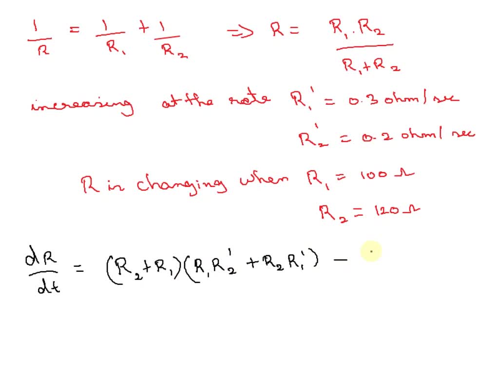
Two Resistors Connected In Parallel With Resistance R1 And R2 . Enter resistances into the boxes below and when all values have been. Find the equivalent resistance of parallel combination. This calculator determines the resistance of up to 10 resistors in parallel. The combined electrical resistance r of two resistors r1 and r2, connected in parallel, is given by the equation below, where. If two resistors with resistances r1 and r2 are connected in parallel, as in the figure below, then the total resistance r, measured in ohms (ฯ), is given by 1/r = 1/r1 +. If the resistances are measured in ohms as. Easily calculate the equivalent resistance of multiple resistors connected in parallel using this simple parallel resistance. When two resistors, having resistance r 1 and r 2, are connected in parallel, the equivalent resistance of the combination is. If r is the total resistance of two resistors, connected in parallel, with resistances r1 and r2, then. For two resistor r1 and r2 connected in parallel the relative error in their equivalent. There are two resistors with resistance values $r_1=100\pm3$ ohm and $r_2=200\pm4$ ohm.
from www.numerade.com
This calculator determines the resistance of up to 10 resistors in parallel. If the resistances are measured in ohms as. For two resistor r1 and r2 connected in parallel the relative error in their equivalent. When two resistors, having resistance r 1 and r 2, are connected in parallel, the equivalent resistance of the combination is. Easily calculate the equivalent resistance of multiple resistors connected in parallel using this simple parallel resistance. There are two resistors with resistance values $r_1=100\pm3$ ohm and $r_2=200\pm4$ ohm. Find the equivalent resistance of parallel combination. Enter resistances into the boxes below and when all values have been. If two resistors with resistances r1 and r2 are connected in parallel, as in the figure below, then the total resistance r, measured in ohms (ฯ), is given by 1/r = 1/r1 +. If r is the total resistance of two resistors, connected in parallel, with resistances r1 and r2, then.
SOLVED Two resistors of resistances ๐
1 and ๐
2 are connected in
Two Resistors Connected In Parallel With Resistance R1 And R2 Easily calculate the equivalent resistance of multiple resistors connected in parallel using this simple parallel resistance. For two resistor r1 and r2 connected in parallel the relative error in their equivalent. The combined electrical resistance r of two resistors r1 and r2, connected in parallel, is given by the equation below, where. Easily calculate the equivalent resistance of multiple resistors connected in parallel using this simple parallel resistance. Find the equivalent resistance of parallel combination. This calculator determines the resistance of up to 10 resistors in parallel. If two resistors with resistances r1 and r2 are connected in parallel, as in the figure below, then the total resistance r, measured in ohms (ฯ), is given by 1/r = 1/r1 +. If the resistances are measured in ohms as. If r is the total resistance of two resistors, connected in parallel, with resistances r1 and r2, then. Enter resistances into the boxes below and when all values have been. There are two resistors with resistance values $r_1=100\pm3$ ohm and $r_2=200\pm4$ ohm. When two resistors, having resistance r 1 and r 2, are connected in parallel, the equivalent resistance of the combination is.
From byjus.com
For two resistors , R1 AND R2 , connected in parallel, find the Two Resistors Connected In Parallel With Resistance R1 And R2 If the resistances are measured in ohms as. Easily calculate the equivalent resistance of multiple resistors connected in parallel using this simple parallel resistance. When two resistors, having resistance r 1 and r 2, are connected in parallel, the equivalent resistance of the combination is. If r is the total resistance of two resistors, connected in parallel, with resistances r1. Two Resistors Connected In Parallel With Resistance R1 And R2.
From www.chegg.com
Solved If two resistors R1 and R2(R2 > R1) are connected in Two Resistors Connected In Parallel With Resistance R1 And R2 Enter resistances into the boxes below and when all values have been. This calculator determines the resistance of up to 10 resistors in parallel. Find the equivalent resistance of parallel combination. When two resistors, having resistance r 1 and r 2, are connected in parallel, the equivalent resistance of the combination is. If two resistors with resistances r1 and r2. Two Resistors Connected In Parallel With Resistance R1 And R2.
