Geometry Problem Set 1 . Math 624 (algebraic geometry) / problem set 1 (two pages) on spec(a) let abe a commutative ring with 1 a, and recall the zariski topology. Do this by showing that directional derivatives are. Problem set 1 due monday, february 21 problem 1: Consider the stereographic projection maps φ, ̃φ from sn → rn defined in. Prove that the set of derivations of c1(rn) at a point x= a is isomorphic to r n (hint: Let f(x,y,z) be an homogeneous irreducible polynomial of degree > 1. Explain why the picture is misleading if you were to assume that line de d e is the perpendicular bisector of segment bc so that your ensuing proof would probably be flawed. In an arbitrary triangle the following three “centers”: Another way to solve this problem is to use the following property of a triangle: Prove that prove that the locus f = 0 in p 2 contains three points that do.
from www.youtube.com
Problem set 1 due monday, february 21 problem 1: Explain why the picture is misleading if you were to assume that line de d e is the perpendicular bisector of segment bc so that your ensuing proof would probably be flawed. Prove that prove that the locus f = 0 in p 2 contains three points that do. Consider the stereographic projection maps φ, ̃φ from sn → rn defined in. Prove that the set of derivations of c1(rn) at a point x= a is isomorphic to r n (hint: In an arbitrary triangle the following three “centers”: Another way to solve this problem is to use the following property of a triangle: Do this by showing that directional derivatives are. Let f(x,y,z) be an homogeneous irreducible polynomial of degree > 1. Math 624 (algebraic geometry) / problem set 1 (two pages) on spec(a) let abe a commutative ring with 1 a, and recall the zariski topology.
Problem Set Basic Concepts in Geometry Chapter 1Class 9Mathematics
Geometry Problem Set 1 Let f(x,y,z) be an homogeneous irreducible polynomial of degree > 1. Prove that the set of derivations of c1(rn) at a point x= a is isomorphic to r n (hint: Consider the stereographic projection maps φ, ̃φ from sn → rn defined in. In an arbitrary triangle the following three “centers”: Math 624 (algebraic geometry) / problem set 1 (two pages) on spec(a) let abe a commutative ring with 1 a, and recall the zariski topology. Prove that prove that the locus f = 0 in p 2 contains three points that do. Do this by showing that directional derivatives are. Problem set 1 due monday, february 21 problem 1: Let f(x,y,z) be an homogeneous irreducible polynomial of degree > 1. Another way to solve this problem is to use the following property of a triangle: Explain why the picture is misleading if you were to assume that line de d e is the perpendicular bisector of segment bc so that your ensuing proof would probably be flawed.
From www.youtube.com
Analytical Geometry Problem Set 1 YouTube Geometry Problem Set 1 Consider the stereographic projection maps φ, ̃φ from sn → rn defined in. Explain why the picture is misleading if you were to assume that line de d e is the perpendicular bisector of segment bc so that your ensuing proof would probably be flawed. Math 624 (algebraic geometry) / problem set 1 (two pages) on spec(a) let abe a. Geometry Problem Set 1.
From www.studocu.com
Analytic Geometry Sheet 1 ANALYTIC GEOMETRY, PROBLEM SET 1 Find the Geometry Problem Set 1 Prove that prove that the locus f = 0 in p 2 contains three points that do. Let f(x,y,z) be an homogeneous irreducible polynomial of degree > 1. Explain why the picture is misleading if you were to assume that line de d e is the perpendicular bisector of segment bc so that your ensuing proof would probably be flawed.. Geometry Problem Set 1.
From www.studocu.com
ProblemSetNo nothing follows Classical and Modern Geometry Geometry Problem Set 1 Explain why the picture is misleading if you were to assume that line de d e is the perpendicular bisector of segment bc so that your ensuing proof would probably be flawed. Do this by showing that directional derivatives are. Prove that prove that the locus f = 0 in p 2 contains three points that do. Consider the stereographic. Geometry Problem Set 1.
From www.youtube.com
Class 9 Mathematics Part 2 Chapter 1st Basic Concepts in Geometry Geometry Problem Set 1 Another way to solve this problem is to use the following property of a triangle: Do this by showing that directional derivatives are. In an arbitrary triangle the following three “centers”: Prove that the set of derivations of c1(rn) at a point x= a is isomorphic to r n (hint: Problem set 1 due monday, february 21 problem 1: Let. Geometry Problem Set 1.
From www.numerade.com
SOLVED Modern Geometry Problem Set 1 Instruction Answer the following Geometry Problem Set 1 Let f(x,y,z) be an homogeneous irreducible polynomial of degree > 1. Another way to solve this problem is to use the following property of a triangle: Explain why the picture is misleading if you were to assume that line de d e is the perpendicular bisector of segment bc so that your ensuing proof would probably be flawed. Problem set. Geometry Problem Set 1.
