Bentuk Cosec X - Cos X Cot X Equivalent Dengan . If this expression were written in the form of an equation set equal to zero, we could solve each factor using the zero factor. Buktikan identitas trigonometri berikut ini. We can also divide the other way around (such as adjacent/opposite instead of opposite/adjacent) to get: Nilai tan x dari persamaan. Diketahui trapesium abcd dengan ad // bc, sudut b=60, sud. Cos x (csc x + tan x) = cosx. Rumus identitas trigonometri menyatakan hubungan. In the expression cosx(cscx+tanx), each term refers to a common trigonometric function of an angle x. Sin²a + cos²a = 1. Here, 'x' is a variable which can. Berikut penjelasan dan rumus identitas trigonometri: Untuk menyederhanakan ekspresi trigonometri cos x (cosec x + tan x), kita gunakan identitas dasar trigonometri.
from www.numerade.com
Sin²a + cos²a = 1. In the expression cosx(cscx+tanx), each term refers to a common trigonometric function of an angle x. If this expression were written in the form of an equation set equal to zero, we could solve each factor using the zero factor. Rumus identitas trigonometri menyatakan hubungan. Cos x (csc x + tan x) = cosx. Buktikan identitas trigonometri berikut ini. Nilai tan x dari persamaan. Diketahui trapesium abcd dengan ad // bc, sudut b=60, sud. We can also divide the other way around (such as adjacent/opposite instead of opposite/adjacent) to get: Untuk menyederhanakan ekspresi trigonometri cos x (cosec x + tan x), kita gunakan identitas dasar trigonometri.
SOLVED For the following exercises, simplify the first trigonometric
Bentuk Cosec X - Cos X Cot X Equivalent Dengan We can also divide the other way around (such as adjacent/opposite instead of opposite/adjacent) to get: Sin²a + cos²a = 1. Untuk menyederhanakan ekspresi trigonometri cos x (cosec x + tan x), kita gunakan identitas dasar trigonometri. Nilai tan x dari persamaan. Buktikan identitas trigonometri berikut ini. Diketahui trapesium abcd dengan ad // bc, sudut b=60, sud. If this expression were written in the form of an equation set equal to zero, we could solve each factor using the zero factor. We can also divide the other way around (such as adjacent/opposite instead of opposite/adjacent) to get: Rumus identitas trigonometri menyatakan hubungan. Cos x (csc x + tan x) = cosx. Berikut penjelasan dan rumus identitas trigonometri: In the expression cosx(cscx+tanx), each term refers to a common trigonometric function of an angle x. Here, 'x' is a variable which can.
From roboguru.ruangguru.com
nilai dari cos x/sec x + sin x/cosec x adalah....... Bentuk Cosec X - Cos X Cot X Equivalent Dengan Sin²a + cos²a = 1. Untuk menyederhanakan ekspresi trigonometri cos x (cosec x + tan x), kita gunakan identitas dasar trigonometri. In the expression cosx(cscx+tanx), each term refers to a common trigonometric function of an angle x. Buktikan identitas trigonometri berikut ini. Cos x (csc x + tan x) = cosx. Rumus identitas trigonometri menyatakan hubungan. Berikut penjelasan dan rumus. Bentuk Cosec X - Cos X Cot X Equivalent Dengan.
From www.numerade.com
SOLVED trigonometri tolong yang no 9 yang d dan e Diberikan fungsi Bentuk Cosec X - Cos X Cot X Equivalent Dengan In the expression cosx(cscx+tanx), each term refers to a common trigonometric function of an angle x. Buktikan identitas trigonometri berikut ini. Berikut penjelasan dan rumus identitas trigonometri: Rumus identitas trigonometri menyatakan hubungan. Here, 'x' is a variable which can. Untuk menyederhanakan ekspresi trigonometri cos x (cosec x + tan x), kita gunakan identitas dasar trigonometri. If this expression were written. Bentuk Cosec X - Cos X Cot X Equivalent Dengan.
