How A Spring Is Made . As an example, springs made from music wire are heated to around 260°c for one hour and then left to fully cool. Modern manufacturing processes typically use a conveyor belt oven. Here are some basics of springs including common spring types, uses, and how springs are made. In other words, a spring is elastic. Spring is generally understood by everyone, but most people don’t know what springs are made of or how they are made. A typical spring is a tightly wound coil or spiral of metal that stretches when you pull it (apply a force) and goes back to its original shape when you let it go again (remove the force). The energy expended in deforming the spring is stored. The purpose of this article is to describe how springs are. A spring is a device that changes its shape in response to an external force, returning to its original shape when the force is removed. To make a spring, a coil of carbon spring or stainless steel is placed onto a former, which curves the wire into the correct shape. The springs are placed into an oven and the temperature and duration depend on the size of the spring and its material. Explore how springs are made with our comprehensive guide on the manufacturing processes for coil, compression, and torsion.
from engineeringlearner.com
Here are some basics of springs including common spring types, uses, and how springs are made. To make a spring, a coil of carbon spring or stainless steel is placed onto a former, which curves the wire into the correct shape. As an example, springs made from music wire are heated to around 260°c for one hour and then left to fully cool. Spring is generally understood by everyone, but most people don’t know what springs are made of or how they are made. A typical spring is a tightly wound coil or spiral of metal that stretches when you pull it (apply a force) and goes back to its original shape when you let it go again (remove the force). In other words, a spring is elastic. The springs are placed into an oven and the temperature and duration depend on the size of the spring and its material. A spring is a device that changes its shape in response to an external force, returning to its original shape when the force is removed. Explore how springs are made with our comprehensive guide on the manufacturing processes for coil, compression, and torsion. Modern manufacturing processes typically use a conveyor belt oven.
Types of Spring and Their Uses [with Pictures] Engineering Learner
How A Spring Is Made The springs are placed into an oven and the temperature and duration depend on the size of the spring and its material. The springs are placed into an oven and the temperature and duration depend on the size of the spring and its material. A typical spring is a tightly wound coil or spiral of metal that stretches when you pull it (apply a force) and goes back to its original shape when you let it go again (remove the force). A spring is a device that changes its shape in response to an external force, returning to its original shape when the force is removed. As an example, springs made from music wire are heated to around 260°c for one hour and then left to fully cool. The energy expended in deforming the spring is stored. Explore how springs are made with our comprehensive guide on the manufacturing processes for coil, compression, and torsion. In other words, a spring is elastic. Here are some basics of springs including common spring types, uses, and how springs are made. To make a spring, a coil of carbon spring or stainless steel is placed onto a former, which curves the wire into the correct shape. The purpose of this article is to describe how springs are. Spring is generally understood by everyone, but most people don’t know what springs are made of or how they are made. Modern manufacturing processes typically use a conveyor belt oven.
From www.mechanicalbooster.com
Types of Springs Mechanical Booster How A Spring Is Made As an example, springs made from music wire are heated to around 260°c for one hour and then left to fully cool. The energy expended in deforming the spring is stored. To make a spring, a coil of carbon spring or stainless steel is placed onto a former, which curves the wire into the correct shape. The purpose of this. How A Spring Is Made.
From www.aratariathome.com
How to Create a Spring Tablescape — Aratari At Home How A Spring Is Made As an example, springs made from music wire are heated to around 260°c for one hour and then left to fully cool. In other words, a spring is elastic. Explore how springs are made with our comprehensive guide on the manufacturing processes for coil, compression, and torsion. The purpose of this article is to describe how springs are. Modern manufacturing. How A Spring Is Made.
From fyovvdwdo.blob.core.windows.net
How To Make A Homemade String Instrument at Barbara Rowell blog How A Spring Is Made Spring is generally understood by everyone, but most people don’t know what springs are made of or how they are made. Modern manufacturing processes typically use a conveyor belt oven. Explore how springs are made with our comprehensive guide on the manufacturing processes for coil, compression, and torsion. To make a spring, a coil of carbon spring or stainless steel. How A Spring Is Made.
From www.researchgate.net
Illustrative presentation on how springs are formed. A spring is formed How A Spring Is Made Here are some basics of springs including common spring types, uses, and how springs are made. Modern manufacturing processes typically use a conveyor belt oven. The springs are placed into an oven and the temperature and duration depend on the size of the spring and its material. A spring is a device that changes its shape in response to an. How A Spring Is Made.
From www.youtube.com
How to Make a Spring Amazing Technique YouTube How A Spring Is Made Explore how springs are made with our comprehensive guide on the manufacturing processes for coil, compression, and torsion. The energy expended in deforming the spring is stored. As an example, springs made from music wire are heated to around 260°c for one hour and then left to fully cool. The purpose of this article is to describe how springs are.. How A Spring Is Made.