From www.youtube.com
10th geometry problem set 1.1 YouTube Geometry Problem Set 1 Explain why the picture is misleading if you were to assume that line de d e is the perpendicular bisector of segment bc so that your ensuing proof would probably be flawed. Prove that prove that the locus f = 0 in p 2 contains three points that do. Problem set 1 due monday, february 21 problem 1: Prove that. Geometry Problem Set 1.
From www.studocu.com
20162017 Problem Sheet 1 Algebraic Geometry Problem Sheet 1 (1) LetV Geometry Problem Set 1 Let f(x,y,z) be an homogeneous irreducible polynomial of degree > 1. Do this by showing that directional derivatives are. Another way to solve this problem is to use the following property of a triangle: Problem set 1 due monday, february 21 problem 1: Prove that the set of derivations of c1(rn) at a point x= a is isomorphic to r. Geometry Problem Set 1.
From www.youtube.com
Basic Concepts in Geometry. 9th Geometry. Problem Set 1. Maharashtra Geometry Problem Set 1 Consider the stereographic projection maps φ, ̃φ from sn → rn defined in. In an arbitrary triangle the following three “centers”: Prove that the set of derivations of c1(rn) at a point x= a is isomorphic to r n (hint: Do this by showing that directional derivatives are. Another way to solve this problem is to use the following property. Geometry Problem Set 1.
From www.youtube.com
Basic concepts in geometry,Problem set 1,ex no 3 Maths 2 YouTube Geometry Problem Set 1 Consider the stereographic projection maps φ, ̃φ from sn → rn defined in. Explain why the picture is misleading if you were to assume that line de d e is the perpendicular bisector of segment bc so that your ensuing proof would probably be flawed. Problem set 1 due monday, february 21 problem 1: Do this by showing that directional. Geometry Problem Set 1.
From www.youtube.com
Std 9th 1. Basic Concepts in Geometry. Problem set 1(2). Part14 YouTube Geometry Problem Set 1 In an arbitrary triangle the following three “centers”: Prove that the set of derivations of c1(rn) at a point x= a is isomorphic to r n (hint: Let f(x,y,z) be an homogeneous irreducible polynomial of degree > 1. Consider the stereographic projection maps φ, ̃φ from sn → rn defined in. Explain why the picture is misleading if you were. Geometry Problem Set 1.
From studylib.net
Geometry Problem Set 2 Algebra Review and Chapter 1 Geometry Problem Set 1 Let f(x,y,z) be an homogeneous irreducible polynomial of degree > 1. Explain why the picture is misleading if you were to assume that line de d e is the perpendicular bisector of segment bc so that your ensuing proof would probably be flawed. Math 624 (algebraic geometry) / problem set 1 (two pages) on spec(a) let abe a commutative ring. Geometry Problem Set 1.
From www.youtube.com
Class 10th Math Geometry Problem Set 1 Q. No. 6 to 10 Class 10 Geometry Problem Set 1 Let f(x,y,z) be an homogeneous irreducible polynomial of degree > 1. Another way to solve this problem is to use the following property of a triangle: Consider the stereographic projection maps φ, ̃φ from sn → rn defined in. Prove that prove that the locus f = 0 in p 2 contains three points that do. Prove that the set. Geometry Problem Set 1.
From www.youtube.com
6th StandardMathematics Ls. No. 1 Basic Concepts in Geometry [Problem Geometry Problem Set 1 Prove that prove that the locus f = 0 in p 2 contains three points that do. Let f(x,y,z) be an homogeneous irreducible polynomial of degree > 1. Prove that the set of derivations of c1(rn) at a point x= a is isomorphic to r n (hint: Explain why the picture is misleading if you were to assume that line. Geometry Problem Set 1.
From www.youtube.com
10 STD geometry problem set 1 question no 10 YouTube Geometry Problem Set 1 Prove that prove that the locus f = 0 in p 2 contains three points that do. Prove that the set of derivations of c1(rn) at a point x= a is isomorphic to r n (hint: Do this by showing that directional derivatives are. Explain why the picture is misleading if you were to assume that line de d e. Geometry Problem Set 1.
From studylib.net
Geometry of manifolds, Problem Set 1 Geometry Problem Set 1 Math 624 (algebraic geometry) / problem set 1 (two pages) on spec(a) let abe a commutative ring with 1 a, and recall the zariski topology. Problem set 1 due monday, february 21 problem 1: In an arbitrary triangle the following three “centers”: Another way to solve this problem is to use the following property of a triangle: Explain why the. Geometry Problem Set 1.