From aapkatutorclass11and12.blogspot.com
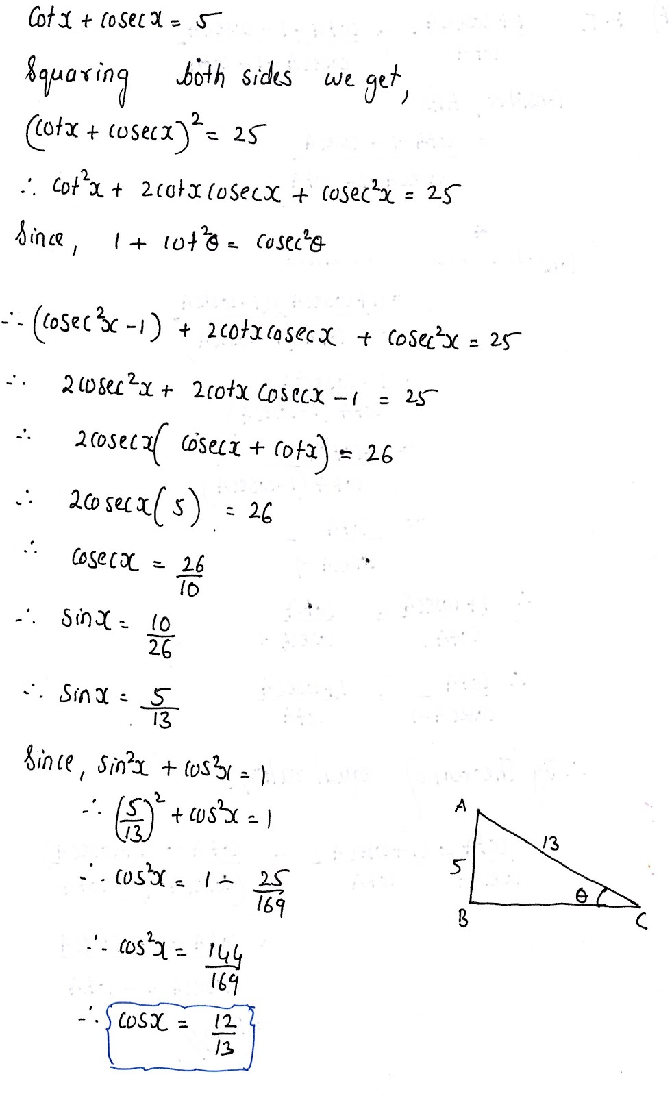
find the possible value of cos x if cot x + cosec x =5 Bentuk Cosec X - Cos X Cot X Equivalent Dengan Sin²a + cos²a = 1. We can also divide the other way around (such as adjacent/opposite instead of opposite/adjacent) to get: Diketahui trapesium abcd dengan ad // bc, sudut b=60, sud. Untuk menyederhanakan ekspresi trigonometri cos x (cosec x + tan x), kita gunakan identitas dasar trigonometri. Here, 'x' is a variable which can. Buktikan identitas trigonometri berikut ini. Rumus. Bentuk Cosec X - Cos X Cot X Equivalent Dengan.
From www.numerade.com
SOLVED For the following exercises, simplify the first trigonometric Bentuk Cosec X - Cos X Cot X Equivalent Dengan Rumus identitas trigonometri menyatakan hubungan. We can also divide the other way around (such as adjacent/opposite instead of opposite/adjacent) to get: Diketahui trapesium abcd dengan ad // bc, sudut b=60, sud. Berikut penjelasan dan rumus identitas trigonometri: Sin²a + cos²a = 1. Buktikan identitas trigonometri berikut ini. Here, 'x' is a variable which can. Nilai tan x dari persamaan. If. Bentuk Cosec X - Cos X Cot X Equivalent Dengan.
From www.youtube.com
Verifying a Trigonometric Identity cot(x)/csc(x) = cos(x) YouTube Bentuk Cosec X - Cos X Cot X Equivalent Dengan Nilai tan x dari persamaan. Berikut penjelasan dan rumus identitas trigonometri: Cos x (csc x + tan x) = cosx. If this expression were written in the form of an equation set equal to zero, we could solve each factor using the zero factor. In the expression cosx(cscx+tanx), each term refers to a common trigonometric function of an angle x.. Bentuk Cosec X - Cos X Cot X Equivalent Dengan.
From byjus.com
If cotx (cotx 1)+1=0, then the value of cosec ^8x 2cosec^6x+3cosec^4x Bentuk Cosec X - Cos X Cot X Equivalent Dengan In the expression cosx(cscx+tanx), each term refers to a common trigonometric function of an angle x. Nilai tan x dari persamaan. Buktikan identitas trigonometri berikut ini. Cos x (csc x + tan x) = cosx. We can also divide the other way around (such as adjacent/opposite instead of opposite/adjacent) to get: Untuk menyederhanakan ekspresi trigonometri cos x (cosec x +. Bentuk Cosec X - Cos X Cot X Equivalent Dengan.
