Active Ingredients Of Claritin . Active ingredient (in each tablet) loratadine 10 mg. active ingredient (in each tablet) loratadine 10 mg. As with all antihistamines, claritin works by blocking the. active ingredient (in each tablet) loratadine 10 mg. Indications and usage for loratadine tablet. Temporarily relieves these symptoms due to hay fever or other upper respiratory. loratadine usp, 10 mg. Temporarily relieves these symptoms due to hay fever or other upper. Indications and usage for claritin. This medication is an antihistamine that treats symptoms such as itching, runny nose, watery eyes, and sneezing from hay fever. active ingredient (in each tablet) loratadine, usp 10 mg. Temporarily relieves these symptoms due to.
from www.walmart.com
Temporarily relieves these symptoms due to hay fever or other upper respiratory. Temporarily relieves these symptoms due to hay fever or other upper. Temporarily relieves these symptoms due to. loratadine usp, 10 mg. active ingredient (in each tablet) loratadine 10 mg. As with all antihistamines, claritin works by blocking the. Active ingredient (in each tablet) loratadine 10 mg. This medication is an antihistamine that treats symptoms such as itching, runny nose, watery eyes, and sneezing from hay fever. Indications and usage for claritin. active ingredient (in each tablet) loratadine, usp 10 mg.
Children's Loratadine 24 Hour NonDrowsy Allergy Chewable Tablet, 5Mg
Active Ingredients Of Claritin Temporarily relieves these symptoms due to hay fever or other upper respiratory. active ingredient (in each tablet) loratadine 10 mg. loratadine usp, 10 mg. Temporarily relieves these symptoms due to hay fever or other upper respiratory. active ingredient (in each tablet) loratadine, usp 10 mg. active ingredient (in each tablet) loratadine 10 mg. Indications and usage for loratadine tablet. Indications and usage for claritin. As with all antihistamines, claritin works by blocking the. Temporarily relieves these symptoms due to. Temporarily relieves these symptoms due to hay fever or other upper. Active ingredient (in each tablet) loratadine 10 mg. This medication is an antihistamine that treats symptoms such as itching, runny nose, watery eyes, and sneezing from hay fever.
From www.drugs.com
ClaritinD 24 Hour (tablet, extended release) Bayer HealthCare LLC. Active Ingredients Of Claritin Temporarily relieves these symptoms due to. loratadine usp, 10 mg. active ingredient (in each tablet) loratadine 10 mg. As with all antihistamines, claritin works by blocking the. Temporarily relieves these symptoms due to hay fever or other upper. Temporarily relieves these symptoms due to hay fever or other upper respiratory. active ingredient (in each tablet) loratadine 10. Active Ingredients Of Claritin.
From www.healthclues.net
Claritin D A Detailed Info on Medication for Stuffy Nose Active Ingredients Of Claritin active ingredient (in each tablet) loratadine 10 mg. Temporarily relieves these symptoms due to hay fever or other upper respiratory. Indications and usage for loratadine tablet. As with all antihistamines, claritin works by blocking the. Active ingredient (in each tablet) loratadine 10 mg. Indications and usage for claritin. loratadine usp, 10 mg. This medication is an antihistamine that. Active Ingredients Of Claritin.
From store.optum.com
Claritin 24 Hour Allergy Tablets Optum Store Optum Store Active Ingredients Of Claritin Temporarily relieves these symptoms due to hay fever or other upper respiratory. Temporarily relieves these symptoms due to. Indications and usage for claritin. active ingredient (in each tablet) loratadine, usp 10 mg. loratadine usp, 10 mg. active ingredient (in each tablet) loratadine 10 mg. Indications and usage for loratadine tablet. This medication is an antihistamine that treats. Active Ingredients Of Claritin.
From animalia-life.club
Claritin D Ingredients Active Ingredients Of Claritin active ingredient (in each tablet) loratadine 10 mg. As with all antihistamines, claritin works by blocking the. Indications and usage for claritin. active ingredient (in each tablet) loratadine, usp 10 mg. Temporarily relieves these symptoms due to hay fever or other upper. Temporarily relieves these symptoms due to hay fever or other upper respiratory. This medication is an. Active Ingredients Of Claritin.
