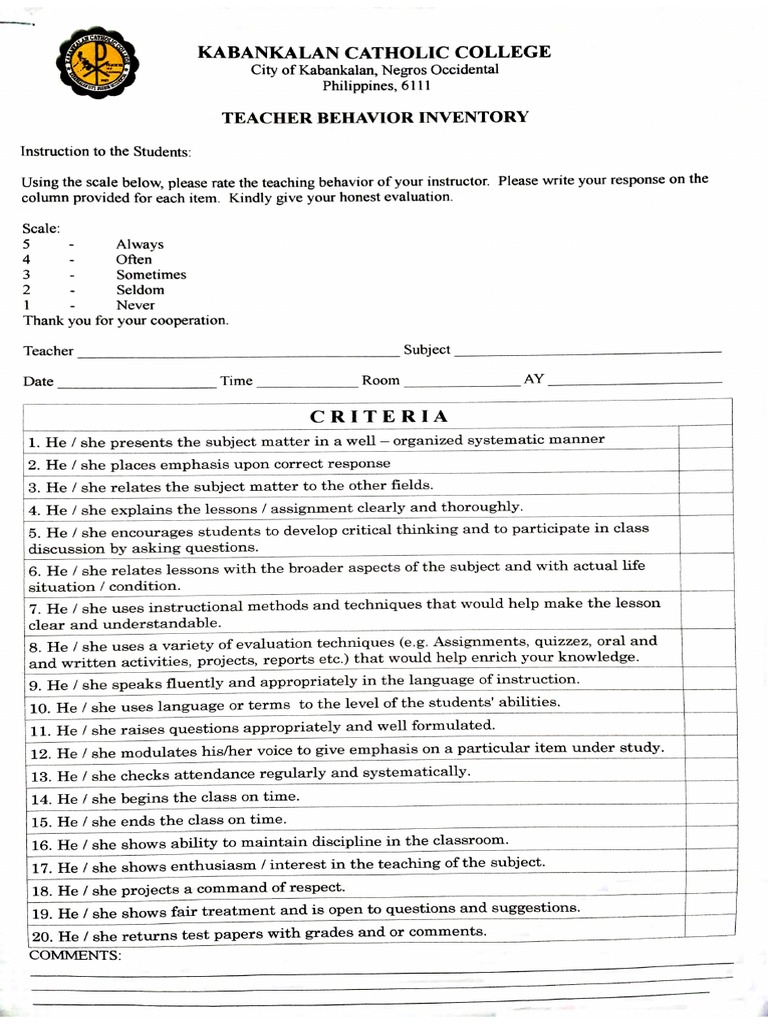
Faculty Performance Appraisal Reports . The evaluation is conducted by the. 10k+ visitors in the past month Outline the timeline and process for faculty annual reviews. This document contains a faculty performance appraisal report that evaluates a teacher's performance in 5 areas:. This form seeks to evaluate the personal and professional characteristics of the faculty. • provides clear supporting evidence of the nature of faculty performance, including identifying any discrepancies between planned and actual. The ratings which follow describe performance in areas of responsibility as described in the appropriate. Annual review (evaluation of past performance) examples. As a result of attending this session, participants will be able to: 10k+ visitors in the past month Faculty performance evaluation (fpe) examples by category. The cfe guide to faculty annual reviews is an interactive resource that was developed to assist chairs in planning and completing reviews with. Please fill the box that most objectively.
from www.slideshare.net
Annual review (evaluation of past performance) examples. The ratings which follow describe performance in areas of responsibility as described in the appropriate. Faculty performance evaluation (fpe) examples by category. Please fill the box that most objectively. This document contains a faculty performance appraisal report that evaluates a teacher's performance in 5 areas:. 10k+ visitors in the past month This form seeks to evaluate the personal and professional characteristics of the faculty. Outline the timeline and process for faculty annual reviews. 10k+ visitors in the past month • provides clear supporting evidence of the nature of faculty performance, including identifying any discrepancies between planned and actual.