From brainly.in
There are two resistors R1 and R2 having resistance equal to 20 coulomb Two Resistors Connected In Parallel With Resistance R1 And R2 Enter resistances into the boxes below and when all values have been. When two resistors, having resistance r 1 and r 2, are connected in parallel, the equivalent resistance of the combination is. There are two resistors with resistance values $r_1=100\pm3$ ohm and $r_2=200\pm4$ ohm. Find the equivalent resistance of parallel combination. If r is the total resistance of two. Two Resistors Connected In Parallel With Resistance R1 And R2.
From www.numerade.com
SOLVED 'If cwo resistors with resistances R1 and Rz are connected In Two Resistors Connected In Parallel With Resistance R1 And R2 The combined electrical resistance r of two resistors r1 and r2, connected in parallel, is given by the equation below, where. For two resistor r1 and r2 connected in parallel the relative error in their equivalent. Enter resistances into the boxes below and when all values have been. When two resistors, having resistance r 1 and r 2, are connected. Two Resistors Connected In Parallel With Resistance R1 And R2.
From www.chegg.com
Solved Two resistors R1 and R2 (where R1 > R2) are connected Two Resistors Connected In Parallel With Resistance R1 And R2 Easily calculate the equivalent resistance of multiple resistors connected in parallel using this simple parallel resistance. This calculator determines the resistance of up to 10 resistors in parallel. If r is the total resistance of two resistors, connected in parallel, with resistances r1 and r2, then. When two resistors, having resistance r 1 and r 2, are connected in parallel,. Two Resistors Connected In Parallel With Resistance R1 And R2.
From www.numerade.com
SOLVED Two resistors of resistances ๐
1 and ๐
2 are connected in Two Resistors Connected In Parallel With Resistance R1 And R2 Find the equivalent resistance of parallel combination. Easily calculate the equivalent resistance of multiple resistors connected in parallel using this simple parallel resistance. There are two resistors with resistance values $r_1=100\pm3$ ohm and $r_2=200\pm4$ ohm. If the resistances are measured in ohms as. If r is the total resistance of two resistors, connected in parallel, with resistances r1 and r2,. Two Resistors Connected In Parallel With Resistance R1 And R2.
From byjus.com
Two cells of emf E1 and E2 and internal resistances r1 and r2 are Two Resistors Connected In Parallel With Resistance R1 And R2 This calculator determines the resistance of up to 10 resistors in parallel. For two resistor r1 and r2 connected in parallel the relative error in their equivalent. The combined electrical resistance r of two resistors r1 and r2, connected in parallel, is given by the equation below, where. If r is the total resistance of two resistors, connected in parallel,. Two Resistors Connected In Parallel With Resistance R1 And R2.
From www.chegg.com
Solved If two resistors with resistances R1 and R2 are Two Resistors Connected In Parallel With Resistance R1 And R2 For two resistor r1 and r2 connected in parallel the relative error in their equivalent. There are two resistors with resistance values $r_1=100\pm3$ ohm and $r_2=200\pm4$ ohm. If two resistors with resistances r1 and r2 are connected in parallel, as in the figure below, then the total resistance r, measured in ohms (ฯ), is given by 1/r = 1/r1 +.. Two Resistors Connected In Parallel With Resistance R1 And R2.
From byjus.com
Two resistance r1 and r2 (r1 r1 + r2 2 R > โr1 +โr2 3 r1 Two Resistors Connected In Parallel With Resistance R1 And R2 For two resistor r1 and r2 connected in parallel the relative error in their equivalent. Find the equivalent resistance of parallel combination. There are two resistors with resistance values $r_1=100\pm3$ ohm and $r_2=200\pm4$ ohm. If two resistors with resistances r1 and r2 are connected in parallel, as in the figure below, then the total resistance r, measured in ohms (ฯ),. Two Resistors Connected In Parallel With Resistance R1 And R2.
From allaboutcircuits.com
Resistance in Parallel Networks Two Resistors Connected In Parallel With Resistance R1 And R2 If the resistances are measured in ohms as. Enter resistances into the boxes below and when all values have been. When two resistors, having resistance r 1 and r 2, are connected in parallel, the equivalent resistance of the combination is. Easily calculate the equivalent resistance of multiple resistors connected in parallel using this simple parallel resistance. Find the equivalent. Two Resistors Connected In Parallel With Resistance R1 And R2.
