Number YouTube
How To Find Complex Conjugate Of A Complex Number the conjugate of a complex number a+ib, where a and b are real numbers, is written as a−ib. the complex conjugate of a complex number \(a+bi\) is \(a−bi\). a complex conjugate gives the mirror image of the complex number about the horizontal axis (real axis) in the argand plane. It is found by changing the sign of the imaginary part of the complex number. the complex conjugate of a complex number is formed by changing the sign between the real and imaginary components of the. In this article, we will explore the. in this article, we will learn the conjugates of complex numbers and their properties, along with solved examples. given a complex number \(z = a + bi \,(a, b \in \mathbb{r})\), the complex conjugate of \(z,\) denoted \(\overline{z},\) is the. the complex conjugate of a complex number \(a+bi\) is \(a−bi\). It is found by changing the sign of the imaginary part of the. the conjugate of a complex number a+ib, where a and b are real numbers, is written as a−ib.
From www.cuemath.com
Complex Conjugate Concept, Calculator & Examples Cuemath How To Find Complex Conjugate Of A Complex Number It is found by changing the sign of the imaginary part of the complex number. the conjugate of a complex number a+ib, where a and b are real numbers, is written as a−ib. In this article, we will explore the. the complex conjugate of a complex number \(a+bi\) is \(a−bi\). the complex conjugate of a complex number. How To Find Complex Conjugate Of A Complex Number.
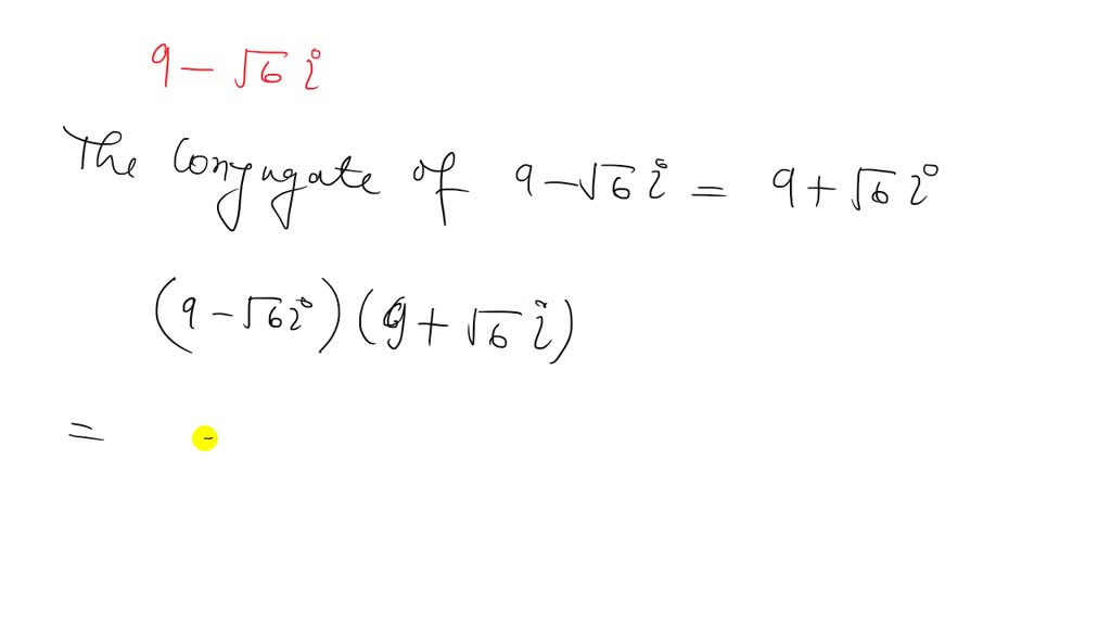
From www.numerade.com
Write the complex conjugate of the complex number… How To Find Complex Conjugate Of A Complex Number the complex conjugate of a complex number \(a+bi\) is \(a−bi\). It is found by changing the sign of the imaginary part of the complex number. the complex conjugate of a complex number is formed by changing the sign between the real and imaginary components of the. In this article, we will explore the. given a complex number. How To Find Complex Conjugate Of A Complex Number.
