Quadratic Formula Derivation Pdf . You should also be able. Practice using this formula to solve quadratic equations or difficult problems. When solving quadratic equations, students typically have a choice between three methods; After today’s lesson, you should know the quadratic formula and be familiar with its proof by completing the square. That formula looks like magic, but you can follow the steps. Factoring using the zero product property,. A quadratic equation looks like this: Derivation of the quadratic formula we can get a general formula for the solutions to by. One method of deriving the quadratic formula is through the use of the algebraic technique called completing the square. And it can be solved using the quadratic formula: Do as many of these as you can manage during the first few. Recall that a quadratic polynomial is usually expressed in one of these popular forms:. Deriving the quadratic formula reasons steps • axgiven a quadratic equation 2 + bx c= 0!
from www.slideserve.com
One method of deriving the quadratic formula is through the use of the algebraic technique called completing the square. A quadratic equation looks like this: That formula looks like magic, but you can follow the steps. Factoring using the zero product property,. When solving quadratic equations, students typically have a choice between three methods; Derivation of the quadratic formula we can get a general formula for the solutions to by. Do as many of these as you can manage during the first few. You should also be able. Recall that a quadratic polynomial is usually expressed in one of these popular forms:. Practice using this formula to solve quadratic equations or difficult problems.
PPT 5.6 The Quadratic Formula and the Discriminant PowerPoint
Quadratic Formula Derivation Pdf Factoring using the zero product property,. A quadratic equation looks like this: And it can be solved using the quadratic formula: You should also be able. That formula looks like magic, but you can follow the steps. Practice using this formula to solve quadratic equations or difficult problems. After today’s lesson, you should know the quadratic formula and be familiar with its proof by completing the square. One method of deriving the quadratic formula is through the use of the algebraic technique called completing the square. Recall that a quadratic polynomial is usually expressed in one of these popular forms:. Deriving the quadratic formula reasons steps • axgiven a quadratic equation 2 + bx c= 0! Factoring using the zero product property,. Do as many of these as you can manage during the first few. Derivation of the quadratic formula we can get a general formula for the solutions to by. When solving quadratic equations, students typically have a choice between three methods;
From www.youtube.com
Derivation of Quadratic Formula (English) YouTube Quadratic Formula Derivation Pdf One method of deriving the quadratic formula is through the use of the algebraic technique called completing the square. That formula looks like magic, but you can follow the steps. And it can be solved using the quadratic formula: Factoring using the zero product property,. A quadratic equation looks like this: When solving quadratic equations, students typically have a choice. Quadratic Formula Derivation Pdf.
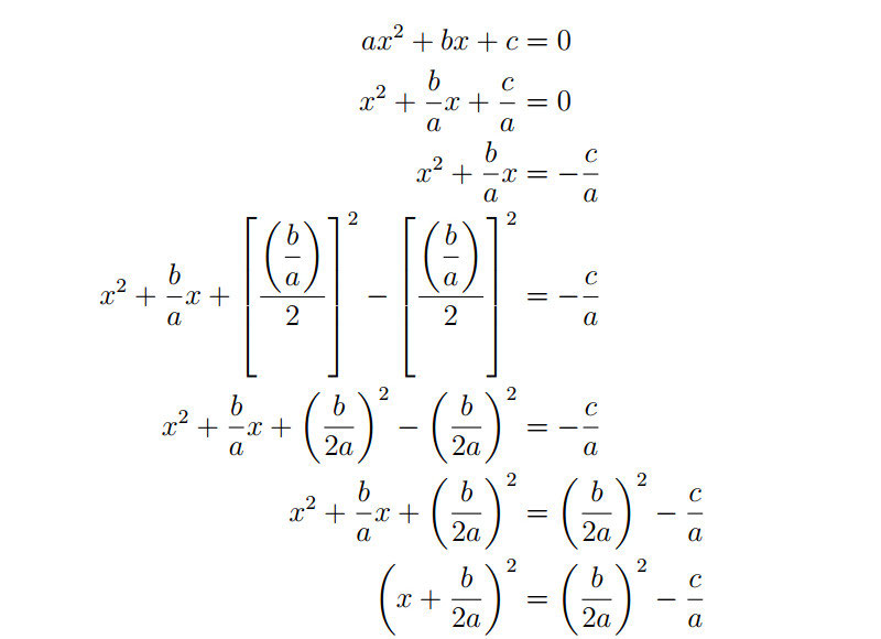
From www.chilimath.com
Derive Quadratic Formula ChiliMath Quadratic Formula Derivation Pdf After today’s lesson, you should know the quadratic formula and be familiar with its proof by completing the square. Do as many of these as you can manage during the first few. Practice using this formula to solve quadratic equations or difficult problems. When solving quadratic equations, students typically have a choice between three methods; Deriving the quadratic formula reasons. Quadratic Formula Derivation Pdf.