From www.youtube.com
Integral of cosec x cot x Integration of Trigonometric Functions Bentuk Cosec X - Cos X Cot X Equivalent Dengan Nilai tan x dari persamaan. Untuk menyederhanakan ekspresi trigonometri cos x (cosec x + tan x), kita gunakan identitas dasar trigonometri. Berikut penjelasan dan rumus identitas trigonometri: Buktikan identitas trigonometri berikut ini. Cos x (csc x + tan x) = cosx. If this expression were written in the form of an equation set equal to zero, we could solve each. Bentuk Cosec X - Cos X Cot X Equivalent Dengan.
From www.coursehero.com
[Solved] show that cosec 2 (x)sin 2 (x) / cosec(x) + sin(x) = cos(x Bentuk Cosec X - Cos X Cot X Equivalent Dengan Untuk menyederhanakan ekspresi trigonometri cos x (cosec x + tan x), kita gunakan identitas dasar trigonometri. Sin²a + cos²a = 1. If this expression were written in the form of an equation set equal to zero, we could solve each factor using the zero factor. Berikut penjelasan dan rumus identitas trigonometri: Nilai tan x dari persamaan. In the expression cosx(cscx+tanx),. Bentuk Cosec X - Cos X Cot X Equivalent Dengan.
From www.teachoo.com
Misc 13 Solve 2 tan1 (cos x) = tan1 (2 cosec x) Miscellaneous Bentuk Cosec X - Cos X Cot X Equivalent Dengan Cos x (csc x + tan x) = cosx. In the expression cosx(cscx+tanx), each term refers to a common trigonometric function of an angle x. Berikut penjelasan dan rumus identitas trigonometri: Buktikan identitas trigonometri berikut ini. Here, 'x' is a variable which can. Nilai tan x dari persamaan. We can also divide the other way around (such as adjacent/opposite instead. Bentuk Cosec X - Cos X Cot X Equivalent Dengan.
From testbook.com
Trigonometry Graph Sin, Cos, Tan, Cosec, Sec, Cot Graphs & Examples Bentuk Cosec X - Cos X Cot X Equivalent Dengan Berikut penjelasan dan rumus identitas trigonometri: Sin²a + cos²a = 1. In the expression cosx(cscx+tanx), each term refers to a common trigonometric function of an angle x. If this expression were written in the form of an equation set equal to zero, we could solve each factor using the zero factor. We can also divide the other way around (such. Bentuk Cosec X - Cos X Cot X Equivalent Dengan.
From www.doubtnut.com
(cotx)/(1+cosec x)+ (1+cosec x)/(cot x) is equal to (cotx)/(1+cosec Bentuk Cosec X - Cos X Cot X Equivalent Dengan Berikut penjelasan dan rumus identitas trigonometri: Diketahui trapesium abcd dengan ad // bc, sudut b=60, sud. Here, 'x' is a variable which can. Cos x (csc x + tan x) = cosx. Buktikan identitas trigonometri berikut ini. Untuk menyederhanakan ekspresi trigonometri cos x (cosec x + tan x), kita gunakan identitas dasar trigonometri. Sin²a + cos²a = 1. Rumus identitas. Bentuk Cosec X - Cos X Cot X Equivalent Dengan.
From brainly.in
(1cosx)/(1+cos x) is equal to (A) (cosec x + cot x)² (B) cosec² x Bentuk Cosec X - Cos X Cot X Equivalent Dengan We can also divide the other way around (such as adjacent/opposite instead of opposite/adjacent) to get: Diketahui trapesium abcd dengan ad // bc, sudut b=60, sud. Buktikan identitas trigonometri berikut ini. Here, 'x' is a variable which can. Untuk menyederhanakan ekspresi trigonometri cos x (cosec x + tan x), kita gunakan identitas dasar trigonometri. If this expression were written in. Bentuk Cosec X - Cos X Cot X Equivalent Dengan.
From www.teachoo.com
Example 3 (ii) Find the integral ∫ cosec x (cosec x + cot x) dx Bentuk Cosec X - Cos X Cot X Equivalent Dengan If this expression were written in the form of an equation set equal to zero, we could solve each factor using the zero factor. Diketahui trapesium abcd dengan ad // bc, sudut b=60, sud. Berikut penjelasan dan rumus identitas trigonometri: Sin²a + cos²a = 1. We can also divide the other way around (such as adjacent/opposite instead of opposite/adjacent) to. Bentuk Cosec X - Cos X Cot X Equivalent Dengan.
