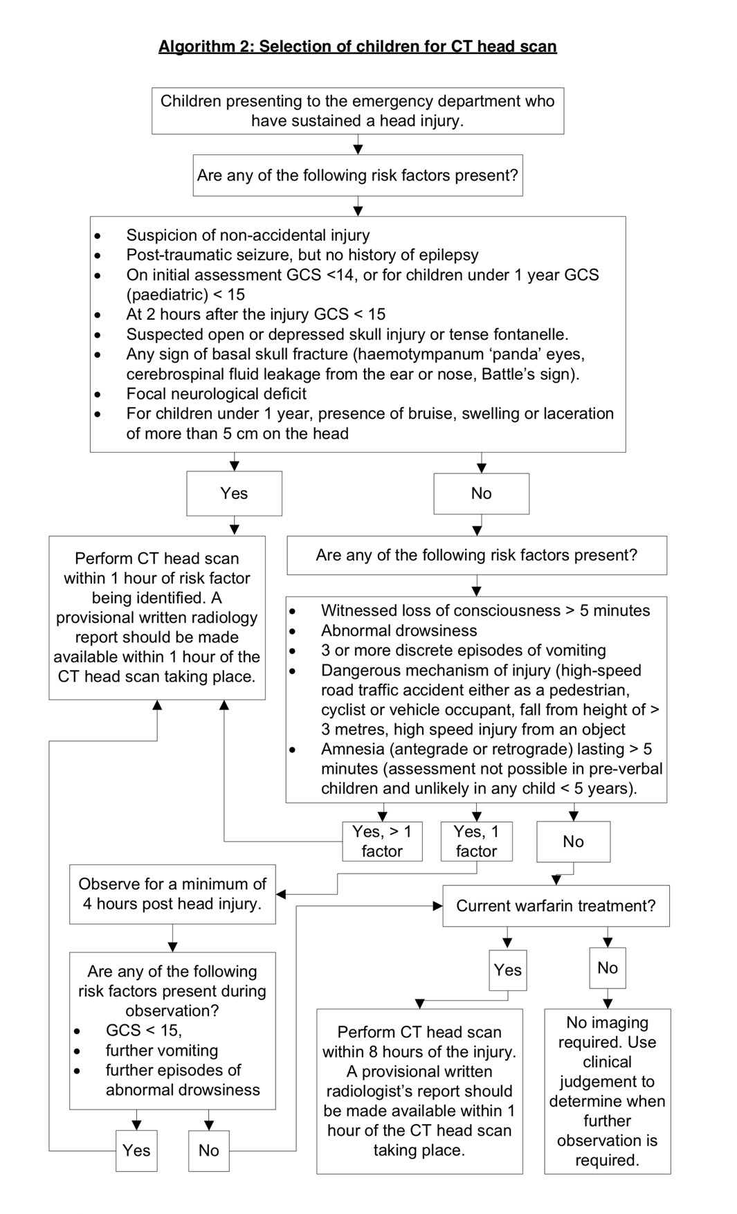
Nice Radiology Guidelines . Make a provisional written radiology report available within 1 hour. From technology appraisals to diagnostics, we produce lots of different types of guidance. This article should encourage others. Acr practice parameters and technical standards promote the safe and effective use of diagnostic and therapeutic. The methodology for guidelines and statements helps create impactful documents that highlight the quality of evidence used to derive. Do a ct head scan within 1 hour of any of the risk factors being identified. Find out more about how we develop our guidance. Diagnostic radiology plays a crucial role in the clinical assessment of patients with acute medical emergencies (ame); Practice parameters and technical standards.
from www.bmj.com
Practice parameters and technical standards. From technology appraisals to diagnostics, we produce lots of different types of guidance. Diagnostic radiology plays a crucial role in the clinical assessment of patients with acute medical emergencies (ame); Do a ct head scan within 1 hour of any of the risk factors being identified. The methodology for guidelines and statements helps create impactful documents that highlight the quality of evidence used to derive. Find out more about how we develop our guidance. This article should encourage others. Make a provisional written radiology report available within 1 hour. Acr practice parameters and technical standards promote the safe and effective use of diagnostic and therapeutic.