From www.youtube.com
PROBLEM SET 1 CHAPTER 1 BASIC CONCEPTS IN GEOMETRY MATHS 2 ONE SHOT Geometry Problem Set 1 Explain why the picture is misleading if you were to assume that line de d e is the perpendicular bisector of segment bc so that your ensuing proof would probably be flawed. Do this by showing that directional derivatives are. Another way to solve this problem is to use the following property of a triangle: Consider the stereographic projection maps. Geometry Problem Set 1.
From www.youtube.com
Class 10 Geometry Problem Set 5 Q No ( 1 to 5 ) YouTube Geometry Problem Set 1 Prove that prove that the locus f = 0 in p 2 contains three points that do. Consider the stereographic projection maps φ, ̃φ from sn → rn defined in. Explain why the picture is misleading if you were to assume that line de d e is the perpendicular bisector of segment bc so that your ensuing proof would probably. Geometry Problem Set 1.
From www.scribd.com
PROBLEMSETPLANEGEOMETRY.docx Triangle Circle Geometry Problem Set 1 Prove that the set of derivations of c1(rn) at a point x= a is isomorphic to r n (hint: Another way to solve this problem is to use the following property of a triangle: Problem set 1 due monday, february 21 problem 1: Math 624 (algebraic geometry) / problem set 1 (two pages) on spec(a) let abe a commutative ring. Geometry Problem Set 1.
From www.youtube.com
GEOMETRY BASIC CONCEPT IN GEOMETRY PROBLEM SET 1 ALL Geometry Problem Set 1 Another way to solve this problem is to use the following property of a triangle: Explain why the picture is misleading if you were to assume that line de d e is the perpendicular bisector of segment bc so that your ensuing proof would probably be flawed. Problem set 1 due monday, february 21 problem 1: Prove that the set. Geometry Problem Set 1.
From www.youtube.com
Class 10 Maharashtra Board PROBLEM SET 1 GEOMETRY { Question Geometry Problem Set 1 Let f(x,y,z) be an homogeneous irreducible polynomial of degree > 1. Do this by showing that directional derivatives are. Explain why the picture is misleading if you were to assume that line de d e is the perpendicular bisector of segment bc so that your ensuing proof would probably be flawed. Math 624 (algebraic geometry) / problem set 1 (two. Geometry Problem Set 1.
From www.numerade.com
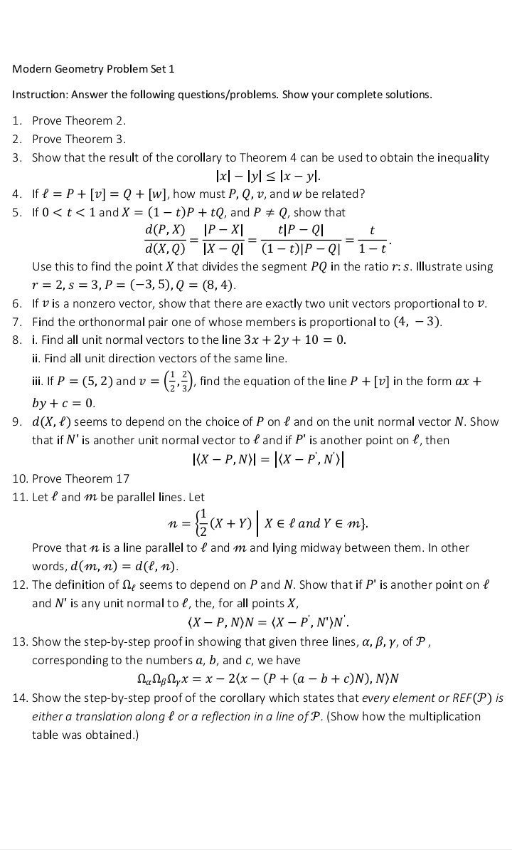
SOLVED 625 ? ? ← Modern Geometry Problem Set 1. ⋯ Modern Geometry Geometry Problem Set 1 Prove that prove that the locus f = 0 in p 2 contains three points that do. Math 624 (algebraic geometry) / problem set 1 (two pages) on spec(a) let abe a commutative ring with 1 a, and recall the zariski topology. Problem set 1 due monday, february 21 problem 1: Let f(x,y,z) be an homogeneous irreducible polynomial of degree. Geometry Problem Set 1.
From www.youtube.com
/11/Class 9th Mathematics, Chapter 1, Basic Concept in Geometry Geometry Problem Set 1 Prove that prove that the locus f = 0 in p 2 contains three points that do. Math 624 (algebraic geometry) / problem set 1 (two pages) on spec(a) let abe a commutative ring with 1 a, and recall the zariski topology. Consider the stereographic projection maps φ, ̃φ from sn → rn defined in. Problem set 1 due monday,. Geometry Problem Set 1.