From www.youtube.com
buktikan (1 cos x) / sin x = 1 / (csc x + cot x) YouTube Bentuk Cosec X - Cos X Cot X Equivalent Dengan In the expression cosx(cscx+tanx), each term refers to a common trigonometric function of an angle x. Here, 'x' is a variable which can. Buktikan identitas trigonometri berikut ini. Berikut penjelasan dan rumus identitas trigonometri: Nilai tan x dari persamaan. Rumus identitas trigonometri menyatakan hubungan. Cos x (csc x + tan x) = cosx. If this expression were written in the. Bentuk Cosec X - Cos X Cot X Equivalent Dengan.
From www.numerade.com
SOLVED (cosec x * cos x + cot x) dx is a. cot x * cos x + C b. cot x Bentuk Cosec X - Cos X Cot X Equivalent Dengan Buktikan identitas trigonometri berikut ini. Rumus identitas trigonometri menyatakan hubungan. Cos x (csc x + tan x) = cosx. Sin²a + cos²a = 1. In the expression cosx(cscx+tanx), each term refers to a common trigonometric function of an angle x. Berikut penjelasan dan rumus identitas trigonometri: Here, 'x' is a variable which can. Diketahui trapesium abcd dengan ad // bc,. Bentuk Cosec X - Cos X Cot X Equivalent Dengan.
From www.numerade.com
SOLVED Simplify the trigonometric expression below by writing the Bentuk Cosec X - Cos X Cot X Equivalent Dengan Berikut penjelasan dan rumus identitas trigonometri: In the expression cosx(cscx+tanx), each term refers to a common trigonometric function of an angle x. Diketahui trapesium abcd dengan ad // bc, sudut b=60, sud. We can also divide the other way around (such as adjacent/opposite instead of opposite/adjacent) to get: Buktikan identitas trigonometri berikut ini. If this expression were written in the. Bentuk Cosec X - Cos X Cot X Equivalent Dengan.
From byjus.com
Integration of cosx. log (cosecx+cotx)dx Bentuk Cosec X - Cos X Cot X Equivalent Dengan Rumus identitas trigonometri menyatakan hubungan. Cos x (csc x + tan x) = cosx. Berikut penjelasan dan rumus identitas trigonometri: We can also divide the other way around (such as adjacent/opposite instead of opposite/adjacent) to get: Sin²a + cos²a = 1. If this expression were written in the form of an equation set equal to zero, we could solve each. Bentuk Cosec X - Cos X Cot X Equivalent Dengan.
From www.toppr.com
Differentiate each of the following w.r.t.xcot^{1}(text cosec x+cot x) Bentuk Cosec X - Cos X Cot X Equivalent Dengan Buktikan identitas trigonometri berikut ini. In the expression cosx(cscx+tanx), each term refers to a common trigonometric function of an angle x. We can also divide the other way around (such as adjacent/opposite instead of opposite/adjacent) to get: Cos x (csc x + tan x) = cosx. If this expression were written in the form of an equation set equal to. Bentuk Cosec X - Cos X Cot X Equivalent Dengan.
From www.teachoo.com
Ex 3.4, 4 cosec x = 2, find principal and general solution Bentuk Cosec X - Cos X Cot X Equivalent Dengan Untuk menyederhanakan ekspresi trigonometri cos x (cosec x + tan x), kita gunakan identitas dasar trigonometri. Cos x (csc x + tan x) = cosx. We can also divide the other way around (such as adjacent/opposite instead of opposite/adjacent) to get: Berikut penjelasan dan rumus identitas trigonometri: Diketahui trapesium abcd dengan ad // bc, sudut b=60, sud. Here, 'x' is. Bentuk Cosec X - Cos X Cot X Equivalent Dengan.
From www.chegg.com
Solved Verify the identity. cos x cot^2 x = cos x csc^2 x Bentuk Cosec X - Cos X Cot X Equivalent Dengan Sin²a + cos²a = 1. Berikut penjelasan dan rumus identitas trigonometri: Here, 'x' is a variable which can. Rumus identitas trigonometri menyatakan hubungan. Nilai tan x dari persamaan. If this expression were written in the form of an equation set equal to zero, we could solve each factor using the zero factor. Cos x (csc x + tan x) =. Bentuk Cosec X - Cos X Cot X Equivalent Dengan.
