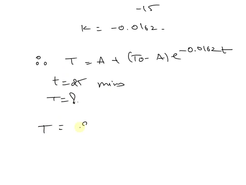
A Cup Of Coffee Cools At A Rate Proportional . If the temperature of the coffee was. Newton's law of cooling states that the temperature of an object changes at a rate proportional to the difference between its. When its temperature is 70 c, it is cooling at a rate of 1 c per minute. To solve this problem, we can use the concept of exponential decay since the rate at which the coffee cools is proportional to the. A cup of coffee cools at a rate proportional to the difference between the constant room temperature of 20.0 degrees celsius and the. 5) a cup of coffee cools at rate proportional to the difference between the constant room temperature of 20.0°c and the temperature of the coffee. A cup of coffee with temperatures 125 degree f is placed in a freezer with temperature 0 degree f. A cup of coffee cools at rate proportional to the difference between the constant room temperature of 20.0 degree c and the temperature of the coffee. If the cooling rate is determined. A freshly brewed cup of coffee has temperature 95 c in a 20 c room.
from www.numerade.com
A cup of coffee cools at a rate proportional to the difference between the constant room temperature of 20.0 degrees celsius and the. A cup of coffee cools at rate proportional to the difference between the constant room temperature of 20.0 degree c and the temperature of the coffee. To solve this problem, we can use the concept of exponential decay since the rate at which the coffee cools is proportional to the. 5) a cup of coffee cools at rate proportional to the difference between the constant room temperature of 20.0°c and the temperature of the coffee. A freshly brewed cup of coffee has temperature 95 c in a 20 c room. When its temperature is 70 c, it is cooling at a rate of 1 c per minute. Newton's law of cooling states that the temperature of an object changes at a rate proportional to the difference between its. If the cooling rate is determined. A cup of coffee with temperatures 125 degree f is placed in a freezer with temperature 0 degree f. If the temperature of the coffee was.
SOLVED Problem 8 [Newton's Law of Cooling] When a hot object, such as a cup of coffee, is left
A Cup Of Coffee Cools At A Rate Proportional If the cooling rate is determined. Newton's law of cooling states that the temperature of an object changes at a rate proportional to the difference between its. When its temperature is 70 c, it is cooling at a rate of 1 c per minute. A freshly brewed cup of coffee has temperature 95 c in a 20 c room. A cup of coffee cools at a rate proportional to the difference between the constant room temperature of 20.0 degrees celsius and the. If the temperature of the coffee was. A cup of coffee with temperatures 125 degree f is placed in a freezer with temperature 0 degree f. If the cooling rate is determined. To solve this problem, we can use the concept of exponential decay since the rate at which the coffee cools is proportional to the. 5) a cup of coffee cools at rate proportional to the difference between the constant room temperature of 20.0°c and the temperature of the coffee. A cup of coffee cools at rate proportional to the difference between the constant room temperature of 20.0 degree c and the temperature of the coffee.
From www.numerade.com
SOLVED (2 points) Suppose you have just poured cup of freshly brewed coffee with temperature 90 A Cup Of Coffee Cools At A Rate Proportional If the cooling rate is determined. 5) a cup of coffee cools at rate proportional to the difference between the constant room temperature of 20.0°c and the temperature of the coffee. A cup of coffee with temperatures 125 degree f is placed in a freezer with temperature 0 degree f. To solve this problem, we can use the concept of. A Cup Of Coffee Cools At A Rate Proportional.
From www.numerade.com
SOLVED Solve each exponential growth/decay problem A cup of coffee cools at a rate A Cup Of Coffee Cools At A Rate Proportional If the temperature of the coffee was. 5) a cup of coffee cools at rate proportional to the difference between the constant room temperature of 20.0°c and the temperature of the coffee. A cup of coffee cools at a rate proportional to the difference between the constant room temperature of 20.0 degrees celsius and the. Newton's law of cooling states. A Cup Of Coffee Cools At A Rate Proportional.