From forum.gelblasterforum.com
All things springs Gearbox & Gearbox internals Gel Blaster Forum How A Spring Is Made As an example, springs made from music wire are heated to around 260°c for one hour and then left to fully cool. Here are some basics of springs including common spring types, uses, and how springs are made. Spring is generally understood by everyone, but most people don’t know what springs are made of or how they are made. The. How A Spring Is Made.
From www.europeansprings.com
Springs in Physics European Springs How A Spring Is Made To make a spring, a coil of carbon spring or stainless steel is placed onto a former, which curves the wire into the correct shape. Spring is generally understood by everyone, but most people don’t know what springs are made of or how they are made. Modern manufacturing processes typically use a conveyor belt oven. In other words, a spring. How A Spring Is Made.
From mechanicalbasics.com
What Is A Spring Types Of Springs Springs Materials How A Spring Is Made The energy expended in deforming the spring is stored. A spring is a device that changes its shape in response to an external force, returning to its original shape when the force is removed. As an example, springs made from music wire are heated to around 260°c for one hour and then left to fully cool. A typical spring is. How A Spring Is Made.
From www.chegg.com
Solved (25 Points) Consider A System Of Two Springs, With... How A Spring Is Made As an example, springs made from music wire are heated to around 260°c for one hour and then left to fully cool. Spring is generally understood by everyone, but most people don’t know what springs are made of or how they are made. Here are some basics of springs including common spring types, uses, and how springs are made. A. How A Spring Is Made.
From www.tevema.com
The Long and Short of It Is a longer spring stiffer? Technische How A Spring Is Made Explore how springs are made with our comprehensive guide on the manufacturing processes for coil, compression, and torsion. Here are some basics of springs including common spring types, uses, and how springs are made. A spring is a device that changes its shape in response to an external force, returning to its original shape when the force is removed. In. How A Spring Is Made.
From www.designideas.pics
Spring flowers Design Ideas How A Spring Is Made A spring is a device that changes its shape in response to an external force, returning to its original shape when the force is removed. To make a spring, a coil of carbon spring or stainless steel is placed onto a former, which curves the wire into the correct shape. In other words, a spring is elastic. Explore how springs. How A Spring Is Made.
From www.pinterest.ph
Types of Springs Different Types of Springs Leaf Springs Helical How A Spring Is Made Spring is generally understood by everyone, but most people don’t know what springs are made of or how they are made. To make a spring, a coil of carbon spring or stainless steel is placed onto a former, which curves the wire into the correct shape. The energy expended in deforming the spring is stored. Modern manufacturing processes typically use. How A Spring Is Made.
From lesjoforssprings.com
Glossary of Spring Terminology & Definitions Lesjöfors How A Spring Is Made The energy expended in deforming the spring is stored. Spring is generally understood by everyone, but most people don’t know what springs are made of or how they are made. The springs are placed into an oven and the temperature and duration depend on the size of the spring and its material. Explore how springs are made with our comprehensive. How A Spring Is Made.
From www.madebyteachers.com
Spring is in the air First Day of Spring Flowers Handprint Art How A Spring Is Made A spring is a device that changes its shape in response to an external force, returning to its original shape when the force is removed. To make a spring, a coil of carbon spring or stainless steel is placed onto a former, which curves the wire into the correct shape. Here are some basics of springs including common spring types,. How A Spring Is Made.
From www.chegg.com
Solved You use a spring with spring constant k=430 N/m to How A Spring Is Made The energy expended in deforming the spring is stored. Spring is generally understood by everyone, but most people don’t know what springs are made of or how they are made. In other words, a spring is elastic. Explore how springs are made with our comprehensive guide on the manufacturing processes for coil, compression, and torsion. To make a spring, a. How A Spring Is Made.
From engineeringlearner.com
Types of Spring and Their Uses Engineering Learner How A Spring Is Made As an example, springs made from music wire are heated to around 260°c for one hour and then left to fully cool. The springs are placed into an oven and the temperature and duration depend on the size of the spring and its material. To make a spring, a coil of carbon spring or stainless steel is placed onto a. How A Spring Is Made.
From www.chegg.com
Solved A spring is hung from a ceiling, and an object How A Spring Is Made The purpose of this article is to describe how springs are. As an example, springs made from music wire are heated to around 260°c for one hour and then left to fully cool. The springs are placed into an oven and the temperature and duration depend on the size of the spring and its material. A typical spring is a. How A Spring Is Made.
From www.jamesspring.com
How Springs Are Made Types of Springs James Spring & Wire How A Spring Is Made A typical spring is a tightly wound coil or spiral of metal that stretches when you pull it (apply a force) and goes back to its original shape when you let it go again (remove the force). The purpose of this article is to describe how springs are. In other words, a spring is elastic. Explore how springs are made. How A Spring Is Made.