From www.slideserve.com
PPT Complex Numbers PowerPoint Presentation, free download ID1107091 How To Find Complex Conjugate Of A Complex Number given a complex number \(z = a + bi \,(a, b \in \mathbb{r})\), the complex conjugate of \(z,\) denoted \(\overline{z},\) is the. the complex conjugate of a complex number is formed by changing the sign between the real and imaginary components of the. the complex conjugate of a complex number \(a+bi\) is \(a−bi\). the complex conjugate. How To Find Complex Conjugate Of A Complex Number.
From www.slideserve.com
PPT Complex Numbers PowerPoint Presentation, free download ID1143478 How To Find Complex Conjugate Of A Complex Number It is found by changing the sign of the imaginary part of the complex number. the complex conjugate of a complex number is formed by changing the sign between the real and imaginary components of the. in this article, we will learn the conjugates of complex numbers and their properties, along with solved examples. It is found by. How To Find Complex Conjugate Of A Complex Number.
From www.youtube.com
5 Properties of Conjugate of Complex Number YouTube How To Find Complex Conjugate Of A Complex Number the conjugate of a complex number a+ib, where a and b are real numbers, is written as a−ib. the complex conjugate of a complex number is formed by changing the sign between the real and imaginary components of the. a complex conjugate gives the mirror image of the complex number about the horizontal axis (real axis) in. How To Find Complex Conjugate Of A Complex Number.
From www.youtube.com
Complex Numbers Operations, Complex Conjugates, and the Linear How To Find Complex Conjugate Of A Complex Number the complex conjugate of a complex number \(a+bi\) is \(a−bi\). a complex conjugate gives the mirror image of the complex number about the horizontal axis (real axis) in the argand plane. the complex conjugate of a complex number \(a+bi\) is \(a−bi\). in this article, we will learn the conjugates of complex numbers and their properties, along. How To Find Complex Conjugate Of A Complex Number.
From www.numerade.com
SOLVEDWrite the complex conjugate of the complex number. Then multiply How To Find Complex Conjugate Of A Complex Number the complex conjugate of a complex number is formed by changing the sign between the real and imaginary components of the. the complex conjugate of a complex number \(a+bi\) is \(a−bi\). It is found by changing the sign of the imaginary part of the complex number. a complex conjugate gives the mirror image of the complex number. How To Find Complex Conjugate Of A Complex Number.
From www.youtube.com
Write Conjugate of a Complex Number YouTube How To Find Complex Conjugate Of A Complex Number in this article, we will learn the conjugates of complex numbers and their properties, along with solved examples. the complex conjugate of a complex number \(a+bi\) is \(a−bi\). It is found by changing the sign of the imaginary part of the. the complex conjugate of a complex number is formed by changing the sign between the real. How To Find Complex Conjugate Of A Complex Number.
From www.numerade.com
SOLVED Write the complex conjugate of the complex number. Then How To Find Complex Conjugate Of A Complex Number the complex conjugate of a complex number is formed by changing the sign between the real and imaginary components of the. It is found by changing the sign of the imaginary part of the complex number. the conjugate of a complex number a+ib, where a and b are real numbers, is written as a−ib. in this article,. How To Find Complex Conjugate Of A Complex Number.
From www.youtube.com
How to Construct Conjugate of a Complex Number use GeoGebra YouTube How To Find Complex Conjugate Of A Complex Number the conjugate of a complex number a+ib, where a and b are real numbers, is written as a−ib. It is found by changing the sign of the imaginary part of the. the complex conjugate of a complex number is formed by changing the sign between the real and imaginary components of the. It is found by changing the. How To Find Complex Conjugate Of A Complex Number.