From www.thinkswap.com
Cool Rate of Coffee Mathematical Methods Year 11 SACE Thinkswap A Cup Of Coffee Cools At A Rate Proportional When its temperature is 70 c, it is cooling at a rate of 1 c per minute. A cup of coffee with temperatures 125 degree f is placed in a freezer with temperature 0 degree f. A cup of coffee cools at a rate proportional to the difference between the constant room temperature of 20.0 degrees celsius and the. If. A Cup Of Coffee Cools At A Rate Proportional.
From www.numerade.com
SOLVED point) Newton's Law of Cooling states that the rate of cooling of an object is A Cup Of Coffee Cools At A Rate Proportional A cup of coffee with temperatures 125 degree f is placed in a freezer with temperature 0 degree f. A cup of coffee cools at rate proportional to the difference between the constant room temperature of 20.0 degree c and the temperature of the coffee. 5) a cup of coffee cools at rate proportional to the difference between the constant. A Cup Of Coffee Cools At A Rate Proportional.
From www.bartleby.com
Answered Assume that the rate at which a cup of… bartleby A Cup Of Coffee Cools At A Rate Proportional A freshly brewed cup of coffee has temperature 95 c in a 20 c room. If the temperature of the coffee was. A cup of coffee with temperatures 125 degree f is placed in a freezer with temperature 0 degree f. To solve this problem, we can use the concept of exponential decay since the rate at which the coffee. A Cup Of Coffee Cools At A Rate Proportional.
From www.numerade.com
SOLVEDpoint) Suppose you have just poured cup of freshly brewed coffee with temperature 959C in A Cup Of Coffee Cools At A Rate Proportional To solve this problem, we can use the concept of exponential decay since the rate at which the coffee cools is proportional to the. A cup of coffee cools at rate proportional to the difference between the constant room temperature of 20.0 degree c and the temperature of the coffee. If the temperature of the coffee was. A cup of. A Cup Of Coffee Cools At A Rate Proportional.
From www.chegg.com
Solved A cup of coffee cools at rate proportional to the A Cup Of Coffee Cools At A Rate Proportional A cup of coffee cools at rate proportional to the difference between the constant room temperature of 20.0 degree c and the temperature of the coffee. When its temperature is 70 c, it is cooling at a rate of 1 c per minute. A cup of coffee with temperatures 125 degree f is placed in a freezer with temperature 0. A Cup Of Coffee Cools At A Rate Proportional.
From www.numerade.com
Suppose you have just poured a cup of freshly brewed coffee with temperature 90 in a room A Cup Of Coffee Cools At A Rate Proportional A cup of coffee with temperatures 125 degree f is placed in a freezer with temperature 0 degree f. A cup of coffee cools at rate proportional to the difference between the constant room temperature of 20.0 degree c and the temperature of the coffee. If the temperature of the coffee was. A cup of coffee cools at a rate. A Cup Of Coffee Cools At A Rate Proportional.
From www.numerade.com
SOLVEDpoint) Suppose you have just poured cup of freshly brewed coffee with temperature 959C in A Cup Of Coffee Cools At A Rate Proportional A cup of coffee cools at rate proportional to the difference between the constant room temperature of 20.0 degree c and the temperature of the coffee. When its temperature is 70 c, it is cooling at a rate of 1 c per minute. A freshly brewed cup of coffee has temperature 95 c in a 20 c room. If the. A Cup Of Coffee Cools At A Rate Proportional.
From www.thinkswap.com
Cool Rate of Coffee Mathematical Methods Year 11 SACE Thinkswap A Cup Of Coffee Cools At A Rate Proportional A freshly brewed cup of coffee has temperature 95 c in a 20 c room. A cup of coffee with temperatures 125 degree f is placed in a freezer with temperature 0 degree f. A cup of coffee cools at rate proportional to the difference between the constant room temperature of 20.0 degree c and the temperature of the coffee.. A Cup Of Coffee Cools At A Rate Proportional.