From www.numerade.com
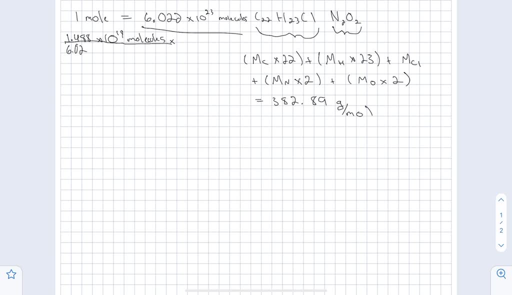
SOLVEDssm The active ingredient in the allergy medication Claritin Active Ingredients Of Claritin loratadine usp, 10 mg. Indications and usage for loratadine tablet. active ingredient (in each tablet) loratadine 10 mg. Active ingredient (in each tablet) loratadine 10 mg. As with all antihistamines, claritin works by blocking the. active ingredient (in each tablet) loratadine, usp 10 mg. active ingredient (in each tablet) loratadine 10 mg. Temporarily relieves these symptoms. Active Ingredients Of Claritin.
From www.walmart.com
Claritin 24Hour NonDrowsy Allergy Antihistamine RediTabs, Loratadine Active Ingredients Of Claritin Indications and usage for loratadine tablet. active ingredient (in each tablet) loratadine 10 mg. As with all antihistamines, claritin works by blocking the. Temporarily relieves these symptoms due to hay fever or other upper. active ingredient (in each tablet) loratadine 10 mg. Active ingredient (in each tablet) loratadine 10 mg. loratadine usp, 10 mg. Indications and usage. Active Ingredients Of Claritin.
From dailymed.nlm.nih.gov
DailyMed CLARITIN loratadine tablet, chewable Active Ingredients Of Claritin active ingredient (in each tablet) loratadine 10 mg. Indications and usage for loratadine tablet. Temporarily relieves these symptoms due to hay fever or other upper. As with all antihistamines, claritin works by blocking the. loratadine usp, 10 mg. active ingredient (in each tablet) loratadine, usp 10 mg. Active ingredient (in each tablet) loratadine 10 mg. active. Active Ingredients Of Claritin.
From healthjade.net
Claritin Uses, Active Ingredient, Dosage & Side Effects Active Ingredients Of Claritin active ingredient (in each tablet) loratadine 10 mg. Indications and usage for claritin. Temporarily relieves these symptoms due to. loratadine usp, 10 mg. Indications and usage for loratadine tablet. active ingredient (in each tablet) loratadine 10 mg. Temporarily relieves these symptoms due to hay fever or other upper respiratory. Temporarily relieves these symptoms due to hay fever. Active Ingredients Of Claritin.
From www.walmart.com
Children's Loratadine 24 Hour NonDrowsy Allergy Chewable Tablet, 5Mg Active Ingredients Of Claritin loratadine usp, 10 mg. This medication is an antihistamine that treats symptoms such as itching, runny nose, watery eyes, and sneezing from hay fever. active ingredient (in each tablet) loratadine, usp 10 mg. active ingredient (in each tablet) loratadine 10 mg. active ingredient (in each tablet) loratadine 10 mg. As with all antihistamines, claritin works by. Active Ingredients Of Claritin.
From dailymed.nlm.nih.gov
Claritin ® LiquiGels Active Ingredients Of Claritin Active ingredient (in each tablet) loratadine 10 mg. Temporarily relieves these symptoms due to hay fever or other upper respiratory. Temporarily relieves these symptoms due to. active ingredient (in each tablet) loratadine 10 mg. active ingredient (in each tablet) loratadine 10 mg. As with all antihistamines, claritin works by blocking the. Indications and usage for loratadine tablet. Indications. Active Ingredients Of Claritin.