Early management of head injury summary of updated NICE guidance The BMJ
Nice Radiology Guidelines Diagnostic radiology plays a crucial role in the clinical assessment of patients with acute medical emergencies (ame); From technology appraisals to diagnostics, we produce lots of different types of guidance. Do a ct head scan within 1 hour of any of the risk factors being identified. The methodology for guidelines and statements helps create impactful documents that highlight the quality of evidence used to derive. Acr practice parameters and technical standards promote the safe and effective use of diagnostic and therapeutic. Practice parameters and technical standards. Make a provisional written radiology report available within 1 hour. Diagnostic radiology plays a crucial role in the clinical assessment of patients with acute medical emergencies (ame); This article should encourage others. Find out more about how we develop our guidance.
From www.tomwademd.net
This entry was posted in Imaging Guidelines From Radiax , Medical Imaging . Bookmark the permalink Nice Radiology Guidelines Acr practice parameters and technical standards promote the safe and effective use of diagnostic and therapeutic. This article should encourage others. Find out more about how we develop our guidance. From technology appraisals to diagnostics, we produce lots of different types of guidance. The methodology for guidelines and statements helps create impactful documents that highlight the quality of evidence used. Nice Radiology Guidelines.
From www.bmj.com
Early management of head injury summary of updated NICE guidance The BMJ Nice Radiology Guidelines Acr practice parameters and technical standards promote the safe and effective use of diagnostic and therapeutic. Do a ct head scan within 1 hour of any of the risk factors being identified. This article should encourage others. Make a provisional written radiology report available within 1 hour. Practice parameters and technical standards. Diagnostic radiology plays a crucial role in the. Nice Radiology Guidelines.
From www.tomwademd.net
HeadInjImaging3 Nice Radiology Guidelines Acr practice parameters and technical standards promote the safe and effective use of diagnostic and therapeutic. From technology appraisals to diagnostics, we produce lots of different types of guidance. Do a ct head scan within 1 hour of any of the risk factors being identified. Find out more about how we develop our guidance. Make a provisional written radiology report. Nice Radiology Guidelines.
From trauma.reach.vic.gov.au
Imaging in TraumaIndications for Imaging Trauma Victoria Nice Radiology Guidelines From technology appraisals to diagnostics, we produce lots of different types of guidance. Diagnostic radiology plays a crucial role in the clinical assessment of patients with acute medical emergencies (ame); The methodology for guidelines and statements helps create impactful documents that highlight the quality of evidence used to derive. Make a provisional written radiology report available within 1 hour. Practice. Nice Radiology Guidelines.
From www.bmj.com
Early management of head injury summary of updated NICE guidance The BMJ Nice Radiology Guidelines This article should encourage others. Find out more about how we develop our guidance. The methodology for guidelines and statements helps create impactful documents that highlight the quality of evidence used to derive. Make a provisional written radiology report available within 1 hour. Diagnostic radiology plays a crucial role in the clinical assessment of patients with acute medical emergencies (ame);. Nice Radiology Guidelines.
From www.bmj.com
Diagnosis and treatment of lung cancer summary of updated NICE guidance The BMJ Nice Radiology Guidelines This article should encourage others. Do a ct head scan within 1 hour of any of the risk factors being identified. Make a provisional written radiology report available within 1 hour. Find out more about how we develop our guidance. Practice parameters and technical standards. Acr practice parameters and technical standards promote the safe and effective use of diagnostic and. Nice Radiology Guidelines.
From depts.washington.edu
Gallbladder Polyp Guidelines SRU UW MEDICINE ULTRASOUND Nice Radiology Guidelines Do a ct head scan within 1 hour of any of the risk factors being identified. The methodology for guidelines and statements helps create impactful documents that highlight the quality of evidence used to derive. Find out more about how we develop our guidance. Acr practice parameters and technical standards promote the safe and effective use of diagnostic and therapeutic.. Nice Radiology Guidelines.
From www.tomwademd.net
HeadInjImaging2 Nice Radiology Guidelines Find out more about how we develop our guidance. Make a provisional written radiology report available within 1 hour. From technology appraisals to diagnostics, we produce lots of different types of guidance. Do a ct head scan within 1 hour of any of the risk factors being identified. Diagnostic radiology plays a crucial role in the clinical assessment of patients. Nice Radiology Guidelines.