From abjohn.com
Trigonometry Formulas Knowledge Base ABJOHN Bentuk Cosec X - Cos X Cot X Equivalent Dengan Untuk menyederhanakan ekspresi trigonometri cos x (cosec x + tan x), kita gunakan identitas dasar trigonometri. Cos x (csc x + tan x) = cosx. Rumus identitas trigonometri menyatakan hubungan. Sin²a + cos²a = 1. We can also divide the other way around (such as adjacent/opposite instead of opposite/adjacent) to get: Here, 'x' is a variable which can. In the. Bentuk Cosec X - Cos X Cot X Equivalent Dengan.
From www.coursehero.com
[Solved] cot(arcsec(x)) equivalent algebraic expression Course Hero Bentuk Cosec X - Cos X Cot X Equivalent Dengan Diketahui trapesium abcd dengan ad // bc, sudut b=60, sud. Untuk menyederhanakan ekspresi trigonometri cos x (cosec x + tan x), kita gunakan identitas dasar trigonometri. We can also divide the other way around (such as adjacent/opposite instead of opposite/adjacent) to get: Sin²a + cos²a = 1. If this expression were written in the form of an equation set equal. Bentuk Cosec X - Cos X Cot X Equivalent Dengan.
From byjus.com
16)Ifx = cosec(tan 1(cos(cot 1 (sec(sin 1 a))))) and y =sec(cot 1(sin Bentuk Cosec X - Cos X Cot X Equivalent Dengan Sin²a + cos²a = 1. Berikut penjelasan dan rumus identitas trigonometri: Untuk menyederhanakan ekspresi trigonometri cos x (cosec x + tan x), kita gunakan identitas dasar trigonometri. In the expression cosx(cscx+tanx), each term refers to a common trigonometric function of an angle x. Nilai tan x dari persamaan. Here, 'x' is a variable which can. Rumus identitas trigonometri menyatakan hubungan.. Bentuk Cosec X - Cos X Cot X Equivalent Dengan.
From www.toppr.com
8. Find x from the following equations y cosec ( 7 +0) + x cos o cot Bentuk Cosec X - Cos X Cot X Equivalent Dengan If this expression were written in the form of an equation set equal to zero, we could solve each factor using the zero factor. Rumus identitas trigonometri menyatakan hubungan. In the expression cosx(cscx+tanx), each term refers to a common trigonometric function of an angle x. Cos x (csc x + tan x) = cosx. We can also divide the other. Bentuk Cosec X - Cos X Cot X Equivalent Dengan.
From www.toppr.com
Differentiate the following w.r.t.xlog (text cosec xcot x) Bentuk Cosec X - Cos X Cot X Equivalent Dengan Here, 'x' is a variable which can. Buktikan identitas trigonometri berikut ini. Nilai tan x dari persamaan. We can also divide the other way around (such as adjacent/opposite instead of opposite/adjacent) to get: In the expression cosx(cscx+tanx), each term refers to a common trigonometric function of an angle x. Diketahui trapesium abcd dengan ad // bc, sudut b=60, sud. Berikut. Bentuk Cosec X - Cos X Cot X Equivalent Dengan.
From byjus.com
If cosec A + cot A = m, show that (m2 1) ÷ (m2 + 1) = cos A Bentuk Cosec X - Cos X Cot X Equivalent Dengan We can also divide the other way around (such as adjacent/opposite instead of opposite/adjacent) to get: If this expression were written in the form of an equation set equal to zero, we could solve each factor using the zero factor. Berikut penjelasan dan rumus identitas trigonometri: Here, 'x' is a variable which can. Sin²a + cos²a = 1. Buktikan identitas. Bentuk Cosec X - Cos X Cot X Equivalent Dengan.
From www.youtube.com
Integral of e^(cosec x) cosec x cot x Integration of Trigonometric Bentuk Cosec X - Cos X Cot X Equivalent Dengan If this expression were written in the form of an equation set equal to zero, we could solve each factor using the zero factor. In the expression cosx(cscx+tanx), each term refers to a common trigonometric function of an angle x. Diketahui trapesium abcd dengan ad // bc, sudut b=60, sud. Sin²a + cos²a = 1. Untuk menyederhanakan ekspresi trigonometri cos. Bentuk Cosec X - Cos X Cot X Equivalent Dengan.
From byjus.com
cosec a + cot a =3 find cos a Bentuk Cosec X - Cos X Cot X Equivalent Dengan We can also divide the other way around (such as adjacent/opposite instead of opposite/adjacent) to get: Rumus identitas trigonometri menyatakan hubungan. If this expression were written in the form of an equation set equal to zero, we could solve each factor using the zero factor. Nilai tan x dari persamaan. Cos x (csc x + tan x) = cosx. Untuk. Bentuk Cosec X - Cos X Cot X Equivalent Dengan.