Faculty Performance Appraisal
Faculty Performance Appraisal Reports The cfe guide to faculty annual reviews is an interactive resource that was developed to assist chairs in planning and completing reviews with. • provides clear supporting evidence of the nature of faculty performance, including identifying any discrepancies between planned and actual. The cfe guide to faculty annual reviews is an interactive resource that was developed to assist chairs in planning and completing reviews with. Please fill the box that most objectively. This document contains a faculty performance appraisal report that evaluates a teacher's performance in 5 areas:. As a result of attending this session, participants will be able to: 10k+ visitors in the past month The ratings which follow describe performance in areas of responsibility as described in the appropriate. 10k+ visitors in the past month Outline the timeline and process for faculty annual reviews. Faculty performance evaluation (fpe) examples by category. This form seeks to evaluate the personal and professional characteristics of the faculty. Annual review (evaluation of past performance) examples. The evaluation is conducted by the.
From es.scribd.com
Sample Employee Appraisal Reports.pdf Competence (Human Resources Faculty Performance Appraisal Reports • provides clear supporting evidence of the nature of faculty performance, including identifying any discrepancies between planned and actual. Outline the timeline and process for faculty annual reviews. Please fill the box that most objectively. This form seeks to evaluate the personal and professional characteristics of the faculty. Annual review (evaluation of past performance) examples. 10k+ visitors in the past. Faculty Performance Appraisal Reports.
From www.sampletemplates.com
FREE 12+ Performance Appraisal in PDF MS Word Faculty Performance Appraisal Reports Faculty performance evaluation (fpe) examples by category. • provides clear supporting evidence of the nature of faculty performance, including identifying any discrepancies between planned and actual. The evaluation is conducted by the. This form seeks to evaluate the personal and professional characteristics of the faculty. Please fill the box that most objectively. Outline the timeline and process for faculty annual. Faculty Performance Appraisal Reports.
From www.slideshare.net
Faculty Performance Appraisal Faculty Performance Appraisal Reports Faculty performance evaluation (fpe) examples by category. The ratings which follow describe performance in areas of responsibility as described in the appropriate. This document contains a faculty performance appraisal report that evaluates a teacher's performance in 5 areas:. 10k+ visitors in the past month Please fill the box that most objectively. This form seeks to evaluate the personal and professional. Faculty Performance Appraisal Reports.
From scite.ai
Faculty performance evaluation system with application of data Faculty Performance Appraisal Reports 10k+ visitors in the past month As a result of attending this session, participants will be able to: 10k+ visitors in the past month • provides clear supporting evidence of the nature of faculty performance, including identifying any discrepancies between planned and actual. The evaluation is conducted by the. Please fill the box that most objectively. Faculty performance evaluation (fpe). Faculty Performance Appraisal Reports.
From www.sampleforms.com
FREE 25+ Performance Appraisal Form Samples, PDF, MS Word, Google Docs Faculty Performance Appraisal Reports The ratings which follow describe performance in areas of responsibility as described in the appropriate. The cfe guide to faculty annual reviews is an interactive resource that was developed to assist chairs in planning and completing reviews with. The evaluation is conducted by the. Outline the timeline and process for faculty annual reviews. This form seeks to evaluate the personal. Faculty Performance Appraisal Reports.
From www.sampletemplates.com
FREE 31+ Sample Appraisal in PDF MS Word Faculty Performance Appraisal Reports This form seeks to evaluate the personal and professional characteristics of the faculty. The ratings which follow describe performance in areas of responsibility as described in the appropriate. As a result of attending this session, participants will be able to: This document contains a faculty performance appraisal report that evaluates a teacher's performance in 5 areas:. Outline the timeline and. Faculty Performance Appraisal Reports.
From www.sampletemplates.com
FREE 9+ Sample Performance Evaluation Templates in PDF MS Word Faculty Performance Appraisal Reports Annual review (evaluation of past performance) examples. The evaluation is conducted by the. • provides clear supporting evidence of the nature of faculty performance, including identifying any discrepancies between planned and actual. This document contains a faculty performance appraisal report that evaluates a teacher's performance in 5 areas:. Please fill the box that most objectively. This form seeks to evaluate. Faculty Performance Appraisal Reports.
From templates.rjuuc.edu.np
Performance Report Template Faculty Performance Appraisal Reports Annual review (evaluation of past performance) examples. The ratings which follow describe performance in areas of responsibility as described in the appropriate. The cfe guide to faculty annual reviews is an interactive resource that was developed to assist chairs in planning and completing reviews with. 10k+ visitors in the past month 10k+ visitors in the past month As a result. Faculty Performance Appraisal Reports.