From www.alamy.com
conjugate complex numbers in mathematics. argand diagram Stock Vector How To Find Complex Conjugate Of A Complex Number In this article, we will explore the. It is found by changing the sign of the imaginary part of the complex number. a complex conjugate gives the mirror image of the complex number about the horizontal axis (real axis) in the argand plane. given a complex number \(z = a + bi \,(a, b \in \mathbb{r})\), the complex. How To Find Complex Conjugate Of A Complex Number.
From www.nagwa.com
Question Video Multiplying a Complex Number by Its Conjugate Nagwa How To Find Complex Conjugate Of A Complex Number given a complex number \(z = a + bi \,(a, b \in \mathbb{r})\), the complex conjugate of \(z,\) denoted \(\overline{z},\) is the. in this article, we will learn the conjugates of complex numbers and their properties, along with solved examples. In this article, we will explore the. the complex conjugate of a complex number \(a+bi\) is \(a−bi\).. How To Find Complex Conjugate Of A Complex Number.
From www.nagwa.com
Question Video Finding the Product of a Complex Number and Its How To Find Complex Conjugate Of A Complex Number a complex conjugate gives the mirror image of the complex number about the horizontal axis (real axis) in the argand plane. In this article, we will explore the. the conjugate of a complex number a+ib, where a and b are real numbers, is written as a−ib. given a complex number \(z = a + bi \,(a, b. How To Find Complex Conjugate Of A Complex Number.
From www.youtube.com
Complex Conjugates Theorem YouTube How To Find Complex Conjugate Of A Complex Number the complex conjugate of a complex number \(a+bi\) is \(a−bi\). It is found by changing the sign of the imaginary part of the. a complex conjugate gives the mirror image of the complex number about the horizontal axis (real axis) in the argand plane. In this article, we will explore the. It is found by changing the sign. How To Find Complex Conjugate Of A Complex Number.
From www.youtube.com
Complex number Conjugates and division YouTube How To Find Complex Conjugate Of A Complex Number the complex conjugate of a complex number \(a+bi\) is \(a−bi\). a complex conjugate gives the mirror image of the complex number about the horizontal axis (real axis) in the argand plane. In this article, we will explore the. It is found by changing the sign of the imaginary part of the. It is found by changing the sign. How To Find Complex Conjugate Of A Complex Number.
From www.youtube.com
Complex Numbers Complex Conjugates ExamSolutions YouTube How To Find Complex Conjugate Of A Complex Number a complex conjugate gives the mirror image of the complex number about the horizontal axis (real axis) in the argand plane. In this article, we will explore the. in this article, we will learn the conjugates of complex numbers and their properties, along with solved examples. the complex conjugate of a complex number is formed by changing. How To Find Complex Conjugate Of A Complex Number.
From www.learnatnoon.com
What is a conjugate of a complex number? How To Find Complex Conjugate Of A Complex Number in this article, we will learn the conjugates of complex numbers and their properties, along with solved examples. a complex conjugate gives the mirror image of the complex number about the horizontal axis (real axis) in the argand plane. the complex conjugate of a complex number \(a+bi\) is \(a−bi\). It is found by changing the sign of. How To Find Complex Conjugate Of A Complex Number.
From www.cuemath.com
Complex Number Formula Learn Formulas for Complex Number How To Find Complex Conjugate Of A Complex Number a complex conjugate gives the mirror image of the complex number about the horizontal axis (real axis) in the argand plane. the complex conjugate of a complex number is formed by changing the sign between the real and imaginary components of the. the complex conjugate of a complex number \(a+bi\) is \(a−bi\). in this article, we. How To Find Complex Conjugate Of A Complex Number.
From www.youtube.com
Complex Numbers Complex Conjugates YouTube How To Find Complex Conjugate Of A Complex Number the complex conjugate of a complex number is formed by changing the sign between the real and imaginary components of the. given a complex number \(z = a + bi \,(a, b \in \mathbb{r})\), the complex conjugate of \(z,\) denoted \(\overline{z},\) is the. the complex conjugate of a complex number \(a+bi\) is \(a−bi\). the complex conjugate. How To Find Complex Conjugate Of A Complex Number.
