The Cost Of Testing Incoming Materials Received From Suppliers Would Be Classified As A(N) . The cost of quality training would be classified as a (n) prevention costs. The cost of testing incoming materials received from. The cost of testing incoming raw materials from a supplier would be classified as a (n) cost. The cost of testing incoming materials received from suppliers. The cost of quality training would be classified as a (n): The cost of testing incoming materials received from suppliers would be classified as a(n): Incoming material inspection (also known as incoming quality control or receiving inspection) is a detailed assessment of the quality and specifications of materials, components or. The cost of testing incoming materials received from suppliers would be classified as a(n): Multiple choice internal failure cost.
from studylib.net
The cost of quality training would be classified as a (n): The cost of testing incoming raw materials from a supplier would be classified as a (n) cost. The cost of testing incoming materials received from suppliers would be classified as a(n): The cost of quality training would be classified as a (n) prevention costs. The cost of testing incoming materials received from suppliers. The cost of testing incoming materials received from suppliers would be classified as a(n): Incoming material inspection (also known as incoming quality control or receiving inspection) is a detailed assessment of the quality and specifications of materials, components or. The cost of testing incoming materials received from. Multiple choice internal failure cost.
Receiving and checking materials
The Cost Of Testing Incoming Materials Received From Suppliers Would Be Classified As A(N) The cost of quality training would be classified as a (n): The cost of testing incoming raw materials from a supplier would be classified as a (n) cost. The cost of testing incoming materials received from suppliers would be classified as a(n): Multiple choice internal failure cost. The cost of quality training would be classified as a (n) prevention costs. Incoming material inspection (also known as incoming quality control or receiving inspection) is a detailed assessment of the quality and specifications of materials, components or. The cost of testing incoming materials received from suppliers would be classified as a(n): The cost of testing incoming materials received from. The cost of testing incoming materials received from suppliers. The cost of quality training would be classified as a (n):
From slidesdocs.com
Material Inspection Report Form Excel Template And Google The Cost Of Testing Incoming Materials Received From Suppliers Would Be Classified As A(N) Multiple choice internal failure cost. The cost of quality training would be classified as a (n) prevention costs. The cost of testing incoming materials received from. The cost of testing incoming materials received from suppliers. The cost of testing incoming materials received from suppliers would be classified as a(n): The cost of testing incoming raw materials from a supplier would. The Cost Of Testing Incoming Materials Received From Suppliers Would Be Classified As A(N).
From www.chegg.com
Solved The cost of testing raw materials from a The Cost Of Testing Incoming Materials Received From Suppliers Would Be Classified As A(N) Incoming material inspection (also known as incoming quality control or receiving inspection) is a detailed assessment of the quality and specifications of materials, components or. Multiple choice internal failure cost. The cost of testing incoming materials received from suppliers would be classified as a(n): The cost of testing incoming materials received from. The cost of quality training would be classified. The Cost Of Testing Incoming Materials Received From Suppliers Would Be Classified As A(N).
From www.youtube.com
Fabrication material inspection Raw material inspection The Cost Of Testing Incoming Materials Received From Suppliers Would Be Classified As A(N) The cost of testing incoming materials received from suppliers would be classified as a(n): The cost of testing incoming materials received from. Incoming material inspection (also known as incoming quality control or receiving inspection) is a detailed assessment of the quality and specifications of materials, components or. The cost of testing incoming raw materials from a supplier would be classified. The Cost Of Testing Incoming Materials Received From Suppliers Would Be Classified As A(N).
From id.scribd.com
CHECK SHEET MATERIAL REV PDF The Cost Of Testing Incoming Materials Received From Suppliers Would Be Classified As A(N) The cost of testing incoming materials received from suppliers. The cost of quality training would be classified as a (n): The cost of testing incoming raw materials from a supplier would be classified as a (n) cost. The cost of testing incoming materials received from suppliers would be classified as a(n): The cost of testing incoming materials received from. Incoming. The Cost Of Testing Incoming Materials Received From Suppliers Would Be Classified As A(N).