From www.sampleforms.com
FREE 10+ Student Evaluation Forms in PDF MS Word Faculty Performance Appraisal Reports • provides clear supporting evidence of the nature of faculty performance, including identifying any discrepancies between planned and actual. Annual review (evaluation of past performance) examples. As a result of attending this session, participants will be able to: Faculty performance evaluation (fpe) examples by category. 10k+ visitors in the past month The evaluation is conducted by the. The cfe guide. Faculty Performance Appraisal Reports.
From www.sampleforms.com
FREE 25+ Performance Appraisal Form Samples, PDF, MS Word, Google Docs Faculty Performance Appraisal Reports The cfe guide to faculty annual reviews is an interactive resource that was developed to assist chairs in planning and completing reviews with. Outline the timeline and process for faculty annual reviews. This document contains a faculty performance appraisal report that evaluates a teacher's performance in 5 areas:. 10k+ visitors in the past month The ratings which follow describe performance. Faculty Performance Appraisal Reports.
From www.dochub.com
Teachers performance report sample Fill out & sign online DocHub Faculty Performance Appraisal Reports The ratings which follow describe performance in areas of responsibility as described in the appropriate. Please fill the box that most objectively. Faculty performance evaluation (fpe) examples by category. 10k+ visitors in the past month • provides clear supporting evidence of the nature of faculty performance, including identifying any discrepancies between planned and actual. The evaluation is conducted by the.. Faculty Performance Appraisal Reports.
From www.examples.com
Performance Report 17+ Examples, Format, Word, Google Docs, Apple Faculty Performance Appraisal Reports 10k+ visitors in the past month Please fill the box that most objectively. As a result of attending this session, participants will be able to: Annual review (evaluation of past performance) examples. Outline the timeline and process for faculty annual reviews. 10k+ visitors in the past month • provides clear supporting evidence of the nature of faculty performance, including identifying. Faculty Performance Appraisal Reports.
From www.sampleforms.com
FREE 28+ Appraisal Form Samples, PDF, MS Word, Google Docs Faculty Performance Appraisal Reports • provides clear supporting evidence of the nature of faculty performance, including identifying any discrepancies between planned and actual. The cfe guide to faculty annual reviews is an interactive resource that was developed to assist chairs in planning and completing reviews with. 10k+ visitors in the past month As a result of attending this session, participants will be able to:. Faculty Performance Appraisal Reports.
From www.sampleforms.com
FREE 12+ Sample Performance Evaluation Forms in PDF Word Excel Faculty Performance Appraisal Reports 10k+ visitors in the past month The ratings which follow describe performance in areas of responsibility as described in the appropriate. • provides clear supporting evidence of the nature of faculty performance, including identifying any discrepancies between planned and actual. As a result of attending this session, participants will be able to: Annual review (evaluation of past performance) examples. This. Faculty Performance Appraisal Reports.
From www.scribd.com
staffperformanceappraisalform.pdf Performance Appraisal Business Faculty Performance Appraisal Reports 10k+ visitors in the past month • provides clear supporting evidence of the nature of faculty performance, including identifying any discrepancies between planned and actual. The ratings which follow describe performance in areas of responsibility as described in the appropriate. As a result of attending this session, participants will be able to: 10k+ visitors in the past month The evaluation. Faculty Performance Appraisal Reports.
From www.template.net
Education Faculty Evaluation Summary Report in Word, Google Docs Faculty Performance Appraisal Reports The cfe guide to faculty annual reviews is an interactive resource that was developed to assist chairs in planning and completing reviews with. Annual review (evaluation of past performance) examples. 10k+ visitors in the past month The ratings which follow describe performance in areas of responsibility as described in the appropriate. This form seeks to evaluate the personal and professional. Faculty Performance Appraisal Reports.
From www.scribd.com
Faculty Performance Appraisal Reports PDF Faculty Performance Appraisal Reports • provides clear supporting evidence of the nature of faculty performance, including identifying any discrepancies between planned and actual. This document contains a faculty performance appraisal report that evaluates a teacher's performance in 5 areas:. Faculty performance evaluation (fpe) examples by category. As a result of attending this session, participants will be able to: This form seeks to evaluate the. Faculty Performance Appraisal Reports.
