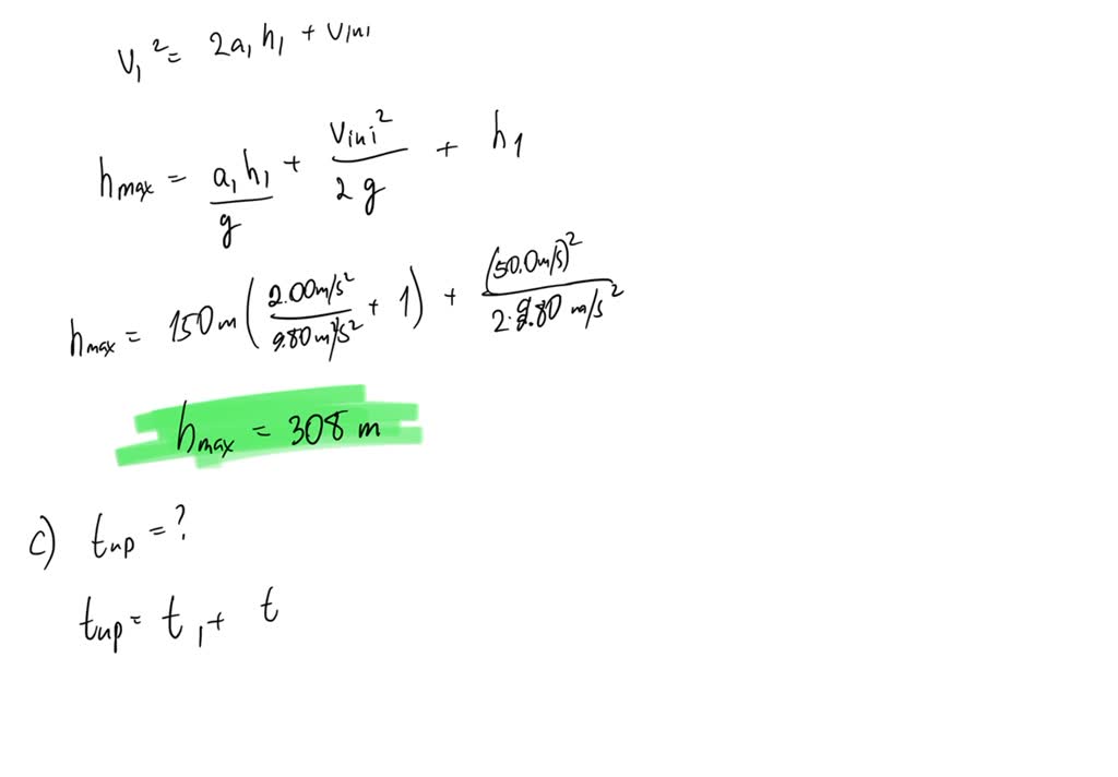
A Model Rocket Is Launched With An Initial Upward Velocity Of 50 . The rockets height “h” (in meters) after “t” seconds is given by the. The rockets height “h@ (in meters) after “t”. A model rocket is launched with an initial upward velocity of 50 m/s. Assuming an upward direction results in a. To find the maximum height, we first need to find the velocity of the rocket when it reaches 150 m. In summary, a model rocket is launched with an initial speed of 50.0 m/s and accelerates with a constant upward. A model rocket is launched with an initial an initial upward velocity of 50 m/s. A model rocket is launched with an initial upward velocity of 50 m/s. The rocket's height h (in meters) after seconds is given by.
        
        from www.chegg.com 
     
        
        A model rocket is launched with an initial upward velocity of 50 m/s. The rockets height “h@ (in meters) after “t”. Assuming an upward direction results in a. The rockets height “h” (in meters) after “t” seconds is given by the. To find the maximum height, we first need to find the velocity of the rocket when it reaches 150 m. A model rocket is launched with an initial an initial upward velocity of 50 m/s. The rocket's height h (in meters) after seconds is given by. A model rocket is launched with an initial upward velocity of 50 m/s. In summary, a model rocket is launched with an initial speed of 50.0 m/s and accelerates with a constant upward.
    