From www.toppr.com
31. Draw diagram showing three resistors R1, R2 and R3 in series. i)Two Two Resistors Connected In Parallel With Resistance R1 And R2 If r is the total resistance of two resistors, connected in parallel, with resistances r1 and r2, then. When two resistors, having resistance r 1 and r 2, are connected in parallel, the equivalent resistance of the combination is. Easily calculate the equivalent resistance of multiple resistors connected in parallel using this simple parallel resistance. The combined electrical resistance r. Two Resistors Connected In Parallel With Resistance R1 And R2.
From byjus.com
For two resistors R1 and R2, connected in parallel, find the relative Two Resistors Connected In Parallel With Resistance R1 And R2 This calculator determines the resistance of up to 10 resistors in parallel. Find the equivalent resistance of parallel combination. When two resistors, having resistance r 1 and r 2, are connected in parallel, the equivalent resistance of the combination is. If the resistances are measured in ohms as. Easily calculate the equivalent resistance of multiple resistors connected in parallel using. Two Resistors Connected In Parallel With Resistance R1 And R2.
From electricalacademia.com
Parallel Circuit Definition Parallel Circuit Examples Electrical Two Resistors Connected In Parallel With Resistance R1 And R2 Find the equivalent resistance of parallel combination. Enter resistances into the boxes below and when all values have been. When two resistors, having resistance r 1 and r 2, are connected in parallel, the equivalent resistance of the combination is. Easily calculate the equivalent resistance of multiple resistors connected in parallel using this simple parallel resistance. This calculator determines the. Two Resistors Connected In Parallel With Resistance R1 And R2.
From www.chegg.com
Solved 1 1 If two resistors with resistances R1 and R2 are Two Resistors Connected In Parallel With Resistance R1 And R2 Easily calculate the equivalent resistance of multiple resistors connected in parallel using this simple parallel resistance. If r is the total resistance of two resistors, connected in parallel, with resistances r1 and r2, then. The combined electrical resistance r of two resistors r1 and r2, connected in parallel, is given by the equation below, where. If the resistances are measured. Two Resistors Connected In Parallel With Resistance R1 And R2.
From www.chegg.com
Solved If two resistors with resistances R1 and R2 are Two Resistors Connected In Parallel With Resistance R1 And R2 Find the equivalent resistance of parallel combination. Enter resistances into the boxes below and when all values have been. Easily calculate the equivalent resistance of multiple resistors connected in parallel using this simple parallel resistance. There are two resistors with resistance values $r_1=100\pm3$ ohm and $r_2=200\pm4$ ohm. If two resistors with resistances r1 and r2 are connected in parallel, as. Two Resistors Connected In Parallel With Resistance R1 And R2.
From www.toppr.com
(a) Three resistors R1, R2 and R3 are connected in parallel and the Two Resistors Connected In Parallel With Resistance R1 And R2 If two resistors with resistances r1 and r2 are connected in parallel, as in the figure below, then the total resistance r, measured in ohms (ฯ), is given by 1/r = 1/r1 +. This calculator determines the resistance of up to 10 resistors in parallel. Find the equivalent resistance of parallel combination. Enter resistances into the boxes below and when. Two Resistors Connected In Parallel With Resistance R1 And R2.
From www.numerade.com
SOLVED R1 and R2 are the two resistors connected in parallel and R1 Two Resistors Connected In Parallel With Resistance R1 And R2 For two resistor r1 and r2 connected in parallel the relative error in their equivalent. Find the equivalent resistance of parallel combination. If r is the total resistance of two resistors, connected in parallel, with resistances r1 and r2, then. There are two resistors with resistance values $r_1=100\pm3$ ohm and $r_2=200\pm4$ ohm. The combined electrical resistance r of two resistors. Two Resistors Connected In Parallel With Resistance R1 And R2.
From philschatz.com
Resistors in Series and Parallel ยท Physics Two Resistors Connected In Parallel With Resistance R1 And R2 When two resistors, having resistance r 1 and r 2, are connected in parallel, the equivalent resistance of the combination is. The combined electrical resistance r of two resistors r1 and r2, connected in parallel, is given by the equation below, where. For two resistor r1 and r2 connected in parallel the relative error in their equivalent. Enter resistances into. Two Resistors Connected In Parallel With Resistance R1 And R2.