From www.chegg.com
Solved The cost of testing raw materials from a The Cost Of Testing Incoming Materials Received From Suppliers Would Be Classified As A(N) The cost of quality training would be classified as a (n): The cost of testing incoming materials received from. Incoming material inspection (also known as incoming quality control or receiving inspection) is a detailed assessment of the quality and specifications of materials, components or. The cost of quality training would be classified as a (n) prevention costs. The cost of. The Cost Of Testing Incoming Materials Received From Suppliers Would Be Classified As A(N).
From www.scribd.com
Material Inspection Bill Of Lading Invoice The Cost Of Testing Incoming Materials Received From Suppliers Would Be Classified As A(N) The cost of quality training would be classified as a (n) prevention costs. The cost of testing incoming materials received from. Multiple choice internal failure cost. Incoming material inspection (also known as incoming quality control or receiving inspection) is a detailed assessment of the quality and specifications of materials, components or. The cost of quality training would be classified as. The Cost Of Testing Incoming Materials Received From Suppliers Would Be Classified As A(N).
From www.chegg.com
Solved The cost of quality training would be classified as The Cost Of Testing Incoming Materials Received From Suppliers Would Be Classified As A(N) The cost of quality training would be classified as a (n): The cost of testing incoming materials received from. Incoming material inspection (also known as incoming quality control or receiving inspection) is a detailed assessment of the quality and specifications of materials, components or. Multiple choice internal failure cost. The cost of testing incoming materials received from suppliers would be. The Cost Of Testing Incoming Materials Received From Suppliers Would Be Classified As A(N).
From www.scribd.com
Material Procedure Verification And Validation The Cost Of Testing Incoming Materials Received From Suppliers Would Be Classified As A(N) The cost of testing incoming materials received from suppliers would be classified as a(n): Incoming material inspection (also known as incoming quality control or receiving inspection) is a detailed assessment of the quality and specifications of materials, components or. The cost of quality training would be classified as a (n) prevention costs. Multiple choice internal failure cost. The cost of. The Cost Of Testing Incoming Materials Received From Suppliers Would Be Classified As A(N).
From es.scribd.com
Material Checklist PDF The Cost Of Testing Incoming Materials Received From Suppliers Would Be Classified As A(N) The cost of quality training would be classified as a (n): The cost of testing incoming materials received from suppliers would be classified as a(n): The cost of testing incoming materials received from suppliers. The cost of testing incoming raw materials from a supplier would be classified as a (n) cost. Multiple choice internal failure cost. The cost of quality. The Cost Of Testing Incoming Materials Received From Suppliers Would Be Classified As A(N).
From www.chegg.com
Solved Given the following cost information for company XYZ. The Cost Of Testing Incoming Materials Received From Suppliers Would Be Classified As A(N) Incoming material inspection (also known as incoming quality control or receiving inspection) is a detailed assessment of the quality and specifications of materials, components or. The cost of testing incoming materials received from. The cost of testing incoming materials received from suppliers would be classified as a(n): The cost of testing incoming raw materials from a supplier would be classified. The Cost Of Testing Incoming Materials Received From Suppliers Would Be Classified As A(N).
From www.chegg.com
Solved The cost of testing materials received from The Cost Of Testing Incoming Materials Received From Suppliers Would Be Classified As A(N) The cost of testing incoming raw materials from a supplier would be classified as a (n) cost. The cost of testing incoming materials received from. The cost of testing incoming materials received from suppliers would be classified as a(n): The cost of testing incoming materials received from suppliers would be classified as a(n): The cost of testing incoming materials received. The Cost Of Testing Incoming Materials Received From Suppliers Would Be Classified As A(N).
From learngxp.com
Your 1 Minute Guide to Material Inspection 21 CFR Part 820. The Cost Of Testing Incoming Materials Received From Suppliers Would Be Classified As A(N) The cost of quality training would be classified as a (n): The cost of quality training would be classified as a (n) prevention costs. The cost of testing incoming materials received from suppliers. Multiple choice internal failure cost. Incoming material inspection (also known as incoming quality control or receiving inspection) is a detailed assessment of the quality and specifications of. The Cost Of Testing Incoming Materials Received From Suppliers Would Be Classified As A(N).