    	
            
	
		 
         
    Solved A model rocket is launched with an initial upward 
    A Model Rocket Is Launched With An Initial Upward Velocity Of 50  The rockets height “h@ (in meters) after “t”. A model rocket is launched with an initial an initial upward velocity of 50 m/s. A model rocket is launched with an initial upward velocity of 50 m/s. To find the maximum height, we first need to find the velocity of the rocket when it reaches 150 m. The rockets height “h@ (in meters) after “t”. The rockets height “h” (in meters) after “t” seconds is given by the. In summary, a model rocket is launched with an initial speed of 50.0 m/s and accelerates with a constant upward. A model rocket is launched with an initial upward velocity of 50 m/s. The rocket's height h (in meters) after seconds is given by. Assuming an upward direction results in a.
            
	
		 
         
 
    
        From www.youtube.com 
                    A model rocket is launched straight upward with an initial speed of 50. A Model Rocket Is Launched With An Initial Upward Velocity Of 50  To find the maximum height, we first need to find the velocity of the rocket when it reaches 150 m. The rocket's height h (in meters) after seconds is given by. In summary, a model rocket is launched with an initial speed of 50.0 m/s and accelerates with a constant upward. The rockets height “h” (in meters) after “t” seconds. A Model Rocket Is Launched With An Initial Upward Velocity Of 50.
     
    
        From www.numerade.com 
                    SOLVED A model rocket is launched with an initial upward velocity of A Model Rocket Is Launched With An Initial Upward Velocity Of 50  The rocket's height h (in meters) after seconds is given by. In summary, a model rocket is launched with an initial speed of 50.0 m/s and accelerates with a constant upward. A model rocket is launched with an initial upward velocity of 50 m/s. A model rocket is launched with an initial an initial upward velocity of 50 m/s. The. A Model Rocket Is Launched With An Initial Upward Velocity Of 50.
     
    
        From www.numerade.com 
                    SOLVED A model rocket is launched with an initial upward velocity of A Model Rocket Is Launched With An Initial Upward Velocity Of 50  A model rocket is launched with an initial an initial upward velocity of 50 m/s. Assuming an upward direction results in a. In summary, a model rocket is launched with an initial speed of 50.0 m/s and accelerates with a constant upward. A model rocket is launched with an initial upward velocity of 50 m/s. A model rocket is launched. A Model Rocket Is Launched With An Initial Upward Velocity Of 50.
     
    
        From www.chegg.com 
                    Solved A model rocket is launched with an initial upward A Model Rocket Is Launched With An Initial Upward Velocity Of 50  The rocket's height h (in meters) after seconds is given by. The rockets height “h” (in meters) after “t” seconds is given by the. Assuming an upward direction results in a. A model rocket is launched with an initial upward velocity of 50 m/s. To find the maximum height, we first need to find the velocity of the rocket when. A Model Rocket Is Launched With An Initial Upward Velocity Of 50.
     
    
        From www.chegg.com 
                    Solved A model rocket is launched with an initial upward A Model Rocket Is Launched With An Initial Upward Velocity Of 50  A model rocket is launched with an initial an initial upward velocity of 50 m/s. A model rocket is launched with an initial upward velocity of 50 m/s. In summary, a model rocket is launched with an initial speed of 50.0 m/s and accelerates with a constant upward. A model rocket is launched with an initial upward velocity of 50. A Model Rocket Is Launched With An Initial Upward Velocity Of 50.
     