From www.springsfast.com
Hooke’s Law and the Science Behind Springs WB Jones How A Spring Is Made Modern manufacturing processes typically use a conveyor belt oven. The purpose of this article is to describe how springs are. A typical spring is a tightly wound coil or spiral of metal that stretches when you pull it (apply a force) and goes back to its original shape when you let it go again (remove the force). Here are some. How A Spring Is Made.
From ajaxsprings.com
Learn Some Spring Terminology Ajax Wire & Spring How A Spring Is Made To make a spring, a coil of carbon spring or stainless steel is placed onto a former, which curves the wire into the correct shape. Spring is generally understood by everyone, but most people don’t know what springs are made of or how they are made. Here are some basics of springs including common spring types, uses, and how springs. How A Spring Is Made.
From www.youtube.com
How Springs are Created YouTube How A Spring Is Made Explore how springs are made with our comprehensive guide on the manufacturing processes for coil, compression, and torsion. Spring is generally understood by everyone, but most people don’t know what springs are made of or how they are made. The purpose of this article is to describe how springs are. To make a spring, a coil of carbon spring or. How A Spring Is Made.
From www.publicdomainpictures.net
Spring Is Here Free Stock Photo Public Domain Pictures How A Spring Is Made The purpose of this article is to describe how springs are. In other words, a spring is elastic. Modern manufacturing processes typically use a conveyor belt oven. A spring is a device that changes its shape in response to an external force, returning to its original shape when the force is removed. A typical spring is a tightly wound coil. How A Spring Is Made.
From www.youtube.com
Spring Making with Incredible Technique How to Make a Spring at Home How A Spring Is Made In other words, a spring is elastic. A spring is a device that changes its shape in response to an external force, returning to its original shape when the force is removed. As an example, springs made from music wire are heated to around 260°c for one hour and then left to fully cool. The purpose of this article is. How A Spring Is Made.
From www.pinterest.ph
spring is in the air bulletin board with paper flowers and clothes pegs How A Spring Is Made As an example, springs made from music wire are heated to around 260°c for one hour and then left to fully cool. Spring is generally understood by everyone, but most people don’t know what springs are made of or how they are made. Modern manufacturing processes typically use a conveyor belt oven. A spring is a device that changes its. How A Spring Is Made.
From www.storyboardthat.com
Picture Encyclopedia of Springs What do Springs do? How A Spring Is Made In other words, a spring is elastic. Modern manufacturing processes typically use a conveyor belt oven. A typical spring is a tightly wound coil or spiral of metal that stretches when you pull it (apply a force) and goes back to its original shape when you let it go again (remove the force). The purpose of this article is to. How A Spring Is Made.
From www.designingbuildings.co.uk
Spring materials Designing Buildings How A Spring Is Made The energy expended in deforming the spring is stored. Here are some basics of springs including common spring types, uses, and how springs are made. The springs are placed into an oven and the temperature and duration depend on the size of the spring and its material. A typical spring is a tightly wound coil or spiral of metal that. How A Spring Is Made.
From www.chegg.com
Solved The force generated by a spring is given by F=kx, How A Spring Is Made As an example, springs made from music wire are heated to around 260°c for one hour and then left to fully cool. The energy expended in deforming the spring is stored. The purpose of this article is to describe how springs are. The springs are placed into an oven and the temperature and duration depend on the size of the. How A Spring Is Made.
From blog.thepipingmart.com
Why is spring made of steel, not of copper? How A Spring Is Made Modern manufacturing processes typically use a conveyor belt oven. The energy expended in deforming the spring is stored. To make a spring, a coil of carbon spring or stainless steel is placed onto a former, which curves the wire into the correct shape. A spring is a device that changes its shape in response to an external force, returning to. How A Spring Is Made.
From nefariousracing.com
What Are Swift Spring & Why Do So Many Coilovers Use Them? How A Spring Is Made The purpose of this article is to describe how springs are. Modern manufacturing processes typically use a conveyor belt oven. In other words, a spring is elastic. The springs are placed into an oven and the temperature and duration depend on the size of the spring and its material. Spring is generally understood by everyone, but most people don’t know. How A Spring Is Made.
From engineeringlearner.com
Types of Spring and Their Uses [with Pictures] Engineering Learner How A Spring Is Made The purpose of this article is to describe how springs are. Spring is generally understood by everyone, but most people don’t know what springs are made of or how they are made. To make a spring, a coil of carbon spring or stainless steel is placed onto a former, which curves the wire into the correct shape. Modern manufacturing processes. How A Spring Is Made.