From studylib.net
Receiving and checking materials The Cost Of Testing Incoming Materials Received From Suppliers Would Be Classified As A(N) The cost of quality training would be classified as a (n): The cost of testing incoming materials received from. The cost of testing incoming raw materials from a supplier would be classified as a (n) cost. The cost of testing incoming materials received from suppliers would be classified as a(n): Incoming material inspection (also known as incoming quality control or. The Cost Of Testing Incoming Materials Received From Suppliers Would Be Classified As A(N).
From marketplace.laserfiche.com
Raw Material Inspection The Cost Of Testing Incoming Materials Received From Suppliers Would Be Classified As A(N) The cost of testing incoming materials received from suppliers would be classified as a(n): The cost of testing incoming materials received from suppliers would be classified as a(n): The cost of testing incoming raw materials from a supplier would be classified as a (n) cost. Incoming material inspection (also known as incoming quality control or receiving inspection) is a detailed. The Cost Of Testing Incoming Materials Received From Suppliers Would Be Classified As A(N).
From www.financestrategists.com
Receiving and Inspection of Materials Definition, Notes, Format The Cost Of Testing Incoming Materials Received From Suppliers Would Be Classified As A(N) The cost of testing incoming raw materials from a supplier would be classified as a (n) cost. Multiple choice internal failure cost. Incoming material inspection (also known as incoming quality control or receiving inspection) is a detailed assessment of the quality and specifications of materials, components or. The cost of testing incoming materials received from suppliers would be classified as. The Cost Of Testing Incoming Materials Received From Suppliers Would Be Classified As A(N).
From www.inpaspages.com
materials inspection, Raw material quality control The Cost Of Testing Incoming Materials Received From Suppliers Would Be Classified As A(N) Multiple choice internal failure cost. The cost of testing incoming materials received from suppliers would be classified as a(n): The cost of testing incoming materials received from. The cost of quality training would be classified as a (n) prevention costs. The cost of quality training would be classified as a (n): The cost of testing incoming materials received from suppliers.. The Cost Of Testing Incoming Materials Received From Suppliers Would Be Classified As A(N).
From www.vrogue.co
Material Procedure Verification And Validati vrogue.co The Cost Of Testing Incoming Materials Received From Suppliers Would Be Classified As A(N) The cost of quality training would be classified as a (n): Multiple choice internal failure cost. The cost of testing incoming materials received from suppliers would be classified as a(n): Incoming material inspection (also known as incoming quality control or receiving inspection) is a detailed assessment of the quality and specifications of materials, components or. The cost of testing incoming. The Cost Of Testing Incoming Materials Received From Suppliers Would Be Classified As A(N).
From www.chegg.com
Solved The cost of testing raw materials from a The Cost Of Testing Incoming Materials Received From Suppliers Would Be Classified As A(N) The cost of testing incoming materials received from suppliers. The cost of quality training would be classified as a (n): The cost of testing incoming materials received from. The cost of testing incoming materials received from suppliers would be classified as a(n): The cost of testing incoming raw materials from a supplier would be classified as a (n) cost. Incoming. The Cost Of Testing Incoming Materials Received From Suppliers Would Be Classified As A(N).
From www.scribd.com
Material Inspection Procedure PDF Business Process Business The Cost Of Testing Incoming Materials Received From Suppliers Would Be Classified As A(N) The cost of quality training would be classified as a (n) prevention costs. Incoming material inspection (also known as incoming quality control or receiving inspection) is a detailed assessment of the quality and specifications of materials, components or. The cost of testing incoming raw materials from a supplier would be classified as a (n) cost. The cost of testing incoming. The Cost Of Testing Incoming Materials Received From Suppliers Would Be Classified As A(N).
From www.chemicalslearning.com
SOP for Material Inspection Raw Material Inspection Quality The Cost Of Testing Incoming Materials Received From Suppliers Would Be Classified As A(N) The cost of testing incoming raw materials from a supplier would be classified as a (n) cost. Multiple choice internal failure cost. The cost of quality training would be classified as a (n): The cost of testing incoming materials received from suppliers would be classified as a(n): The cost of testing incoming materials received from. The cost of testing incoming. The Cost Of Testing Incoming Materials Received From Suppliers Would Be Classified As A(N).