    
        From www.numerade.com 
                    SOLVED A model rocket is launched with an initial upward velocity of A Model Rocket Is Launched With An Initial Upward Velocity Of 50  A model rocket is launched with an initial an initial upward velocity of 50 m/s. A model rocket is launched with an initial upward velocity of 50 m/s. To find the maximum height, we first need to find the velocity of the rocket when it reaches 150 m. The rockets height “h@ (in meters) after “t”. Assuming an upward direction. A Model Rocket Is Launched With An Initial Upward Velocity Of 50.
     
    
        From www.coursehero.com 
                    [Solved] A model rocket is launched with an initial upward velocity of A Model Rocket Is Launched With An Initial Upward Velocity Of 50  A model rocket is launched with an initial upward velocity of 50 m/s. The rockets height “h@ (in meters) after “t”. Assuming an upward direction results in a. The rocket's height h (in meters) after seconds is given by. To find the maximum height, we first need to find the velocity of the rocket when it reaches 150 m. In. A Model Rocket Is Launched With An Initial Upward Velocity Of 50.
     
    
        From www.chegg.com 
                    Solved A model rocket is launched with an initial upward A Model Rocket Is Launched With An Initial Upward Velocity Of 50  To find the maximum height, we first need to find the velocity of the rocket when it reaches 150 m. The rocket's height h (in meters) after seconds is given by. A model rocket is launched with an initial an initial upward velocity of 50 m/s. The rockets height “h” (in meters) after “t” seconds is given by the. A. A Model Rocket Is Launched With An Initial Upward Velocity Of 50.
     
    
        From solvedlib.com 
                    A model rocket is launched from point A with an initi… SolvedLib A Model Rocket Is Launched With An Initial Upward Velocity Of 50  To find the maximum height, we first need to find the velocity of the rocket when it reaches 150 m. A model rocket is launched with an initial upward velocity of 50 m/s. In summary, a model rocket is launched with an initial speed of 50.0 m/s and accelerates with a constant upward. A model rocket is launched with an. A Model Rocket Is Launched With An Initial Upward Velocity Of 50.
     
    
        From www.chegg.com 
                    Solved A model rocket is launched from point A with an A Model Rocket Is Launched With An Initial Upward Velocity Of 50  The rockets height “h” (in meters) after “t” seconds is given by the. The rockets height “h@ (in meters) after “t”. In summary, a model rocket is launched with an initial speed of 50.0 m/s and accelerates with a constant upward. A model rocket is launched with an initial upward velocity of 50 m/s. A model rocket is launched with. A Model Rocket Is Launched With An Initial Upward Velocity Of 50.
     
    
        From www.chegg.com 
                    Solved A model rocket is launched with an initial upward A Model Rocket Is Launched With An Initial Upward Velocity Of 50  The rockets height “h@ (in meters) after “t”. A model rocket is launched with an initial upward velocity of 50 m/s. A model rocket is launched with an initial upward velocity of 50 m/s. To find the maximum height, we first need to find the velocity of the rocket when it reaches 150 m. The rockets height “h” (in meters). A Model Rocket Is Launched With An Initial Upward Velocity Of 50.
     
    
        From www.chegg.com 
                    Solved A model rocket is launched with an initial upward A Model Rocket Is Launched With An Initial Upward Velocity Of 50  A model rocket is launched with an initial upward velocity of 50 m/s. The rockets height “h” (in meters) after “t” seconds is given by the. In summary, a model rocket is launched with an initial speed of 50.0 m/s and accelerates with a constant upward. To find the maximum height, we first need to find the velocity of the. A Model Rocket Is Launched With An Initial Upward Velocity Of 50.
     
    
        From www.chegg.com 
                    Solved A model rocket is launched with an initial upward A Model Rocket Is Launched With An Initial Upward Velocity Of 50  Assuming an upward direction results in a. The rocket's height h (in meters) after seconds is given by. The rockets height “h@ (in meters) after “t”. The rockets height “h” (in meters) after “t” seconds is given by the. A model rocket is launched with an initial upward velocity of 50 m/s. To find the maximum height, we first need. A Model Rocket Is Launched With An Initial Upward Velocity Of 50.
     