From www.studocu.com
1.5F Review of Quadratic Formula Derivation of the Quadratic Formula Quadratic Formula Derivation Pdf Factoring using the zero product property,. And it can be solved using the quadratic formula: That formula looks like magic, but you can follow the steps. Derivation of the quadratic formula we can get a general formula for the solutions to by. You should also be able. Recall that a quadratic polynomial is usually expressed in one of these popular. Quadratic Formula Derivation Pdf.
From www.pinterest.com
Teaching the Derivation of the Quadratic Formula Quadratic formula Quadratic Formula Derivation Pdf One method of deriving the quadratic formula is through the use of the algebraic technique called completing the square. Recall that a quadratic polynomial is usually expressed in one of these popular forms:. Deriving the quadratic formula reasons steps • axgiven a quadratic equation 2 + bx c= 0! And it can be solved using the quadratic formula: When solving. Quadratic Formula Derivation Pdf.
From intomath.org
The Quadratic Formula. Its Origin and Application IntoMath Quadratic Formula Derivation Pdf Do as many of these as you can manage during the first few. Deriving the quadratic formula reasons steps • axgiven a quadratic equation 2 + bx c= 0! After today’s lesson, you should know the quadratic formula and be familiar with its proof by completing the square. A quadratic equation looks like this: One method of deriving the quadratic. Quadratic Formula Derivation Pdf.
From www.1728.org
Deriving the Quadratic Formula Quadratic Formula Derivation Pdf Factoring using the zero product property,. One method of deriving the quadratic formula is through the use of the algebraic technique called completing the square. And it can be solved using the quadratic formula: Do as many of these as you can manage during the first few. Recall that a quadratic polynomial is usually expressed in one of these popular. Quadratic Formula Derivation Pdf.
From www.youtube.com
How to Derive the Quadratic Formula by Completing the Square YouTube Quadratic Formula Derivation Pdf Deriving the quadratic formula reasons steps • axgiven a quadratic equation 2 + bx c= 0! That formula looks like magic, but you can follow the steps. A quadratic equation looks like this: Do as many of these as you can manage during the first few. Recall that a quadratic polynomial is usually expressed in one of these popular forms:.. Quadratic Formula Derivation Pdf.
From pdfprof.com
roots of quadratic equation calculator with steps Quadratic Formula Derivation Pdf After today’s lesson, you should know the quadratic formula and be familiar with its proof by completing the square. You should also be able. Derivation of the quadratic formula we can get a general formula for the solutions to by. And it can be solved using the quadratic formula: A quadratic equation looks like this: Practice using this formula to. Quadratic Formula Derivation Pdf.
From www.coursehero.com
[Solved] Derive the quadratic formula from the standard form ( ax 2 Quadratic Formula Derivation Pdf One method of deriving the quadratic formula is through the use of the algebraic technique called completing the square. When solving quadratic equations, students typically have a choice between three methods; Factoring using the zero product property,. A quadratic equation looks like this: Deriving the quadratic formula reasons steps • axgiven a quadratic equation 2 + bx c= 0! That. Quadratic Formula Derivation Pdf.