From www.bmj.com
Head injury assessment and early management—summary of updated NICE guidance The BMJ Nice Radiology Guidelines Find out more about how we develop our guidance. Make a provisional written radiology report available within 1 hour. The methodology for guidelines and statements helps create impactful documents that highlight the quality of evidence used to derive. This article should encourage others. From technology appraisals to diagnostics, we produce lots of different types of guidance. Practice parameters and technical. Nice Radiology Guidelines.
From heart.bmj.com
National Institute for Health and Care Excellence updates the stable chest pain guideline with Nice Radiology Guidelines Acr practice parameters and technical standards promote the safe and effective use of diagnostic and therapeutic. Find out more about how we develop our guidance. Practice parameters and technical standards. Make a provisional written radiology report available within 1 hour. Do a ct head scan within 1 hour of any of the risk factors being identified. This article should encourage. Nice Radiology Guidelines.
From drcrunch.co.uk
NICE Guidelines for Cervical Spine Imaging 2014 Dr Crunch Blog Nice Radiology Guidelines Make a provisional written radiology report available within 1 hour. Do a ct head scan within 1 hour of any of the risk factors being identified. Find out more about how we develop our guidance. Practice parameters and technical standards. Diagnostic radiology plays a crucial role in the clinical assessment of patients with acute medical emergencies (ame); This article should. Nice Radiology Guidelines.
From pubs.rsna.org
Bronchiolitis A Practical Approach for the General Radiologist RadioGraphics Nice Radiology Guidelines Find out more about how we develop our guidance. Acr practice parameters and technical standards promote the safe and effective use of diagnostic and therapeutic. Make a provisional written radiology report available within 1 hour. Practice parameters and technical standards. This article should encourage others. Diagnostic radiology plays a crucial role in the clinical assessment of patients with acute medical. Nice Radiology Guidelines.
From radiologyassistant.nl
The Radiology Assistant BTS guideline for pulmonary nodules Nice Radiology Guidelines Diagnostic radiology plays a crucial role in the clinical assessment of patients with acute medical emergencies (ame); Practice parameters and technical standards. Make a provisional written radiology report available within 1 hour. Find out more about how we develop our guidance. This article should encourage others. Do a ct head scan within 1 hour of any of the risk factors. Nice Radiology Guidelines.
From www.wakerad.com
How To Determine A Breast Cancer Diagnosis Wake Radiology Nice Radiology Guidelines Do a ct head scan within 1 hour of any of the risk factors being identified. Diagnostic radiology plays a crucial role in the clinical assessment of patients with acute medical emergencies (ame); Find out more about how we develop our guidance. Acr practice parameters and technical standards promote the safe and effective use of diagnostic and therapeutic. This article. Nice Radiology Guidelines.
From stemlynsblog.org
Updated NICE Head Injury Guidelines Worth a Scan? Nice Radiology Guidelines This article should encourage others. The methodology for guidelines and statements helps create impactful documents that highlight the quality of evidence used to derive. Do a ct head scan within 1 hour of any of the risk factors being identified. From technology appraisals to diagnostics, we produce lots of different types of guidance. Diagnostic radiology plays a crucial role in. Nice Radiology Guidelines.
From www.medicinejournal.co.uk
Breast cancer Medicine Nice Radiology Guidelines Acr practice parameters and technical standards promote the safe and effective use of diagnostic and therapeutic. Practice parameters and technical standards. This article should encourage others. From technology appraisals to diagnostics, we produce lots of different types of guidance. Diagnostic radiology plays a crucial role in the clinical assessment of patients with acute medical emergencies (ame); Do a ct head. Nice Radiology Guidelines.
From adc.bmj.com
Selecting children for head CT following head injury Archives of Disease in Childhood Nice Radiology Guidelines Practice parameters and technical standards. Diagnostic radiology plays a crucial role in the clinical assessment of patients with acute medical emergencies (ame); The methodology for guidelines and statements helps create impactful documents that highlight the quality of evidence used to derive. Find out more about how we develop our guidance. Make a provisional written radiology report available within 1 hour.. Nice Radiology Guidelines.