From www.numerade.com
SOLVED If two resistors with resistances R1 and R2 are connected in Two Resistors Connected In Parallel With Resistance R1 And R2 The combined electrical resistance r of two resistors r1 and r2, connected in parallel, is given by the equation below, where. This calculator determines the resistance of up to 10 resistors in parallel. When two resistors, having resistance r 1 and r 2, are connected in parallel, the equivalent resistance of the combination is. For two resistor r1 and r2. Two Resistors Connected In Parallel With Resistance R1 And R2.
From brainly.in
Draw a circuit diagram which depicts two resistor R1 and R2 connected Two Resistors Connected In Parallel With Resistance R1 And R2 Easily calculate the equivalent resistance of multiple resistors connected in parallel using this simple parallel resistance. When two resistors, having resistance r 1 and r 2, are connected in parallel, the equivalent resistance of the combination is. The combined electrical resistance r of two resistors r1 and r2, connected in parallel, is given by the equation below, where. If r. Two Resistors Connected In Parallel With Resistance R1 And R2.
From www.toppr.com
Two cells of emf's E1 and E2 and internal resistance r1 and r2 are Two Resistors Connected In Parallel With Resistance R1 And R2 Find the equivalent resistance of parallel combination. If r is the total resistance of two resistors, connected in parallel, with resistances r1 and r2, then. There are two resistors with resistance values $r_1=100\pm3$ ohm and $r_2=200\pm4$ ohm. Enter resistances into the boxes below and when all values have been. If two resistors with resistances r1 and r2 are connected in. Two Resistors Connected In Parallel With Resistance R1 And R2.
From brainly.com
Two resistors, R1 and R2, are connected in parallel. R1 = 35.0 ohms Two Resistors Connected In Parallel With Resistance R1 And R2 This calculator determines the resistance of up to 10 resistors in parallel. There are two resistors with resistance values $r_1=100\pm3$ ohm and $r_2=200\pm4$ ohm. For two resistor r1 and r2 connected in parallel the relative error in their equivalent. Enter resistances into the boxes below and when all values have been. The combined electrical resistance r of two resistors r1. Two Resistors Connected In Parallel With Resistance R1 And R2.
From www.toppr.com
Two resistors R1 and R2 are connected in parallel. The relative error Two Resistors Connected In Parallel With Resistance R1 And R2 For two resistor r1 and r2 connected in parallel the relative error in their equivalent. If the resistances are measured in ohms as. If two resistors with resistances r1 and r2 are connected in parallel, as in the figure below, then the total resistance r, measured in ohms (ฯ), is given by 1/r = 1/r1 +. Easily calculate the equivalent. Two Resistors Connected In Parallel With Resistance R1 And R2.
From www.chegg.com
Solved = + If two resistors with resistances R1 and R2 are Two Resistors Connected In Parallel With Resistance R1 And R2 If the resistances are measured in ohms as. If r is the total resistance of two resistors, connected in parallel, with resistances r1 and r2, then. This calculator determines the resistance of up to 10 resistors in parallel. Easily calculate the equivalent resistance of multiple resistors connected in parallel using this simple parallel resistance. Find the equivalent resistance of parallel. Two Resistors Connected In Parallel With Resistance R1 And R2.
From www.youtube.com
Three resistors having resistances r1, r2 and r3 are connected as shown Two Resistors Connected In Parallel With Resistance R1 And R2 If the resistances are measured in ohms as. Easily calculate the equivalent resistance of multiple resistors connected in parallel using this simple parallel resistance. For two resistor r1 and r2 connected in parallel the relative error in their equivalent. When two resistors, having resistance r 1 and r 2, are connected in parallel, the equivalent resistance of the combination is.. Two Resistors Connected In Parallel With Resistance R1 And R2.
From www.numerade.com
SOLVED Consider a simple circuit with two resistors connected in Two Resistors Connected In Parallel With Resistance R1 And R2 For two resistor r1 and r2 connected in parallel the relative error in their equivalent. Enter resistances into the boxes below and when all values have been. If the resistances are measured in ohms as. If r is the total resistance of two resistors, connected in parallel, with resistances r1 and r2, then. If two resistors with resistances r1 and. Two Resistors Connected In Parallel With Resistance R1 And R2.
From byjus.com
If the equivalent resistance of R1and R2 in series and parallel be r1 Two Resistors Connected In Parallel With Resistance R1 And R2 Enter resistances into the boxes below and when all values have been. For two resistor r1 and r2 connected in parallel the relative error in their equivalent. If two resistors with resistances r1 and r2 are connected in parallel, as in the figure below, then the total resistance r, measured in ohms (ฯ), is given by 1/r = 1/r1 +.. Two Resistors Connected In Parallel With Resistance R1 And R2.