From www.youtube.com
Product of Complex Conjugates College Algebra YouTube How To Find Complex Conjugate Of A Complex Number the conjugate of a complex number a+ib, where a and b are real numbers, is written as a−ib. in this article, we will learn the conjugates of complex numbers and their properties, along with solved examples. In this article, we will explore the. It is found by changing the sign of the imaginary part of the complex number.. How To Find Complex Conjugate Of A Complex Number.
From schools.aglasem.com
CBSE Class 11 Maths Notes Conjugate of a Complex Number and Its How To Find Complex Conjugate Of A Complex Number the complex conjugate of a complex number \(a+bi\) is \(a−bi\). In this article, we will explore the. the complex conjugate of a complex number is formed by changing the sign between the real and imaginary components of the. the complex conjugate of a complex number \(a+bi\) is \(a−bi\). It is found by changing the sign of the. How To Find Complex Conjugate Of A Complex Number.
From www.youtube.com
Complex Numbers Conjugate Examples and Notation YouTube How To Find Complex Conjugate Of A Complex Number the conjugate of a complex number a+ib, where a and b are real numbers, is written as a−ib. the complex conjugate of a complex number \(a+bi\) is \(a−bi\). a complex conjugate gives the mirror image of the complex number about the horizontal axis (real axis) in the argand plane. It is found by changing the sign of. How To Find Complex Conjugate Of A Complex Number.
From www.youtube.com
Prove Relation Between Complex Numbers and Conjugate YouTube How To Find Complex Conjugate Of A Complex Number in this article, we will learn the conjugates of complex numbers and their properties, along with solved examples. a complex conjugate gives the mirror image of the complex number about the horizontal axis (real axis) in the argand plane. It is found by changing the sign of the imaginary part of the complex number. the complex conjugate. How To Find Complex Conjugate Of A Complex Number.
From cale-well-lozano.blogspot.com
Which of the Following Complex Numbers Is Equivalent to 35i/8+2i How To Find Complex Conjugate Of A Complex Number the complex conjugate of a complex number is formed by changing the sign between the real and imaginary components of the. In this article, we will explore the. the conjugate of a complex number a+ib, where a and b are real numbers, is written as a−ib. It is found by changing the sign of the imaginary part of. How To Find Complex Conjugate Of A Complex Number.
From www.learnatnoon.com
What is a conjugate of a complex number? How To Find Complex Conjugate Of A Complex Number the conjugate of a complex number a+ib, where a and b are real numbers, is written as a−ib. the complex conjugate of a complex number \(a+bi\) is \(a−bi\). given a complex number \(z = a + bi \,(a, b \in \mathbb{r})\), the complex conjugate of \(z,\) denoted \(\overline{z},\) is the. It is found by changing the sign. How To Find Complex Conjugate Of A Complex Number.
From www.nagwa.com
Question Video Finding the Conjugate of a Complex Number in Algebraic How To Find Complex Conjugate Of A Complex Number the complex conjugate of a complex number \(a+bi\) is \(a−bi\). the complex conjugate of a complex number is formed by changing the sign between the real and imaginary components of the. It is found by changing the sign of the imaginary part of the. It is found by changing the sign of the imaginary part of the complex. How To Find Complex Conjugate Of A Complex Number.
From www.youtube.com
What are Conjugates of Complex Numbers? YouTube How To Find Complex Conjugate Of A Complex Number the conjugate of a complex number a+ib, where a and b are real numbers, is written as a−ib. In this article, we will explore the. the complex conjugate of a complex number \(a+bi\) is \(a−bi\). in this article, we will learn the conjugates of complex numbers and their properties, along with solved examples. a complex conjugate. How To Find Complex Conjugate Of A Complex Number.