From em3.org.uk
The Spectrum of Head Injuries — EM3 Nice Radiology Guidelines Diagnostic radiology plays a crucial role in the clinical assessment of patients with acute medical emergencies (ame); Acr practice parameters and technical standards promote the safe and effective use of diagnostic and therapeutic. Practice parameters and technical standards. From technology appraisals to diagnostics, we produce lots of different types of guidance. Make a provisional written radiology report available within 1. Nice Radiology Guidelines.
From www.aafp.org
Lung Cancer Screening Guidelines From the American College of Chest Physicians AAFP Nice Radiology Guidelines Do a ct head scan within 1 hour of any of the risk factors being identified. Find out more about how we develop our guidance. Diagnostic radiology plays a crucial role in the clinical assessment of patients with acute medical emergencies (ame); From technology appraisals to diagnostics, we produce lots of different types of guidance. This article should encourage others.. Nice Radiology Guidelines.
From www.scribd.com
Review of The NICE Guidelines For Multiple Myeloma G. Pratt, T.C. Morris PDF Multiple Nice Radiology Guidelines Find out more about how we develop our guidance. This article should encourage others. Do a ct head scan within 1 hour of any of the risk factors being identified. The methodology for guidelines and statements helps create impactful documents that highlight the quality of evidence used to derive. Acr practice parameters and technical standards promote the safe and effective. Nice Radiology Guidelines.
From em3.org.uk
The Spectrum of Head Injuries — EM3 East Midlands Emergency Medicine Educational Media Nice Radiology Guidelines The methodology for guidelines and statements helps create impactful documents that highlight the quality of evidence used to derive. This article should encourage others. Do a ct head scan within 1 hour of any of the risk factors being identified. From technology appraisals to diagnostics, we produce lots of different types of guidance. Diagnostic radiology plays a crucial role in. Nice Radiology Guidelines.
From www.ahajournals.org
2022 ACC/AHA Guideline for the Diagnosis and Management of Aortic Disease A Report of the Nice Radiology Guidelines Make a provisional written radiology report available within 1 hour. Acr practice parameters and technical standards promote the safe and effective use of diagnostic and therapeutic. Find out more about how we develop our guidance. Practice parameters and technical standards. Do a ct head scan within 1 hour of any of the risk factors being identified. The methodology for guidelines. Nice Radiology Guidelines.
From www.tomwademd.net
The following head injury imaging guideline is from the National Institute for Health and Care Nice Radiology Guidelines From technology appraisals to diagnostics, we produce lots of different types of guidance. The methodology for guidelines and statements helps create impactful documents that highlight the quality of evidence used to derive. Practice parameters and technical standards. Diagnostic radiology plays a crucial role in the clinical assessment of patients with acute medical emergencies (ame); Do a ct head scan within. Nice Radiology Guidelines.
From pubs.rsna.org
Simple Adnexal Cysts SRU Consensus Conference Update on Followup and Reporting Radiology Nice Radiology Guidelines The methodology for guidelines and statements helps create impactful documents that highlight the quality of evidence used to derive. Diagnostic radiology plays a crucial role in the clinical assessment of patients with acute medical emergencies (ame); Make a provisional written radiology report available within 1 hour. Do a ct head scan within 1 hour of any of the risk factors. Nice Radiology Guidelines.
From stemlynsblog.org
Updated NICE Head Injury Guidelines Worth a Scan? Nice Radiology Guidelines Do a ct head scan within 1 hour of any of the risk factors being identified. Find out more about how we develop our guidance. Make a provisional written radiology report available within 1 hour. From technology appraisals to diagnostics, we produce lots of different types of guidance. Diagnostic radiology plays a crucial role in the clinical assessment of patients. Nice Radiology Guidelines.
From www.tomwademd.net
The radiologists at Radia have developed the following scanning guidelines for our referring Nice Radiology Guidelines Do a ct head scan within 1 hour of any of the risk factors being identified. Diagnostic radiology plays a crucial role in the clinical assessment of patients with acute medical emergencies (ame); Make a provisional written radiology report available within 1 hour. This article should encourage others. The methodology for guidelines and statements helps create impactful documents that highlight. Nice Radiology Guidelines.