From www.studocu.com
Spring Spring When closecoiled helical spring, composed of a wire of How A Spring Is Made The springs are placed into an oven and the temperature and duration depend on the size of the spring and its material. A spring is a device that changes its shape in response to an external force, returning to its original shape when the force is removed. Here are some basics of springs including common spring types, uses, and how. How A Spring Is Made.
From www.studocu.com
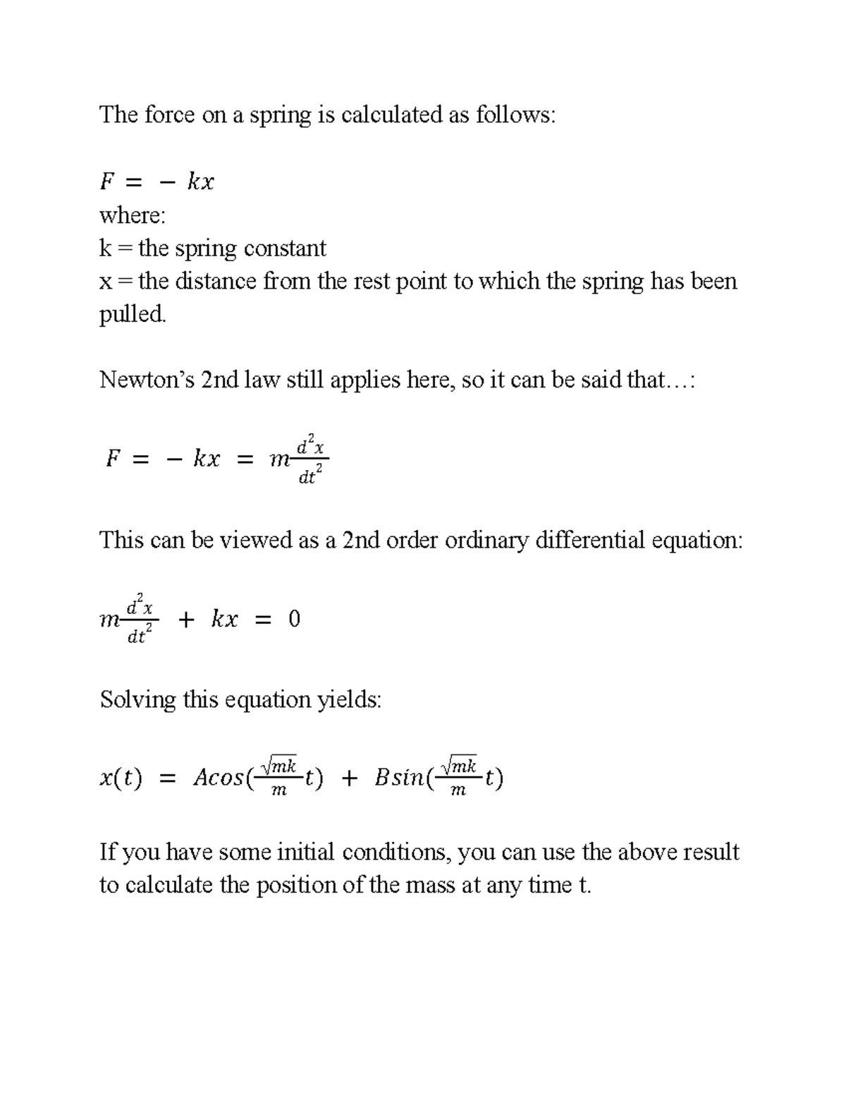
Simple Harmonic Motion The force on a spring is calculated as follows How A Spring Is Made A spring is a device that changes its shape in response to an external force, returning to its original shape when the force is removed. To make a spring, a coil of carbon spring or stainless steel is placed onto a former, which curves the wire into the correct shape. Spring is generally understood by everyone, but most people don’t. How A Spring Is Made.
From www.worksheetsplanet.com
What is a Spring Definition of Spring How A Spring Is Made To make a spring, a coil of carbon spring or stainless steel is placed onto a former, which curves the wire into the correct shape. Here are some basics of springs including common spring types, uses, and how springs are made. The purpose of this article is to describe how springs are. A spring is a device that changes its. How A Spring Is Made.
From www.physicsclassroom.com
Equation Overview for Simple Harmonic Motion Problems How A Spring Is Made The energy expended in deforming the spring is stored. Spring is generally understood by everyone, but most people don’t know what springs are made of or how they are made. The springs are placed into an oven and the temperature and duration depend on the size of the spring and its material. Explore how springs are made with our comprehensive. How A Spring Is Made.
From www.guitarbased.com
The Fascinating Process Behind How Guitar Strings Are Made How A Spring Is Made A typical spring is a tightly wound coil or spiral of metal that stretches when you pull it (apply a force) and goes back to its original shape when you let it go again (remove the force). To make a spring, a coil of carbon spring or stainless steel is placed onto a former, which curves the wire into the. How A Spring Is Made.