From www.pinterest.com.au
Claritin 24 Hour NonDrowsy Allergy Relief Tablets Loratadine 30 tbs Active Ingredients Of Claritin As with all antihistamines, claritin works by blocking the. Indications and usage for claritin. Temporarily relieves these symptoms due to. This medication is an antihistamine that treats symptoms such as itching, runny nose, watery eyes, and sneezing from hay fever. active ingredient (in each tablet) loratadine 10 mg. Temporarily relieves these symptoms due to hay fever or other upper. Active Ingredients Of Claritin.
From www.drugs.com
Claritin LiquiGels (capsule, liquid filled) Bayer HealthCare LLC. Active Ingredients Of Claritin active ingredient (in each tablet) loratadine, usp 10 mg. This medication is an antihistamine that treats symptoms such as itching, runny nose, watery eyes, and sneezing from hay fever. Temporarily relieves these symptoms due to. Indications and usage for claritin. loratadine usp, 10 mg. As with all antihistamines, claritin works by blocking the. active ingredient (in each. Active Ingredients Of Claritin.
From animalia-life.club
Claritin D Ingredients Active Ingredients Of Claritin active ingredient (in each tablet) loratadine 10 mg. Temporarily relieves these symptoms due to hay fever or other upper. loratadine usp, 10 mg. Temporarily relieves these symptoms due to. Indications and usage for loratadine tablet. This medication is an antihistamine that treats symptoms such as itching, runny nose, watery eyes, and sneezing from hay fever. Active ingredient (in. Active Ingredients Of Claritin.
From drugs.com
ClaritinD 24 Hour (MSD Consumer Care, Inc.) Loratadine 10mg Active Ingredients Of Claritin This medication is an antihistamine that treats symptoms such as itching, runny nose, watery eyes, and sneezing from hay fever. Temporarily relieves these symptoms due to hay fever or other upper. Temporarily relieves these symptoms due to. loratadine usp, 10 mg. active ingredient (in each tablet) loratadine 10 mg. Active ingredient (in each tablet) loratadine 10 mg. Temporarily. Active Ingredients Of Claritin.
From www.pinterest.com
Kirkland Signature NonDrowsy AllerClear Antihistamine 10mg., 365 Active Ingredients Of Claritin Indications and usage for claritin. Temporarily relieves these symptoms due to hay fever or other upper respiratory. As with all antihistamines, claritin works by blocking the. active ingredient (in each tablet) loratadine, usp 10 mg. Active ingredient (in each tablet) loratadine 10 mg. active ingredient (in each tablet) loratadine 10 mg. loratadine usp, 10 mg. Temporarily relieves. Active Ingredients Of Claritin.
From www.pinterest.com
Children's Claritin 24 Hour Allergy Relief Chewable Tablets Bubble Active Ingredients Of Claritin Indications and usage for claritin. active ingredient (in each tablet) loratadine 10 mg. As with all antihistamines, claritin works by blocking the. This medication is an antihistamine that treats symptoms such as itching, runny nose, watery eyes, and sneezing from hay fever. loratadine usp, 10 mg. active ingredient (in each tablet) loratadine 10 mg. Temporarily relieves these. Active Ingredients Of Claritin.
From www.welldeservedhealth.com
Claritin Allergy 24 Hour RediTabs, 30 Count Active Ingredients Of Claritin loratadine usp, 10 mg. Temporarily relieves these symptoms due to hay fever or other upper. This medication is an antihistamine that treats symptoms such as itching, runny nose, watery eyes, and sneezing from hay fever. active ingredient (in each tablet) loratadine, usp 10 mg. Temporarily relieves these symptoms due to. Temporarily relieves these symptoms due to hay fever. Active Ingredients Of Claritin.
From www.drugs.com
ALLERGY RELIEFD (tablet, film coated, extended release) CVS Pharmacy Active Ingredients Of Claritin Indications and usage for claritin. Temporarily relieves these symptoms due to hay fever or other upper respiratory. As with all antihistamines, claritin works by blocking the. Indications and usage for loratadine tablet. active ingredient (in each tablet) loratadine 10 mg. active ingredient (in each tablet) loratadine 10 mg. Temporarily relieves these symptoms due to hay fever or other. Active Ingredients Of Claritin.