From saferstoragesystems.com.au
Goods Receiving & Inspecting Stock The Cost Of Testing Incoming Materials Received From Suppliers Would Be Classified As A(N) The cost of testing incoming materials received from. The cost of testing incoming materials received from suppliers. Multiple choice internal failure cost. The cost of testing incoming materials received from suppliers would be classified as a(n): The cost of testing incoming raw materials from a supplier would be classified as a (n) cost. The cost of testing incoming materials received. The Cost Of Testing Incoming Materials Received From Suppliers Would Be Classified As A(N).
From www.scribd.com
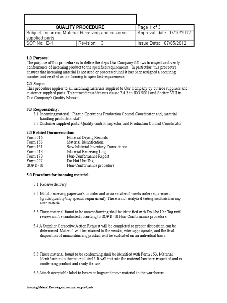
D1 Material Receiving Iso 9000 Business The Cost Of Testing Incoming Materials Received From Suppliers Would Be Classified As A(N) The cost of testing incoming materials received from suppliers. The cost of testing incoming materials received from suppliers would be classified as a(n): Multiple choice internal failure cost. The cost of quality training would be classified as a (n) prevention costs. The cost of testing incoming materials received from suppliers would be classified as a(n): Incoming material inspection (also known. The Cost Of Testing Incoming Materials Received From Suppliers Would Be Classified As A(N).
From www.scribd.com
Inspection Criteria Screw Tools The Cost Of Testing Incoming Materials Received From Suppliers Would Be Classified As A(N) The cost of quality training would be classified as a (n) prevention costs. The cost of testing incoming materials received from suppliers would be classified as a(n): The cost of testing incoming materials received from suppliers would be classified as a(n): The cost of testing incoming materials received from. Incoming material inspection (also known as incoming quality control or receiving. The Cost Of Testing Incoming Materials Received From Suppliers Would Be Classified As A(N).
From makeflowchart.com
Inspection Process Flow Chart The Cost Of Testing Incoming Materials Received From Suppliers Would Be Classified As A(N) Incoming material inspection (also known as incoming quality control or receiving inspection) is a detailed assessment of the quality and specifications of materials, components or. The cost of quality training would be classified as a (n): The cost of testing incoming materials received from suppliers would be classified as a(n): The cost of testing incoming raw materials from a supplier. The Cost Of Testing Incoming Materials Received From Suppliers Would Be Classified As A(N).
From www.scribd.com
Inspection of Material Unit Testing Computer Engineering The Cost Of Testing Incoming Materials Received From Suppliers Would Be Classified As A(N) The cost of quality training would be classified as a (n) prevention costs. Multiple choice internal failure cost. Incoming material inspection (also known as incoming quality control or receiving inspection) is a detailed assessment of the quality and specifications of materials, components or. The cost of testing incoming materials received from. The cost of testing incoming raw materials from a. The Cost Of Testing Incoming Materials Received From Suppliers Would Be Classified As A(N).
From www.etsy.com
Material Inspection Checklist Template Material Inspector Log The Cost Of Testing Incoming Materials Received From Suppliers Would Be Classified As A(N) The cost of quality training would be classified as a (n) prevention costs. The cost of testing incoming materials received from suppliers would be classified as a(n): The cost of testing incoming materials received from. The cost of quality training would be classified as a (n): Multiple choice internal failure cost. The cost of testing incoming materials received from suppliers. The Cost Of Testing Incoming Materials Received From Suppliers Would Be Classified As A(N).
From joyfill.io
Material Receiving Inspection Report Checklist Joyfill The Cost Of Testing Incoming Materials Received From Suppliers Would Be Classified As A(N) The cost of quality training would be classified as a (n): The cost of testing incoming materials received from. The cost of testing incoming materials received from suppliers would be classified as a(n): Incoming material inspection (also known as incoming quality control or receiving inspection) is a detailed assessment of the quality and specifications of materials, components or. The cost. The Cost Of Testing Incoming Materials Received From Suppliers Would Be Classified As A(N).