From www.chegg.com
Solved A cup of coffee cools at rate proportional to the A Cup Of Coffee Cools At A Rate Proportional To solve this problem, we can use the concept of exponential decay since the rate at which the coffee cools is proportional to the. A cup of coffee with temperatures 125 degree f is placed in a freezer with temperature 0 degree f. If the cooling rate is determined. When its temperature is 70 c, it is cooling at a. A Cup Of Coffee Cools At A Rate Proportional.
From www.numerade.com
SOLVED A cup of coffee cools at a rate proportional to the difference between the constant room A Cup Of Coffee Cools At A Rate Proportional To solve this problem, we can use the concept of exponential decay since the rate at which the coffee cools is proportional to the. When its temperature is 70 c, it is cooling at a rate of 1 c per minute. A cup of coffee cools at rate proportional to the difference between the constant room temperature of 20.0 degree. A Cup Of Coffee Cools At A Rate Proportional.
From www.youtube.com
A cup of coffee cools from 900C to 800C in t min., when the room temp is 200C NEET 2021 A Cup Of Coffee Cools At A Rate Proportional A cup of coffee with temperatures 125 degree f is placed in a freezer with temperature 0 degree f. Newton's law of cooling states that the temperature of an object changes at a rate proportional to the difference between its. A cup of coffee cools at rate proportional to the difference between the constant room temperature of 20.0 degree c. A Cup Of Coffee Cools At A Rate Proportional.
From www.chegg.com
Solved In this exercise we considered a 95°C cup of coffee A Cup Of Coffee Cools At A Rate Proportional A cup of coffee cools at rate proportional to the difference between the constant room temperature of 20.0 degree c and the temperature of the coffee. A cup of coffee cools at a rate proportional to the difference between the constant room temperature of 20.0 degrees celsius and the. A freshly brewed cup of coffee has temperature 95 c in. A Cup Of Coffee Cools At A Rate Proportional.
From www.numerade.com
SOLVED3 points) Newton's Law of Cooling states that the rate of cooling of an object is A Cup Of Coffee Cools At A Rate Proportional A cup of coffee cools at a rate proportional to the difference between the constant room temperature of 20.0 degrees celsius and the. When its temperature is 70 c, it is cooling at a rate of 1 c per minute. A cup of coffee with temperatures 125 degree f is placed in a freezer with temperature 0 degree f. If. A Cup Of Coffee Cools At A Rate Proportional.
From www.chegg.com
Solved A cup of coffee cools according to Newton's law of A Cup Of Coffee Cools At A Rate Proportional If the temperature of the coffee was. 5) a cup of coffee cools at rate proportional to the difference between the constant room temperature of 20.0°c and the temperature of the coffee. When its temperature is 70 c, it is cooling at a rate of 1 c per minute. A cup of coffee cools at a rate proportional to the. A Cup Of Coffee Cools At A Rate Proportional.
From www.numerade.com
SOLVED Suppose you have just poured a cup of freshly brewed coffee with temperature 95^∘C in a A Cup Of Coffee Cools At A Rate Proportional If the cooling rate is determined. When its temperature is 70 c, it is cooling at a rate of 1 c per minute. To solve this problem, we can use the concept of exponential decay since the rate at which the coffee cools is proportional to the. Newton's law of cooling states that the temperature of an object changes at. A Cup Of Coffee Cools At A Rate Proportional.
From www.numerade.com
SOLVEDpoint) Suppose you have just poured cup of freshly brewed coffee with temperature 90? C A Cup Of Coffee Cools At A Rate Proportional If the cooling rate is determined. A cup of coffee cools at a rate proportional to the difference between the constant room temperature of 20.0 degrees celsius and the. A cup of coffee with temperatures 125 degree f is placed in a freezer with temperature 0 degree f. If the temperature of the coffee was. When its temperature is 70. A Cup Of Coffee Cools At A Rate Proportional.
From www.numerade.com
SOLVED 4. Newton's Law of Cooling says that the rate at which an object, such as a cup of A Cup Of Coffee Cools At A Rate Proportional To solve this problem, we can use the concept of exponential decay since the rate at which the coffee cools is proportional to the. When its temperature is 70 c, it is cooling at a rate of 1 c per minute. If the cooling rate is determined. 5) a cup of coffee cools at rate proportional to the difference between. A Cup Of Coffee Cools At A Rate Proportional.