From www.slideserve.com
PPT Complex number PowerPoint Presentation, free download ID4983846 How To Find Complex Conjugate Of A Complex Number In this article, we will explore the. a complex conjugate gives the mirror image of the complex number about the horizontal axis (real axis) in the argand plane. given a complex number \(z = a + bi \,(a, b \in \mathbb{r})\), the complex conjugate of \(z,\) denoted \(\overline{z},\) is the. It is found by changing the sign of. How To Find Complex Conjugate Of A Complex Number.
From www.youtube.com
How to Find Conjugate of Complex Number Complex Numbers Math Class 9th How To Find Complex Conjugate Of A Complex Number in this article, we will learn the conjugates of complex numbers and their properties, along with solved examples. the complex conjugate of a complex number \(a+bi\) is \(a−bi\). the complex conjugate of a complex number is formed by changing the sign between the real and imaginary components of the. the conjugate of a complex number a+ib,. How To Find Complex Conjugate Of A Complex Number.
From www.slideserve.com
PPT Complex Numbers PowerPoint Presentation, free download ID6836546 How To Find Complex Conjugate Of A Complex Number the complex conjugate of a complex number \(a+bi\) is \(a−bi\). the conjugate of a complex number a+ib, where a and b are real numbers, is written as a−ib. given a complex number \(z = a + bi \,(a, b \in \mathbb{r})\), the complex conjugate of \(z,\) denoted \(\overline{z},\) is the. the complex conjugate of a complex. How To Find Complex Conjugate Of A Complex Number.
From study.com
How to Find a Complex Conjugate Precalculus How To Find Complex Conjugate Of A Complex Number It is found by changing the sign of the imaginary part of the. In this article, we will explore the. the conjugate of a complex number a+ib, where a and b are real numbers, is written as a−ib. a complex conjugate gives the mirror image of the complex number about the horizontal axis (real axis) in the argand. How To Find Complex Conjugate Of A Complex Number.
From www.youtube.com
Complex Conjugate How to Find Conjugate of a Complex Number (hindi How To Find Complex Conjugate Of A Complex Number It is found by changing the sign of the imaginary part of the complex number. the conjugate of a complex number a+ib, where a and b are real numbers, is written as a−ib. given a complex number \(z = a + bi \,(a, b \in \mathbb{r})\), the complex conjugate of \(z,\) denoted \(\overline{z},\) is the. In this article,. How To Find Complex Conjugate Of A Complex Number.
From www.youtube.com
Finding the complex Numbers ┃maths YouTube How To Find Complex Conjugate Of A Complex Number the complex conjugate of a complex number \(a+bi\) is \(a−bi\). the conjugate of a complex number a+ib, where a and b are real numbers, is written as a−ib. It is found by changing the sign of the imaginary part of the. It is found by changing the sign of the imaginary part of the complex number. In this. How To Find Complex Conjugate Of A Complex Number.
From www.youtube.com
Week 2 Complex conjugate of a complex number YouTube How To Find Complex Conjugate Of A Complex Number the complex conjugate of a complex number is formed by changing the sign between the real and imaginary components of the. given a complex number \(z = a + bi \,(a, b \in \mathbb{r})\), the complex conjugate of \(z,\) denoted \(\overline{z},\) is the. In this article, we will explore the. the complex conjugate of a complex number. How To Find Complex Conjugate Of A Complex Number.
From ccssmathanswers.com
Conjugate Complex Numbers Graphical Representation, Properties How How To Find Complex Conjugate Of A Complex Number the complex conjugate of a complex number \(a+bi\) is \(a−bi\). the complex conjugate of a complex number \(a+bi\) is \(a−bi\). in this article, we will learn the conjugates of complex numbers and their properties, along with solved examples. the complex conjugate of a complex number is formed by changing the sign between the real and imaginary. How To Find Complex Conjugate Of A Complex Number.