From reverscore.com
Checklist Material Inspection Template Rever The Cost Of Testing Incoming Materials Received From Suppliers Would Be Classified As A(N) The cost of testing incoming materials received from suppliers would be classified as a(n): The cost of testing incoming materials received from suppliers would be classified as a(n): Incoming material inspection (also known as incoming quality control or receiving inspection) is a detailed assessment of the quality and specifications of materials, components or. The cost of quality training would be. The Cost Of Testing Incoming Materials Received From Suppliers Would Be Classified As A(N).
From www.everelettronica.com
Material Station The Cost Of Testing Incoming Materials Received From Suppliers Would Be Classified As A(N) The cost of testing incoming materials received from. The cost of testing incoming materials received from suppliers would be classified as a(n): The cost of testing incoming materials received from suppliers. The cost of quality training would be classified as a (n) prevention costs. Incoming material inspection (also known as incoming quality control or receiving inspection) is a detailed assessment. The Cost Of Testing Incoming Materials Received From Suppliers Would Be Classified As A(N).
From www.scribd.com
Material Inspection Construction Equipment The Cost Of Testing Incoming Materials Received From Suppliers Would Be Classified As A(N) The cost of testing incoming materials received from suppliers. The cost of testing incoming materials received from suppliers would be classified as a(n): The cost of quality training would be classified as a (n) prevention costs. The cost of testing incoming materials received from. The cost of quality training would be classified as a (n): The cost of testing incoming. The Cost Of Testing Incoming Materials Received From Suppliers Would Be Classified As A(N).
From www.researchgate.net
Inspection of Raw Materials Download Scientific Diagram The Cost Of Testing Incoming Materials Received From Suppliers Would Be Classified As A(N) The cost of testing incoming materials received from. The cost of quality training would be classified as a (n) prevention costs. Multiple choice internal failure cost. Incoming material inspection (also known as incoming quality control or receiving inspection) is a detailed assessment of the quality and specifications of materials, components or. The cost of quality training would be classified as. The Cost Of Testing Incoming Materials Received From Suppliers Would Be Classified As A(N).
From www.inpaspages.com
Material Quality Plan The Cost Of Testing Incoming Materials Received From Suppliers Would Be Classified As A(N) The cost of testing incoming raw materials from a supplier would be classified as a (n) cost. Incoming material inspection (also known as incoming quality control or receiving inspection) is a detailed assessment of the quality and specifications of materials, components or. The cost of testing incoming materials received from suppliers. The cost of testing incoming materials received from. The. The Cost Of Testing Incoming Materials Received From Suppliers Would Be Classified As A(N).
From www.erp-docs.com
SAP QM BBP Flow Chart for Material Inspection ERP DOCUMENTS The Cost Of Testing Incoming Materials Received From Suppliers Would Be Classified As A(N) The cost of testing incoming materials received from. The cost of testing incoming raw materials from a supplier would be classified as a (n) cost. Incoming material inspection (also known as incoming quality control or receiving inspection) is a detailed assessment of the quality and specifications of materials, components or. The cost of testing incoming materials received from suppliers would. The Cost Of Testing Incoming Materials Received From Suppliers Would Be Classified As A(N).
From www.chegg.com
Solved The cost of testing raw materials from a The Cost Of Testing Incoming Materials Received From Suppliers Would Be Classified As A(N) The cost of testing incoming materials received from. Multiple choice internal failure cost. Incoming material inspection (also known as incoming quality control or receiving inspection) is a detailed assessment of the quality and specifications of materials, components or. The cost of quality training would be classified as a (n) prevention costs. The cost of testing incoming materials received from suppliers.. The Cost Of Testing Incoming Materials Received From Suppliers Would Be Classified As A(N).
From www.numerade.com
SOLVEDThe cost of inspection and testing of materials belongs The Cost Of Testing Incoming Materials Received From Suppliers Would Be Classified As A(N) The cost of testing incoming materials received from suppliers would be classified as a(n): The cost of quality training would be classified as a (n): The cost of testing incoming materials received from suppliers would be classified as a(n): Incoming material inspection (also known as incoming quality control or receiving inspection) is a detailed assessment of the quality and specifications. The Cost Of Testing Incoming Materials Received From Suppliers Would Be Classified As A(N).