    
        From www.chegg.com 
                    Solved A model rocket is launched with an initial upward A Model Rocket Is Launched With An Initial Upward Velocity Of 50  The rocket's height h (in meters) after seconds is given by. A model rocket is launched with an initial upward velocity of 50 m/s. Assuming an upward direction results in a. The rockets height “h@ (in meters) after “t”. To find the maximum height, we first need to find the velocity of the rocket when it reaches 150 m. A. A Model Rocket Is Launched With An Initial Upward Velocity Of 50.
     
    
        From www.numerade.com 
                    SOLVED A rocket is launched with an initial upward velocity of 320 A Model Rocket Is Launched With An Initial Upward Velocity Of 50  To find the maximum height, we first need to find the velocity of the rocket when it reaches 150 m. Assuming an upward direction results in a. A model rocket is launched with an initial upward velocity of 50 m/s. A model rocket is launched with an initial an initial upward velocity of 50 m/s. The rocket's height h (in. A Model Rocket Is Launched With An Initial Upward Velocity Of 50.
     
    
        From solvedlib.com 
                    A model rocket is launched straight up with a speed o… SolvedLib A Model Rocket Is Launched With An Initial Upward Velocity Of 50  A model rocket is launched with an initial an initial upward velocity of 50 m/s. To find the maximum height, we first need to find the velocity of the rocket when it reaches 150 m. A model rocket is launched with an initial upward velocity of 50 m/s. Assuming an upward direction results in a. The rocket's height h (in. A Model Rocket Is Launched With An Initial Upward Velocity Of 50.
     
    
        From www.chegg.com 
                    Solved A model rocket is launched vertically upward from the A Model Rocket Is Launched With An Initial Upward Velocity Of 50  The rockets height “h@ (in meters) after “t”. To find the maximum height, we first need to find the velocity of the rocket when it reaches 150 m. In summary, a model rocket is launched with an initial speed of 50.0 m/s and accelerates with a constant upward. A model rocket is launched with an initial upward velocity of 50. A Model Rocket Is Launched With An Initial Upward Velocity Of 50.
     
    
        From cameramath.com 
                    A model rocket is launched with an initial upward velocity of 195ft/s A Model Rocket Is Launched With An Initial Upward Velocity Of 50  The rockets height “h” (in meters) after “t” seconds is given by the. Assuming an upward direction results in a. A model rocket is launched with an initial upward velocity of 50 m/s. A model rocket is launched with an initial upward velocity of 50 m/s. The rockets height “h@ (in meters) after “t”. A model rocket is launched with. A Model Rocket Is Launched With An Initial Upward Velocity Of 50.
     
    
        From cameramath.com 
                    A model rocket is launched with an initial upward velocity of 230ft/s A Model Rocket Is Launched With An Initial Upward Velocity Of 50  To find the maximum height, we first need to find the velocity of the rocket when it reaches 150 m. A model rocket is launched with an initial upward velocity of 50 m/s. The rocket's height h (in meters) after seconds is given by. The rockets height “h@ (in meters) after “t”. A model rocket is launched with an initial. A Model Rocket Is Launched With An Initial Upward Velocity Of 50.
     
    
        From brainly.com 
                    A model rocket is launched with an initial upward velocity of 215 ft/s A Model Rocket Is Launched With An Initial Upward Velocity Of 50  The rockets height “h@ (in meters) after “t”. A model rocket is launched with an initial upward velocity of 50 m/s. A model rocket is launched with an initial upward velocity of 50 m/s. The rocket's height h (in meters) after seconds is given by. In summary, a model rocket is launched with an initial speed of 50.0 m/s and. A Model Rocket Is Launched With An Initial Upward Velocity Of 50.
     