From www.drbicuspid.com
Patient selection criteria for radiographs Nice Radiology Guidelines This article should encourage others. Do a ct head scan within 1 hour of any of the risk factors being identified. The methodology for guidelines and statements helps create impactful documents that highlight the quality of evidence used to derive. Acr practice parameters and technical standards promote the safe and effective use of diagnostic and therapeutic. Make a provisional written. Nice Radiology Guidelines.
From emj.bmj.com
Head injuries a study evaluating the impact of the NICE head injury guidelines Emergency Nice Radiology Guidelines The methodology for guidelines and statements helps create impactful documents that highlight the quality of evidence used to derive. Practice parameters and technical standards. Diagnostic radiology plays a crucial role in the clinical assessment of patients with acute medical emergencies (ame); Find out more about how we develop our guidance. From technology appraisals to diagnostics, we produce lots of different. Nice Radiology Guidelines.
From dokumen.tips
(PDF) Recognition & Referral of Suspected Cancer NICE Guidelines...Recognition & Referral of Nice Radiology Guidelines The methodology for guidelines and statements helps create impactful documents that highlight the quality of evidence used to derive. Diagnostic radiology plays a crucial role in the clinical assessment of patients with acute medical emergencies (ame); This article should encourage others. Find out more about how we develop our guidance. Practice parameters and technical standards. Make a provisional written radiology. Nice Radiology Guidelines.
From www.tomwademd.net
HeadInjImaging4 Nice Radiology Guidelines Practice parameters and technical standards. Find out more about how we develop our guidance. Make a provisional written radiology report available within 1 hour. Diagnostic radiology plays a crucial role in the clinical assessment of patients with acute medical emergencies (ame); Acr practice parameters and technical standards promote the safe and effective use of diagnostic and therapeutic. This article should. Nice Radiology Guidelines.
From radiogyan.com
TIRADS ACR What a radiologist needs to know! RadioGyan Nice Radiology Guidelines Make a provisional written radiology report available within 1 hour. The methodology for guidelines and statements helps create impactful documents that highlight the quality of evidence used to derive. Do a ct head scan within 1 hour of any of the risk factors being identified. From technology appraisals to diagnostics, we produce lots of different types of guidance. Practice parameters. Nice Radiology Guidelines.
From www.researchgate.net
Selection criteria for adults for CT head scan according to National... Download Scientific Nice Radiology Guidelines The methodology for guidelines and statements helps create impactful documents that highlight the quality of evidence used to derive. Acr practice parameters and technical standards promote the safe and effective use of diagnostic and therapeutic. Find out more about how we develop our guidance. Practice parameters and technical standards. Make a provisional written radiology report available within 1 hour. From. Nice Radiology Guidelines.
From www.bmj.com
Early management of head injury summary of updated NICE guidance The BMJ Nice Radiology Guidelines The methodology for guidelines and statements helps create impactful documents that highlight the quality of evidence used to derive. Find out more about how we develop our guidance. Make a provisional written radiology report available within 1 hour. Practice parameters and technical standards. Diagnostic radiology plays a crucial role in the clinical assessment of patients with acute medical emergencies (ame);. Nice Radiology Guidelines.
From www.youtube.com
Head Injury Criteria for performing a CT Head Scan in Children (NICE Guidelines 176) YouTube Nice Radiology Guidelines Find out more about how we develop our guidance. Practice parameters and technical standards. Do a ct head scan within 1 hour of any of the risk factors being identified. From technology appraisals to diagnostics, we produce lots of different types of guidance. Make a provisional written radiology report available within 1 hour. This article should encourage others. Diagnostic radiology. Nice Radiology Guidelines.
From emj.bmj.com
Application of the Canadian CT head rules in managing minor head injuries in a UK emergency Nice Radiology Guidelines Acr practice parameters and technical standards promote the safe and effective use of diagnostic and therapeutic. Do a ct head scan within 1 hour of any of the risk factors being identified. From technology appraisals to diagnostics, we produce lots of different types of guidance. Diagnostic radiology plays a crucial role in the clinical assessment of patients with acute medical. Nice Radiology Guidelines.