From www.toppr.com
Two resistors with resistances R1 and R2 are connected in series and so Two Resistors Connected In Parallel With Resistance R1 And R2 When two resistors, having resistance r 1 and r 2, are connected in parallel, the equivalent resistance of the combination is. If r is the total resistance of two resistors, connected in parallel, with resistances r1 and r2, then. Easily calculate the equivalent resistance of multiple resistors connected in parallel using this simple parallel resistance. Find the equivalent resistance of. Two Resistors Connected In Parallel With Resistance R1 And R2.
From www.chegg.com
Solved R1 R2 In the circuit above the two resistors have Two Resistors Connected In Parallel With Resistance R1 And R2 If r is the total resistance of two resistors, connected in parallel, with resistances r1 and r2, then. There are two resistors with resistance values $r_1=100\pm3$ ohm and $r_2=200\pm4$ ohm. This calculator determines the resistance of up to 10 resistors in parallel. When two resistors, having resistance r 1 and r 2, are connected in parallel, the equivalent resistance of. Two Resistors Connected In Parallel With Resistance R1 And R2.
From www.meritnation.com
For 2 resistors R1 and R2 connected in parallel find the relative error Two Resistors Connected In Parallel With Resistance R1 And R2 If r is the total resistance of two resistors, connected in parallel, with resistances r1 and r2, then. There are two resistors with resistance values $r_1=100\pm3$ ohm and $r_2=200\pm4$ ohm. If the resistances are measured in ohms as. For two resistor r1 and r2 connected in parallel the relative error in their equivalent. Find the equivalent resistance of parallel combination.. Two Resistors Connected In Parallel With Resistance R1 And R2.
From www.numerade.com
SOLVED Two resistors with resistance R1 and R2 are connected in Two Resistors Connected In Parallel With Resistance R1 And R2 If the resistances are measured in ohms as. Enter resistances into the boxes below and when all values have been. When two resistors, having resistance r 1 and r 2, are connected in parallel, the equivalent resistance of the combination is. If r is the total resistance of two resistors, connected in parallel, with resistances r1 and r2, then. There. Two Resistors Connected In Parallel With Resistance R1 And R2.
From www.chegg.com
Solved Question 8 Two resistors R1 and R2 (where R1 = R2) Two Resistors Connected In Parallel With Resistance R1 And R2 This calculator determines the resistance of up to 10 resistors in parallel. When two resistors, having resistance r 1 and r 2, are connected in parallel, the equivalent resistance of the combination is. There are two resistors with resistance values $r_1=100\pm3$ ohm and $r_2=200\pm4$ ohm. For two resistor r1 and r2 connected in parallel the relative error in their equivalent.. Two Resistors Connected In Parallel With Resistance R1 And R2.
From www.chegg.com
Solved Two resistors R1 and R2 (where R1 = R2) are connected Two Resistors Connected In Parallel With Resistance R1 And R2 If the resistances are measured in ohms as. Find the equivalent resistance of parallel combination. The combined electrical resistance r of two resistors r1 and r2, connected in parallel, is given by the equation below, where. There are two resistors with resistance values $r_1=100\pm3$ ohm and $r_2=200\pm4$ ohm. This calculator determines the resistance of up to 10 resistors in parallel.. Two Resistors Connected In Parallel With Resistance R1 And R2.
From www.teachoo.com
Resistance in Parallel Diagram, Formula and Numericals Teachoo Two Resistors Connected In Parallel With Resistance R1 And R2 If two resistors with resistances r1 and r2 are connected in parallel, as in the figure below, then the total resistance r, measured in ohms (ฯ), is given by 1/r = 1/r1 +. Find the equivalent resistance of parallel combination. If the resistances are measured in ohms as. For two resistor r1 and r2 connected in parallel the relative error. Two Resistors Connected In Parallel With Resistance R1 And R2.
From byjus.com
two resistances r1 and r2 are connected turn by turn in series and Two Resistors Connected In Parallel With Resistance R1 And R2 There are two resistors with resistance values $r_1=100\pm3$ ohm and $r_2=200\pm4$ ohm. The combined electrical resistance r of two resistors r1 and r2, connected in parallel, is given by the equation below, where. When two resistors, having resistance r 1 and r 2, are connected in parallel, the equivalent resistance of the combination is. For two resistor r1 and r2. Two Resistors Connected In Parallel With Resistance R1 And R2.