From www.numerade.com
SOLVED The active ingredient in the allergy medication Claritin Active Ingredients Of Claritin This medication is an antihistamine that treats symptoms such as itching, runny nose, watery eyes, and sneezing from hay fever. Temporarily relieves these symptoms due to hay fever or other upper respiratory. active ingredient (in each tablet) loratadine, usp 10 mg. As with all antihistamines, claritin works by blocking the. Indications and usage for loratadine tablet. active ingredient. Active Ingredients Of Claritin.
From www.desertcart.ae
Children's Claritin 24 Hour NonDrowsy Allergy Grape Chewable Tablet, 5 Active Ingredients Of Claritin Temporarily relieves these symptoms due to hay fever or other upper. Temporarily relieves these symptoms due to. This medication is an antihistamine that treats symptoms such as itching, runny nose, watery eyes, and sneezing from hay fever. active ingredient (in each tablet) loratadine 10 mg. active ingredient (in each tablet) loratadine 10 mg. Temporarily relieves these symptoms due. Active Ingredients Of Claritin.
From www.drugs.com
Claritin LiquiGels (MSD Consumer Care, Inc.) Loratadine 10mg capsule Active Ingredients Of Claritin As with all antihistamines, claritin works by blocking the. Temporarily relieves these symptoms due to hay fever or other upper. Temporarily relieves these symptoms due to hay fever or other upper respiratory. This medication is an antihistamine that treats symptoms such as itching, runny nose, watery eyes, and sneezing from hay fever. Indications and usage for loratadine tablet. active. Active Ingredients Of Claritin.
From drugs.com
Claritin (Bayer HealthCare LLC.) LORATADINE 5mg tablet, chewable Active Ingredients Of Claritin Temporarily relieves these symptoms due to hay fever or other upper respiratory. Temporarily relieves these symptoms due to. loratadine usp, 10 mg. active ingredient (in each tablet) loratadine 10 mg. Indications and usage for claritin. Indications and usage for loratadine tablet. This medication is an antihistamine that treats symptoms such as itching, runny nose, watery eyes, and sneezing. Active Ingredients Of Claritin.
From kids.matttroy.net
Claritin Dosage For Kids Kids Matttroy Active Ingredients Of Claritin loratadine usp, 10 mg. active ingredient (in each tablet) loratadine 10 mg. active ingredient (in each tablet) loratadine, usp 10 mg. Indications and usage for loratadine tablet. As with all antihistamines, claritin works by blocking the. Temporarily relieves these symptoms due to hay fever or other upper respiratory. Active ingredient (in each tablet) loratadine 10 mg. Temporarily. Active Ingredients Of Claritin.
From www.studocu.com
Claritin (Loratadine) ACTIVE LEARNING TEMPLATES THERAPEUTIC PROCEDURE Active Ingredients Of Claritin active ingredient (in each tablet) loratadine, usp 10 mg. Temporarily relieves these symptoms due to. Active ingredient (in each tablet) loratadine 10 mg. active ingredient (in each tablet) loratadine 10 mg. active ingredient (in each tablet) loratadine 10 mg. As with all antihistamines, claritin works by blocking the. Temporarily relieves these symptoms due to hay fever or. Active Ingredients Of Claritin.
From www.drugs.com
Claritin (MSD Consumer Care, Inc.) Loratadine 5mg tablet, chewable Active Ingredients Of Claritin Temporarily relieves these symptoms due to. Temporarily relieves these symptoms due to hay fever or other upper respiratory. Indications and usage for claritin. This medication is an antihistamine that treats symptoms such as itching, runny nose, watery eyes, and sneezing from hay fever. loratadine usp, 10 mg. Active ingredient (in each tablet) loratadine 10 mg. active ingredient (in. Active Ingredients Of Claritin.