From www.pinterest.com
Coffee to Water Ratio Calculator + Charts for Every Method Coffee to water ratio, Coffee A Cup Of Coffee Cools At A Rate Proportional A freshly brewed cup of coffee has temperature 95 c in a 20 c room. To solve this problem, we can use the concept of exponential decay since the rate at which the coffee cools is proportional to the. When its temperature is 70 c, it is cooling at a rate of 1 c per minute. A cup of coffee. A Cup Of Coffee Cools At A Rate Proportional.
From www.numerade.com
SOLVED Problem 8 [Newton's Law of Cooling] When a hot object, such as a cup of coffee, is left A Cup Of Coffee Cools At A Rate Proportional A freshly brewed cup of coffee has temperature 95 c in a 20 c room. A cup of coffee cools at a rate proportional to the difference between the constant room temperature of 20.0 degrees celsius and the. If the temperature of the coffee was. To solve this problem, we can use the concept of exponential decay since the rate. A Cup Of Coffee Cools At A Rate Proportional.
From www.numerade.com
SOLVED According to Newton's Law of Cooling, the rate of change of an object's temperature is A Cup Of Coffee Cools At A Rate Proportional 5) a cup of coffee cools at rate proportional to the difference between the constant room temperature of 20.0°c and the temperature of the coffee. A cup of coffee cools at a rate proportional to the difference between the constant room temperature of 20.0 degrees celsius and the. If the cooling rate is determined. A freshly brewed cup of coffee. A Cup Of Coffee Cools At A Rate Proportional.
From www.chegg.com
Solved (1 point) Suppose you have just poured a cup of A Cup Of Coffee Cools At A Rate Proportional If the cooling rate is determined. 5) a cup of coffee cools at rate proportional to the difference between the constant room temperature of 20.0°c and the temperature of the coffee. A cup of coffee with temperatures 125 degree f is placed in a freezer with temperature 0 degree f. To solve this problem, we can use the concept of. A Cup Of Coffee Cools At A Rate Proportional.
From www.numerade.com
SOLVED point) Suppose you have just poured cup of freshly brewed coffee with temperature 90"C A Cup Of Coffee Cools At A Rate Proportional A cup of coffee cools at a rate proportional to the difference between the constant room temperature of 20.0 degrees celsius and the. A cup of coffee cools at rate proportional to the difference between the constant room temperature of 20.0 degree c and the temperature of the coffee. To solve this problem, we can use the concept of exponential. A Cup Of Coffee Cools At A Rate Proportional.
From www.numerade.com
SOLVED point) Newton's Law of Cooling states that the rate of cooling of an object is A Cup Of Coffee Cools At A Rate Proportional 5) a cup of coffee cools at rate proportional to the difference between the constant room temperature of 20.0°c and the temperature of the coffee. A cup of coffee cools at a rate proportional to the difference between the constant room temperature of 20.0 degrees celsius and the. A freshly brewed cup of coffee has temperature 95 c in a. A Cup Of Coffee Cools At A Rate Proportional.
From www.chegg.com
Solved A cup of coffee cools according to Newton's law of A Cup Of Coffee Cools At A Rate Proportional A cup of coffee with temperatures 125 degree f is placed in a freezer with temperature 0 degree f. If the temperature of the coffee was. 5) a cup of coffee cools at rate proportional to the difference between the constant room temperature of 20.0°c and the temperature of the coffee. A cup of coffee cools at rate proportional to. A Cup Of Coffee Cools At A Rate Proportional.
From www.chegg.com
Solved A cup of coffee cools according to Newton's law of A Cup Of Coffee Cools At A Rate Proportional If the cooling rate is determined. A cup of coffee cools at rate proportional to the difference between the constant room temperature of 20.0 degree c and the temperature of the coffee. A freshly brewed cup of coffee has temperature 95 c in a 20 c room. 5) a cup of coffee cools at rate proportional to the difference between. A Cup Of Coffee Cools At A Rate Proportional.