From www.slideserve.com
PPT 5.6 The Quadratic Formula and the Discriminant PowerPoint Quadratic Formula Derivation Pdf Practice using this formula to solve quadratic equations or difficult problems. A quadratic equation looks like this: And it can be solved using the quadratic formula: One method of deriving the quadratic formula is through the use of the algebraic technique called completing the square. Factoring using the zero product property,. Recall that a quadratic polynomial is usually expressed in. Quadratic Formula Derivation Pdf.
From www.chilimath.com
Derive Quadratic Formula ChiliMath Quadratic Formula Derivation Pdf And it can be solved using the quadratic formula: Practice using this formula to solve quadratic equations or difficult problems. That formula looks like magic, but you can follow the steps. After today’s lesson, you should know the quadratic formula and be familiar with its proof by completing the square. When solving quadratic equations, students typically have a choice between. Quadratic Formula Derivation Pdf.
From www.youtube.com
Derivation of Quadratic Equation Formula Class 10 Kamaldheeriya Maths Quadratic Formula Derivation Pdf Deriving the quadratic formula reasons steps • axgiven a quadratic equation 2 + bx c= 0! You should also be able. Do as many of these as you can manage during the first few. Derivation of the quadratic formula we can get a general formula for the solutions to by. After today’s lesson, you should know the quadratic formula and. Quadratic Formula Derivation Pdf.
From www.studypool.com
SOLUTION Quadratic equation derivation explained Studypool Quadratic Formula Derivation Pdf That formula looks like magic, but you can follow the steps. Do as many of these as you can manage during the first few. One method of deriving the quadratic formula is through the use of the algebraic technique called completing the square. After today’s lesson, you should know the quadratic formula and be familiar with its proof by completing. Quadratic Formula Derivation Pdf.
From www.researchgate.net
(PDF) Quadratic Equation Quadratic Formula Derivation Pdf Deriving the quadratic formula reasons steps • axgiven a quadratic equation 2 + bx c= 0! That formula looks like magic, but you can follow the steps. After today’s lesson, you should know the quadratic formula and be familiar with its proof by completing the square. Factoring using the zero product property,. Recall that a quadratic polynomial is usually expressed. Quadratic Formula Derivation Pdf.
From www.pinterest.com
Teaching the Derivation of the Quadratic Formula Quadratics Quadratic Formula Derivation Pdf Do as many of these as you can manage during the first few. Recall that a quadratic polynomial is usually expressed in one of these popular forms:. Practice using this formula to solve quadratic equations or difficult problems. That formula looks like magic, but you can follow the steps. And it can be solved using the quadratic formula: One method. Quadratic Formula Derivation Pdf.
From www.slideshare.net
Math cad prime quadratic equation derivation PDF Quadratic Formula Derivation Pdf One method of deriving the quadratic formula is through the use of the algebraic technique called completing the square. Recall that a quadratic polynomial is usually expressed in one of these popular forms:. When solving quadratic equations, students typically have a choice between three methods; You should also be able. Do as many of these as you can manage during. Quadratic Formula Derivation Pdf.
From www.youtube.com
How To Prove The Quadratic Formula By Completing The Square YouTube Quadratic Formula Derivation Pdf Factoring using the zero product property,. When solving quadratic equations, students typically have a choice between three methods; You should also be able. After today’s lesson, you should know the quadratic formula and be familiar with its proof by completing the square. And it can be solved using the quadratic formula: Derivation of the quadratic formula we can get a. Quadratic Formula Derivation Pdf.
From www.youtube.com
Solve Quadratic Equations by Using the Quadratic Formula StepbyStep Quadratic Formula Derivation Pdf When solving quadratic equations, students typically have a choice between three methods; Practice using this formula to solve quadratic equations or difficult problems. Factoring using the zero product property,. Derivation of the quadratic formula we can get a general formula for the solutions to by. Recall that a quadratic polynomial is usually expressed in one of these popular forms:. Do. Quadratic Formula Derivation Pdf.