    
        From www.chegg.com 
                    Solved A model rocket is launched with an initial upward A Model Rocket Is Launched With An Initial Upward Velocity Of 50  The rocket's height h (in meters) after seconds is given by. The rockets height “h” (in meters) after “t” seconds is given by the. In summary, a model rocket is launched with an initial speed of 50.0 m/s and accelerates with a constant upward. A model rocket is launched with an initial an initial upward velocity of 50 m/s. A. A Model Rocket Is Launched With An Initial Upward Velocity Of 50.
     
    
        From www.chegg.com 
                    Solved A model rocket is launched with an initial upward A Model Rocket Is Launched With An Initial Upward Velocity Of 50  The rocket's height h (in meters) after seconds is given by. Assuming an upward direction results in a. A model rocket is launched with an initial an initial upward velocity of 50 m/s. To find the maximum height, we first need to find the velocity of the rocket when it reaches 150 m. The rockets height “h” (in meters) after. A Model Rocket Is Launched With An Initial Upward Velocity Of 50.
     
    
        From www.chegg.com 
                    Solved A model rocket is launched with an initial upward A Model Rocket Is Launched With An Initial Upward Velocity Of 50  The rockets height “h@ (in meters) after “t”. A model rocket is launched with an initial upward velocity of 50 m/s. To find the maximum height, we first need to find the velocity of the rocket when it reaches 150 m. The rocket's height h (in meters) after seconds is given by. Assuming an upward direction results in a. In. A Model Rocket Is Launched With An Initial Upward Velocity Of 50.
     
    
        From www.coursehero.com 
                    [Solved] A model rocket is launched with an initial upward velocity of A Model Rocket Is Launched With An Initial Upward Velocity Of 50  Assuming an upward direction results in a. In summary, a model rocket is launched with an initial speed of 50.0 m/s and accelerates with a constant upward. A model rocket is launched with an initial upward velocity of 50 m/s. A model rocket is launched with an initial an initial upward velocity of 50 m/s. The rockets height “h” (in. A Model Rocket Is Launched With An Initial Upward Velocity Of 50.
     
    
        From cameramath.com 
                    A model rocket is launched with an initial upward CameraMath A Model Rocket Is Launched With An Initial Upward Velocity Of 50  A model rocket is launched with an initial an initial upward velocity of 50 m/s. Assuming an upward direction results in a. A model rocket is launched with an initial upward velocity of 50 m/s. In summary, a model rocket is launched with an initial speed of 50.0 m/s and accelerates with a constant upward. The rockets height “h” (in. A Model Rocket Is Launched With An Initial Upward Velocity Of 50.
     
    
        From www.chegg.com 
                    Solved A model rocket is launched with an initial upward A Model Rocket Is Launched With An Initial Upward Velocity Of 50  The rockets height “h” (in meters) after “t” seconds is given by the. A model rocket is launched with an initial upward velocity of 50 m/s. The rockets height “h@ (in meters) after “t”. A model rocket is launched with an initial an initial upward velocity of 50 m/s. In summary, a model rocket is launched with an initial speed. A Model Rocket Is Launched With An Initial Upward Velocity Of 50.
     
    
        From www.chegg.com 
                    Solved A model rocket is launched from point A with an A Model Rocket Is Launched With An Initial Upward Velocity Of 50  A model rocket is launched with an initial upward velocity of 50 m/s. To find the maximum height, we first need to find the velocity of the rocket when it reaches 150 m. The rockets height “h@ (in meters) after “t”. The rockets height “h” (in meters) after “t” seconds is given by the. In summary, a model rocket is. A Model Rocket Is Launched With An Initial Upward Velocity Of 50.
     
    
        From brainly.com 
                    A model rocket is launched with an initial upward velocity of 156 ft/s A Model Rocket Is Launched With An Initial Upward Velocity Of 50  The rockets height “h” (in meters) after “t” seconds is given by the. A model rocket is launched with an initial upward velocity of 50 m/s. The rocket's height h (in meters) after seconds is given by. A model rocket is launched with an initial upward velocity of 50 m/s. To find the maximum height, we first need to find. A Model Rocket Is Launched With An Initial Upward Velocity Of 50.
     