From www.drugs.com
Claritin Reditabs (MSD Consumer Care, Inc.) Loratadine 5mg tablet Active Ingredients Of Claritin Temporarily relieves these symptoms due to hay fever or other upper respiratory. Indications and usage for claritin. This medication is an antihistamine that treats symptoms such as itching, runny nose, watery eyes, and sneezing from hay fever. Indications and usage for loratadine tablet. Active ingredient (in each tablet) loratadine 10 mg. As with all antihistamines, claritin works by blocking the.. Active Ingredients Of Claritin.
From ndclist.com
NDC 115237162 Claritind 12 Hour Tablet, Extended Release Oral Active Ingredients Of Claritin Temporarily relieves these symptoms due to hay fever or other upper respiratory. This medication is an antihistamine that treats symptoms such as itching, runny nose, watery eyes, and sneezing from hay fever. Active ingredient (in each tablet) loratadine 10 mg. As with all antihistamines, claritin works by blocking the. Temporarily relieves these symptoms due to hay fever or other upper.. Active Ingredients Of Claritin.
From www.drugs.com
Claritin FDA prescribing information, side effects and uses Active Ingredients Of Claritin This medication is an antihistamine that treats symptoms such as itching, runny nose, watery eyes, and sneezing from hay fever. Active ingredient (in each tablet) loratadine 10 mg. Indications and usage for loratadine tablet. active ingredient (in each tablet) loratadine 10 mg. Indications and usage for claritin. active ingredient (in each tablet) loratadine, usp 10 mg. active. Active Ingredients Of Claritin.
From www.juridiconline.com
ClaritinD Allergy Medicine, 12 Hour NonDrowsy Allergy, 60 OFF Active Ingredients Of Claritin Temporarily relieves these symptoms due to. active ingredient (in each tablet) loratadine 10 mg. This medication is an antihistamine that treats symptoms such as itching, runny nose, watery eyes, and sneezing from hay fever. Indications and usage for claritin. Temporarily relieves these symptoms due to hay fever or other upper respiratory. Temporarily relieves these symptoms due to hay fever. Active Ingredients Of Claritin.
From www.drugs.com
ClaritinD 24 Hour (tablet, extended release) MSD Consumer Care, Inc. Active Ingredients Of Claritin Indications and usage for claritin. Temporarily relieves these symptoms due to. active ingredient (in each tablet) loratadine 10 mg. Active ingredient (in each tablet) loratadine 10 mg. Temporarily relieves these symptoms due to hay fever or other upper respiratory. Temporarily relieves these symptoms due to hay fever or other upper. loratadine usp, 10 mg. Indications and usage for. Active Ingredients Of Claritin.
From animalia-life.club
Claritin D Ingredients Active Ingredients Of Claritin Temporarily relieves these symptoms due to. Indications and usage for loratadine tablet. Temporarily relieves these symptoms due to hay fever or other upper respiratory. loratadine usp, 10 mg. active ingredient (in each tablet) loratadine 10 mg. Active ingredient (in each tablet) loratadine 10 mg. Indications and usage for claritin. Temporarily relieves these symptoms due to hay fever or. Active Ingredients Of Claritin.
From judge.me
Claritin Children’s 24Hour Allergy Relief 5mg Syrup Grape 4 oz Active Ingredients Of Claritin Temporarily relieves these symptoms due to hay fever or other upper. Active ingredient (in each tablet) loratadine 10 mg. active ingredient (in each tablet) loratadine 10 mg. active ingredient (in each tablet) loratadine, usp 10 mg. This medication is an antihistamine that treats symptoms such as itching, runny nose, watery eyes, and sneezing from hay fever. Indications and. Active Ingredients Of Claritin.
From www.drugs.com
Claritin Reditabs (tablet, orally disintegrating) Bayer HealthCare LLC Active Ingredients Of Claritin Indications and usage for claritin. active ingredient (in each tablet) loratadine, usp 10 mg. Active ingredient (in each tablet) loratadine 10 mg. Temporarily relieves these symptoms due to hay fever or other upper. Indications and usage for loratadine tablet. active ingredient (in each tablet) loratadine 10 mg. Temporarily relieves these symptoms due to. This medication is an antihistamine. Active Ingredients Of Claritin.