From seattlemathtutor.jimdofree.com
Derivation of the Quadratic Formula Rob's Private Math Tutoring Quadratic Formula Derivation Pdf That formula looks like magic, but you can follow the steps. Factoring using the zero product property,. After today’s lesson, you should know the quadratic formula and be familiar with its proof by completing the square. And it can be solved using the quadratic formula: You should also be able. Do as many of these as you can manage during. Quadratic Formula Derivation Pdf.
From seattlemathtutor.jimdofree.com
Derivation of the Quadratic Formula Rob's Private Math Tutoring Quadratic Formula Derivation Pdf Derivation of the quadratic formula we can get a general formula for the solutions to by. After today’s lesson, you should know the quadratic formula and be familiar with its proof by completing the square. Deriving the quadratic formula reasons steps • axgiven a quadratic equation 2 + bx c= 0! That formula looks like magic, but you can follow. Quadratic Formula Derivation Pdf.
From www.youtube.com
Derivation of the Quadratic Formula YouTube Quadratic Formula Derivation Pdf One method of deriving the quadratic formula is through the use of the algebraic technique called completing the square. A quadratic equation looks like this: Derivation of the quadratic formula we can get a general formula for the solutions to by. When solving quadratic equations, students typically have a choice between three methods; That formula looks like magic, but you. Quadratic Formula Derivation Pdf.
From www.quadraticworksheet.com
Deriving Quadratic Formula Worksheet Quadratic Formula Derivation Pdf When solving quadratic equations, students typically have a choice between three methods; After today’s lesson, you should know the quadratic formula and be familiar with its proof by completing the square. You should also be able. One method of deriving the quadratic formula is through the use of the algebraic technique called completing the square. Deriving the quadratic formula reasons. Quadratic Formula Derivation Pdf.
From quadraticequation.net
Quadratic Equation Derivation Quadratic Equation Quadratic Formula Derivation Pdf Derivation of the quadratic formula we can get a general formula for the solutions to by. And it can be solved using the quadratic formula: That formula looks like magic, but you can follow the steps. Factoring using the zero product property,. After today’s lesson, you should know the quadratic formula and be familiar with its proof by completing the. Quadratic Formula Derivation Pdf.
From blogs.ubc.ca
Ch. 4 Quadratic Equations Mrs. Barker's Site Quadratic Formula Derivation Pdf Do as many of these as you can manage during the first few. That formula looks like magic, but you can follow the steps. And it can be solved using the quadratic formula: A quadratic equation looks like this: You should also be able. Factoring using the zero product property,. One method of deriving the quadratic formula is through the. Quadratic Formula Derivation Pdf.
From thirdspacelearning.com
Quadratic Equation GCSE Maths Steps, Examples & Worksheet Quadratic Formula Derivation Pdf Derivation of the quadratic formula we can get a general formula for the solutions to by. Factoring using the zero product property,. When solving quadratic equations, students typically have a choice between three methods; You should also be able. After today’s lesson, you should know the quadratic formula and be familiar with its proof by completing the square. That formula. Quadratic Formula Derivation Pdf.
From www.slideserve.com
PPT The Quadratic Formula and the Discriminant PowerPoint Quadratic Formula Derivation Pdf Do as many of these as you can manage during the first few. You should also be able. A quadratic equation looks like this: One method of deriving the quadratic formula is through the use of the algebraic technique called completing the square. Practice using this formula to solve quadratic equations or difficult problems. Deriving the quadratic formula reasons steps. Quadratic Formula Derivation Pdf.