From www.numerade.com
SOLVED Suppose you have just poured a cup of freshly brewed coffee with a temperature of 90°C A Cup Of Coffee Cools At A Rate Proportional When its temperature is 70 c, it is cooling at a rate of 1 c per minute. If the cooling rate is determined. A freshly brewed cup of coffee has temperature 95 c in a 20 c room. A cup of coffee cools at rate proportional to the difference between the constant room temperature of 20.0 degree c and the. A Cup Of Coffee Cools At A Rate Proportional.
From www.numerade.com
SOLVED '5) A cup of coffee cools at rate proportional to the difference between the constant A Cup Of Coffee Cools At A Rate Proportional If the temperature of the coffee was. 5) a cup of coffee cools at rate proportional to the difference between the constant room temperature of 20.0°c and the temperature of the coffee. A cup of coffee with temperatures 125 degree f is placed in a freezer with temperature 0 degree f. When its temperature is 70 c, it is cooling. A Cup Of Coffee Cools At A Rate Proportional.
From www.chegg.com
Solved Assume that the rate at which a cup of coffee cools A Cup Of Coffee Cools At A Rate Proportional If the cooling rate is determined. A cup of coffee cools at rate proportional to the difference between the constant room temperature of 20.0 degree c and the temperature of the coffee. A cup of coffee cools at a rate proportional to the difference between the constant room temperature of 20.0 degrees celsius and the. A cup of coffee with. A Cup Of Coffee Cools At A Rate Proportional.
From www.youtube.com
A cup of coffee cools from 90°C to 80°C in t minutes, when the room temperature is 20°C. YouTube A Cup Of Coffee Cools At A Rate Proportional If the temperature of the coffee was. When its temperature is 70 c, it is cooling at a rate of 1 c per minute. A cup of coffee cools at a rate proportional to the difference between the constant room temperature of 20.0 degrees celsius and the. A cup of coffee with temperatures 125 degree f is placed in a. A Cup Of Coffee Cools At A Rate Proportional.
From www.youtube.com
A cup of coffee cools from 90°C to 80°C in t minutes, when the room temperature is 20°C. The A Cup Of Coffee Cools At A Rate Proportional A freshly brewed cup of coffee has temperature 95 c in a 20 c room. If the cooling rate is determined. A cup of coffee cools at a rate proportional to the difference between the constant room temperature of 20.0 degrees celsius and the. 5) a cup of coffee cools at rate proportional to the difference between the constant room. A Cup Of Coffee Cools At A Rate Proportional.
From www.toppr.com
Hot coffee in a mug cools from 90° to 70°C in 4.8 minutes. The room temperature is 20°C A Cup Of Coffee Cools At A Rate Proportional If the temperature of the coffee was. If the cooling rate is determined. Newton's law of cooling states that the temperature of an object changes at a rate proportional to the difference between its. A cup of coffee cools at a rate proportional to the difference between the constant room temperature of 20.0 degrees celsius and the. A cup of. A Cup Of Coffee Cools At A Rate Proportional.
From www.chegg.com
Solved The differential equation below models the A Cup Of Coffee Cools At A Rate Proportional If the temperature of the coffee was. Newton's law of cooling states that the temperature of an object changes at a rate proportional to the difference between its. 5) a cup of coffee cools at rate proportional to the difference between the constant room temperature of 20.0°c and the temperature of the coffee. When its temperature is 70 c, it. A Cup Of Coffee Cools At A Rate Proportional.
From www.numerade.com
SOLVED point) Newton's Law of Cooling states that the rate of cooling of an object is A Cup Of Coffee Cools At A Rate Proportional A cup of coffee cools at a rate proportional to the difference between the constant room temperature of 20.0 degrees celsius and the. If the cooling rate is determined. To solve this problem, we can use the concept of exponential decay since the rate at which the coffee cools is proportional to the. A freshly brewed cup of coffee has. A Cup Of Coffee Cools At A Rate Proportional.