From www.examples.com
Performance Report 17+ Examples, Format, Word, Google Docs, Apple Faculty Performance Appraisal Reports This form seeks to evaluate the personal and professional characteristics of the faculty. 10k+ visitors in the past month The evaluation is conducted by the. Faculty performance evaluation (fpe) examples by category. The cfe guide to faculty annual reviews is an interactive resource that was developed to assist chairs in planning and completing reviews with. Please fill the box that. Faculty Performance Appraisal Reports.
From www.template.net
Evaluation Report Template 12+ Free Sample, Example Format PDF, Apple Faculty Performance Appraisal Reports The cfe guide to faculty annual reviews is an interactive resource that was developed to assist chairs in planning and completing reviews with. As a result of attending this session, participants will be able to: 10k+ visitors in the past month The evaluation is conducted by the. Please fill the box that most objectively. Faculty performance evaluation (fpe) examples by. Faculty Performance Appraisal Reports.
From templatelab.com
50 Printable Teacher Evaluation Forms [Free] ᐅ TemplateLab Faculty Performance Appraisal Reports This document contains a faculty performance appraisal report that evaluates a teacher's performance in 5 areas:. The ratings which follow describe performance in areas of responsibility as described in the appropriate. Faculty performance evaluation (fpe) examples by category. The evaluation is conducted by the. Please fill the box that most objectively. Annual review (evaluation of past performance) examples. 10k+ visitors. Faculty Performance Appraisal Reports.
From www.sampletemplates.com
FREE 31+ Sample Appraisal in PDF MS Word Faculty Performance Appraisal Reports Annual review (evaluation of past performance) examples. The evaluation is conducted by the. The cfe guide to faculty annual reviews is an interactive resource that was developed to assist chairs in planning and completing reviews with. As a result of attending this session, participants will be able to: The ratings which follow describe performance in areas of responsibility as described. Faculty Performance Appraisal Reports.
From www.sampleforms.com
FREE 23+ Staff Appraisal Forms in PDF MS Word Excel Faculty Performance Appraisal Reports This form seeks to evaluate the personal and professional characteristics of the faculty. This document contains a faculty performance appraisal report that evaluates a teacher's performance in 5 areas:. Outline the timeline and process for faculty annual reviews. 10k+ visitors in the past month Please fill the box that most objectively. • provides clear supporting evidence of the nature of. Faculty Performance Appraisal Reports.
From www.sampleforms.com
FREE 11+ Sample Faculty Evaluation Forms in PDF MS Word Faculty Performance Appraisal Reports • provides clear supporting evidence of the nature of faculty performance, including identifying any discrepancies between planned and actual. 10k+ visitors in the past month Outline the timeline and process for faculty annual reviews. The evaluation is conducted by the. Faculty performance evaluation (fpe) examples by category. This document contains a faculty performance appraisal report that evaluates a teacher's performance. Faculty Performance Appraisal Reports.
From roccofersgarrison.blogspot.com
Performance Appraisal Form Example Faculty Performance Appraisal Reports 10k+ visitors in the past month Annual review (evaluation of past performance) examples. The cfe guide to faculty annual reviews is an interactive resource that was developed to assist chairs in planning and completing reviews with. As a result of attending this session, participants will be able to: • provides clear supporting evidence of the nature of faculty performance, including. Faculty Performance Appraisal Reports.
From www.sampletemplates.com
FREE 12+ Performance Appraisal in PDF MS Word Faculty Performance Appraisal Reports Annual review (evaluation of past performance) examples. As a result of attending this session, participants will be able to: This form seeks to evaluate the personal and professional characteristics of the faculty. The cfe guide to faculty annual reviews is an interactive resource that was developed to assist chairs in planning and completing reviews with. The evaluation is conducted by. Faculty Performance Appraisal Reports.
From www.pinterest.com
Annual Performance Review Template Awesome 5 6 Annual Performance Faculty Performance Appraisal Reports As a result of attending this session, participants will be able to: This form seeks to evaluate the personal and professional characteristics of the faculty. Please fill the box that most objectively. Annual review (evaluation of past performance) examples. 10k+ visitors in the past month • provides clear supporting evidence of the nature of faculty performance, including identifying any discrepancies. Faculty Performance Appraisal Reports.