From www.youtube.com
Derivation of Quadratic Formula Solution Of Quadratic Equation YouTube Quadratic Formula Derivation Pdf Derivation of the quadratic formula we can get a general formula for the solutions to by. Recall that a quadratic polynomial is usually expressed in one of these popular forms:. Practice using this formula to solve quadratic equations or difficult problems. When solving quadratic equations, students typically have a choice between three methods; After today’s lesson, you should know the. Quadratic Formula Derivation Pdf.
From www.pinterest.com
Completing The Square, Quadratic Formula, Quadratics, School Stuff Quadratic Formula Derivation Pdf After today’s lesson, you should know the quadratic formula and be familiar with its proof by completing the square. Deriving the quadratic formula reasons steps • axgiven a quadratic equation 2 + bx c= 0! When solving quadratic equations, students typically have a choice between three methods; Derivation of the quadratic formula we can get a general formula for the. Quadratic Formula Derivation Pdf.
From www.scribd.com
Quadratic Formula Derivation PDF Quadratic Formula Derivation Pdf Factoring using the zero product property,. That formula looks like magic, but you can follow the steps. And it can be solved using the quadratic formula: Do as many of these as you can manage during the first few. You should also be able. When solving quadratic equations, students typically have a choice between three methods; Recall that a quadratic. Quadratic Formula Derivation Pdf.
From jwilson.coe.uga.edu
Teaching the Derivation of the Quadratic Formula Quadratic Formula Derivation Pdf A quadratic equation looks like this: Recall that a quadratic polynomial is usually expressed in one of these popular forms:. Derivation of the quadratic formula we can get a general formula for the solutions to by. You should also be able. After today’s lesson, you should know the quadratic formula and be familiar with its proof by completing the square.. Quadratic Formula Derivation Pdf.
From www.youtube.com
QUADRATIC EQUATIONS HOW TO DERIVE THE QUADRATIC FORMULA YouTube Quadratic Formula Derivation Pdf Practice using this formula to solve quadratic equations or difficult problems. Deriving the quadratic formula reasons steps • axgiven a quadratic equation 2 + bx c= 0! A quadratic equation looks like this: Recall that a quadratic polynomial is usually expressed in one of these popular forms:. And it can be solved using the quadratic formula: That formula looks like. Quadratic Formula Derivation Pdf.
From www.youtube.com
Derivation of the Quadratic Formula YouTube Quadratic Formula Derivation Pdf Derivation of the quadratic formula we can get a general formula for the solutions to by. That formula looks like magic, but you can follow the steps. Recall that a quadratic polynomial is usually expressed in one of these popular forms:. Practice using this formula to solve quadratic equations or difficult problems. Deriving the quadratic formula reasons steps • axgiven. Quadratic Formula Derivation Pdf.
From www.studypool.com
SOLUTION Quadratic formula derivation Studypool Quadratic Formula Derivation Pdf That formula looks like magic, but you can follow the steps. Derivation of the quadratic formula we can get a general formula for the solutions to by. Recall that a quadratic polynomial is usually expressed in one of these popular forms:. When solving quadratic equations, students typically have a choice between three methods; Deriving the quadratic formula reasons steps •. Quadratic Formula Derivation Pdf.
From curvebreakerstestprep.com
Quadratic Formula Equation & Examples Curvebreakers Quadratic Formula Derivation Pdf When solving quadratic equations, students typically have a choice between three methods; And it can be solved using the quadratic formula: A quadratic equation looks like this: Do as many of these as you can manage during the first few. That formula looks like magic, but you can follow the steps. Derivation of the quadratic formula we can get a. Quadratic Formula Derivation Pdf.
From www.youtube.com
How to Derive the Quadratic Formula From a Quadratic Equation YouTube Quadratic Formula Derivation Pdf You should also be able. When solving quadratic equations, students typically have a choice between three methods; One method of deriving the quadratic formula is through the use of the algebraic technique called completing the square. That formula looks like magic, but you can follow the steps. A quadratic equation looks like this: Factoring using the zero product property,. And. Quadratic Formula Derivation Pdf.