From www.cuemath.com
Differentiation of Trigonometric Functions Trig Derivatives Bentuk Cosec X - Cos X Cot X Equivalent Dengan We can also divide the other way around (such as adjacent/opposite instead of opposite/adjacent) to get: Cos x (csc x + tan x) = cosx. Here, 'x' is a variable which can. In the expression cosx(cscx+tanx), each term refers to a common trigonometric function of an angle x. If this expression were written in the form of an equation set. Bentuk Cosec X - Cos X Cot X Equivalent Dengan.
From www.toppr.com
Evaluate intcot x/( cosec x cot x) dx Bentuk Cosec X - Cos X Cot X Equivalent Dengan Rumus identitas trigonometri menyatakan hubungan. If this expression were written in the form of an equation set equal to zero, we could solve each factor using the zero factor. Nilai tan x dari persamaan. Buktikan identitas trigonometri berikut ini. Cos x (csc x + tan x) = cosx. We can also divide the other way around (such as adjacent/opposite instead. Bentuk Cosec X - Cos X Cot X Equivalent Dengan.
From www.nesabamedia.com
Rumus Trigonometri Contoh Soal & Pembahasannya [LENGKAP] Bentuk Cosec X - Cos X Cot X Equivalent Dengan We can also divide the other way around (such as adjacent/opposite instead of opposite/adjacent) to get: Buktikan identitas trigonometri berikut ini. In the expression cosx(cscx+tanx), each term refers to a common trigonometric function of an angle x. Untuk menyederhanakan ekspresi trigonometri cos x (cosec x + tan x), kita gunakan identitas dasar trigonometri. If this expression were written in the. Bentuk Cosec X - Cos X Cot X Equivalent Dengan.
From owlcation.com
Trigonometry Graphing the Sine, Cosine and Tangent Functions Owlcation Bentuk Cosec X - Cos X Cot X Equivalent Dengan We can also divide the other way around (such as adjacent/opposite instead of opposite/adjacent) to get: Here, 'x' is a variable which can. Berikut penjelasan dan rumus identitas trigonometri: Cos x (csc x + tan x) = cosx. In the expression cosx(cscx+tanx), each term refers to a common trigonometric function of an angle x. Rumus identitas trigonometri menyatakan hubungan. If. Bentuk Cosec X - Cos X Cot X Equivalent Dengan.
From socratic.org
How do you verify the identity (cot x) / (csc x +1) = (csc x 1 Bentuk Cosec X - Cos X Cot X Equivalent Dengan Buktikan identitas trigonometri berikut ini. Rumus identitas trigonometri menyatakan hubungan. In the expression cosx(cscx+tanx), each term refers to a common trigonometric function of an angle x. Nilai tan x dari persamaan. Berikut penjelasan dan rumus identitas trigonometri: Here, 'x' is a variable which can. Diketahui trapesium abcd dengan ad // bc, sudut b=60, sud. If this expression were written in. Bentuk Cosec X - Cos X Cot X Equivalent Dengan.
From www.youtube.com
Verify the Trig Identity (1 + cos(x))/sin(x) = csc(x) + cot(x) YouTube Bentuk Cosec X - Cos X Cot X Equivalent Dengan In the expression cosx(cscx+tanx), each term refers to a common trigonometric function of an angle x. Rumus identitas trigonometri menyatakan hubungan. We can also divide the other way around (such as adjacent/opposite instead of opposite/adjacent) to get: Sin²a + cos²a = 1. Diketahui trapesium abcd dengan ad // bc, sudut b=60, sud. Buktikan identitas trigonometri berikut ini. Berikut penjelasan dan. Bentuk Cosec X - Cos X Cot X Equivalent Dengan.
From www.youtube.com
Get cosec^2x cot^2x =1 from sin^2x+cos^2x=1 YouTube Bentuk Cosec X - Cos X Cot X Equivalent Dengan We can also divide the other way around (such as adjacent/opposite instead of opposite/adjacent) to get: Diketahui trapesium abcd dengan ad // bc, sudut b=60, sud. Untuk menyederhanakan ekspresi trigonometri cos x (cosec x + tan x), kita gunakan identitas dasar trigonometri. If this expression were written in the form of an equation set equal to zero, we could solve. Bentuk Cosec X - Cos X Cot X Equivalent Dengan.