From www.utimes.pitt.edu
New staff appraisal forms debut for use in spring 2022 University Faculty Performance Appraisal Reports The evaluation is conducted by the. 10k+ visitors in the past month Faculty performance evaluation (fpe) examples by category. • provides clear supporting evidence of the nature of faculty performance, including identifying any discrepancies between planned and actual. This form seeks to evaluate the personal and professional characteristics of the faculty. This document contains a faculty performance appraisal report that. Faculty Performance Appraisal Reports.
From www.sampletemplates.com
FREE 6+ Sample Performance Evaluation Forms in PDF MS Word Faculty Performance Appraisal Reports This form seeks to evaluate the personal and professional characteristics of the faculty. The ratings which follow describe performance in areas of responsibility as described in the appropriate. Outline the timeline and process for faculty annual reviews. • provides clear supporting evidence of the nature of faculty performance, including identifying any discrepancies between planned and actual. Please fill the box. Faculty Performance Appraisal Reports.
From www.creativetemplate.net
26+ Employee Performance Review Templates Free Word, Excel Formats Faculty Performance Appraisal Reports Annual review (evaluation of past performance) examples. This document contains a faculty performance appraisal report that evaluates a teacher's performance in 5 areas:. The evaluation is conducted by the. 10k+ visitors in the past month As a result of attending this session, participants will be able to: Outline the timeline and process for faculty annual reviews. The ratings which follow. Faculty Performance Appraisal Reports.
From templatelab.com
50 Printable Teacher Evaluation Forms [Free] ᐅ TemplateLab Faculty Performance Appraisal Reports This document contains a faculty performance appraisal report that evaluates a teacher's performance in 5 areas:. As a result of attending this session, participants will be able to: Annual review (evaluation of past performance) examples. This form seeks to evaluate the personal and professional characteristics of the faculty. Please fill the box that most objectively. Faculty performance evaluation (fpe) examples. Faculty Performance Appraisal Reports.
From www.sampleforms.com
FREE 7+ Annual Performance Appraisal Forms in PDF MS Word Faculty Performance Appraisal Reports As a result of attending this session, participants will be able to: This form seeks to evaluate the personal and professional characteristics of the faculty. The cfe guide to faculty annual reviews is an interactive resource that was developed to assist chairs in planning and completing reviews with. Faculty performance evaluation (fpe) examples by category. 10k+ visitors in the past. Faculty Performance Appraisal Reports.
From www.researchgate.net
(PDF) Evaluation Criteria for Performance Appraisal of Faculty Members Faculty Performance Appraisal Reports This document contains a faculty performance appraisal report that evaluates a teacher's performance in 5 areas:. As a result of attending this session, participants will be able to: The cfe guide to faculty annual reviews is an interactive resource that was developed to assist chairs in planning and completing reviews with. Annual review (evaluation of past performance) examples. 10k+ visitors. Faculty Performance Appraisal Reports.
From www.sampletemplates.com
8+ Evaluation Report Templates Sample Templates Faculty Performance Appraisal Reports This document contains a faculty performance appraisal report that evaluates a teacher's performance in 5 areas:. Annual review (evaluation of past performance) examples. The ratings which follow describe performance in areas of responsibility as described in the appropriate. This form seeks to evaluate the personal and professional characteristics of the faculty. 10k+ visitors in the past month • provides clear. Faculty Performance Appraisal Reports.
From www.scribd.com
Faculty Performance Appraisal Report (Draft1) PDF Learning Faculty Performance Appraisal Reports As a result of attending this session, participants will be able to: Annual review (evaluation of past performance) examples. The cfe guide to faculty annual reviews is an interactive resource that was developed to assist chairs in planning and completing reviews with. Please fill the box that most objectively. 10k+ visitors in the past month Faculty performance evaluation (fpe) examples. Faculty Performance Appraisal Reports.
From www.allbusinesstemplates.com
Staff Performance Appraisal Form Templates at Faculty Performance Appraisal Reports As a result of attending this session, participants will be able to: Outline the timeline and process for faculty annual reviews. The cfe guide to faculty annual reviews is an interactive resource that was developed to assist chairs in planning and completing reviews with. Faculty performance evaluation (fpe) examples by category. This document contains a faculty performance appraisal report that. Faculty Performance Appraisal Reports.