    
        From www.bartleby.com 
                    Answered A model rocket is launched with an… bartleby A Model Rocket Is Launched With An Initial Upward Velocity Of 50  A model rocket is launched with an initial upward velocity of 50 m/s. The rockets height “h” (in meters) after “t” seconds is given by the. To find the maximum height, we first need to find the velocity of the rocket when it reaches 150 m. A model rocket is launched with an initial upward velocity of 50 m/s. Assuming. A Model Rocket Is Launched With An Initial Upward Velocity Of 50.
     
    
        From www.numerade.com 
                    SOLVED A model rocket is launched with an initial upward velocity of A Model Rocket Is Launched With An Initial Upward Velocity Of 50  In summary, a model rocket is launched with an initial speed of 50.0 m/s and accelerates with a constant upward. A model rocket is launched with an initial an initial upward velocity of 50 m/s. A model rocket is launched with an initial upward velocity of 50 m/s. The rockets height “h” (in meters) after “t” seconds is given by. A Model Rocket Is Launched With An Initial Upward Velocity Of 50.
     
    
        From www.chegg.com 
                    Solved A model rocket is launched with an initial upward A Model Rocket Is Launched With An Initial Upward Velocity Of 50  In summary, a model rocket is launched with an initial speed of 50.0 m/s and accelerates with a constant upward. The rocket's height h (in meters) after seconds is given by. To find the maximum height, we first need to find the velocity of the rocket when it reaches 150 m. Assuming an upward direction results in a. A model. A Model Rocket Is Launched With An Initial Upward Velocity Of 50.
     
    
        From www.coursehero.com 
                    [Solved] A model rocket is launched with an initial upward velocity of A Model Rocket Is Launched With An Initial Upward Velocity Of 50  A model rocket is launched with an initial upward velocity of 50 m/s. The rockets height “h@ (in meters) after “t”. In summary, a model rocket is launched with an initial speed of 50.0 m/s and accelerates with a constant upward. The rockets height “h” (in meters) after “t” seconds is given by the. A model rocket is launched with. A Model Rocket Is Launched With An Initial Upward Velocity Of 50.
     
    
        From www.chegg.com 
                    Solved A model rocket is launched upward from a stationary A Model Rocket Is Launched With An Initial Upward Velocity Of 50  A model rocket is launched with an initial an initial upward velocity of 50 m/s. A model rocket is launched with an initial upward velocity of 50 m/s. The rocket's height h (in meters) after seconds is given by. The rockets height “h” (in meters) after “t” seconds is given by the. In summary, a model rocket is launched with. A Model Rocket Is Launched With An Initial Upward Velocity Of 50.
     
    
        From www.numerade.com 
                    SOLVED A model rocket is launched straight upward with an initial A Model Rocket Is Launched With An Initial Upward Velocity Of 50  In summary, a model rocket is launched with an initial speed of 50.0 m/s and accelerates with a constant upward. A model rocket is launched with an initial upward velocity of 50 m/s. A model rocket is launched with an initial an initial upward velocity of 50 m/s. A model rocket is launched with an initial upward velocity of 50. A Model Rocket Is Launched With An Initial Upward Velocity Of 50.
     
    
        From www.chegg.com 
                    Solved A model rocket is launched with an initial upward A Model Rocket Is Launched With An Initial Upward Velocity Of 50  A model rocket is launched with an initial an initial upward velocity of 50 m/s. To find the maximum height, we first need to find the velocity of the rocket when it reaches 150 m. The rockets height “h@ (in meters) after “t”. The rocket's height h (in meters) after seconds is given by. In summary, a model rocket is. A Model Rocket Is Launched With An Initial Upward Velocity Of 50.