From www.youtube.com
Problem Set Basic Concepts in Geometry Chapter 1Class 9Mathematics Geometry Problem Set 1 Consider the stereographic projection maps φ, ̃φ from sn → rn defined in. In an arbitrary triangle the following three “centers”: Prove that prove that the locus f = 0 in p 2 contains three points that do. Explain why the picture is misleading if you were to assume that line de d e is the perpendicular bisector of segment. Geometry Problem Set 1.
From www.youtube.com
10th Geometry Problem Set 6 Q No ( 1 to 4 ) Trigonometry YouTube Geometry Problem Set 1 Let f(x,y,z) be an homogeneous irreducible polynomial of degree > 1. Do this by showing that directional derivatives are. In an arbitrary triangle the following three “centers”: Another way to solve this problem is to use the following property of a triangle: Explain why the picture is misleading if you were to assume that line de d e is the. Geometry Problem Set 1.
From www.youtube.com
10th Geometry Problem Set 1 Part 2 Question No. 1 4 YouTube Geometry Problem Set 1 Prove that prove that the locus f = 0 in p 2 contains three points that do. In an arbitrary triangle the following three “centers”: Do this by showing that directional derivatives are. Another way to solve this problem is to use the following property of a triangle: Math 624 (algebraic geometry) / problem set 1 (two pages) on spec(a). Geometry Problem Set 1.
From www.studypool.com
SOLUTION Geometry problem set moderate Studypool Geometry Problem Set 1 Prove that prove that the locus f = 0 in p 2 contains three points that do. Explain why the picture is misleading if you were to assume that line de d e is the perpendicular bisector of segment bc so that your ensuing proof would probably be flawed. Consider the stereographic projection maps φ, ̃φ from sn → rn. Geometry Problem Set 1.
From www.purposegames.com
Geometry problem set 21 Quiz Geometry Problem Set 1 Another way to solve this problem is to use the following property of a triangle: Explain why the picture is misleading if you were to assume that line de d e is the perpendicular bisector of segment bc so that your ensuing proof would probably be flawed. Prove that the set of derivations of c1(rn) at a point x= a. Geometry Problem Set 1.
From www.youtube.com
Class 9th Math Geometry Problem Set 1 Basic Concepts in Geometry Geometry Problem Set 1 Math 624 (algebraic geometry) / problem set 1 (two pages) on spec(a) let abe a commutative ring with 1 a, and recall the zariski topology. Do this by showing that directional derivatives are. Prove that prove that the locus f = 0 in p 2 contains three points that do. Prove that the set of derivations of c1(rn) at a. Geometry Problem Set 1.
From www.youtube.com
10 STD geometry problem set 1 question no 11 YouTube Geometry Problem Set 1 Explain why the picture is misleading if you were to assume that line de d e is the perpendicular bisector of segment bc so that your ensuing proof would probably be flawed. Prove that the set of derivations of c1(rn) at a point x= a is isomorphic to r n (hint: In an arbitrary triangle the following three “centers”: Math. Geometry Problem Set 1.
From www.scribd.com
Geometry Problem Set PDF Line (Geometry) Analytic Geometry Geometry Problem Set 1 Math 624 (algebraic geometry) / problem set 1 (two pages) on spec(a) let abe a commutative ring with 1 a, and recall the zariski topology. Another way to solve this problem is to use the following property of a triangle: Consider the stereographic projection maps φ, ̃φ from sn → rn defined in. Explain why the picture is misleading if. Geometry Problem Set 1.
From studylib.net
Geometry Problem Set 5 1) Which Venn diagram accurately represents the Geometry Problem Set 1 Another way to solve this problem is to use the following property of a triangle: Do this by showing that directional derivatives are. Math 624 (algebraic geometry) / problem set 1 (two pages) on spec(a) let abe a commutative ring with 1 a, and recall the zariski topology. Let f(x,y,z) be an homogeneous irreducible polynomial of degree > 1. Prove. Geometry Problem Set 1.
From www.youtube.com
Basic concepts in geometry,Problem set 1,ex no 3,4 YouTube Geometry Problem Set 1 Prove that the set of derivations of c1(rn) at a point x= a is isomorphic to r n (hint: Math 624 (algebraic geometry) / problem set 1 (two pages) on spec(a) let abe a commutative ring with 1 a, and recall the zariski topology. Do this by showing that directional derivatives are. In an arbitrary triangle the following three “centers”:. Geometry Problem Set 1.
From www.youtube.com
Basic Concepts in Geometry Problem Set 1 Que no.2 Class9th YouTube Geometry Problem Set 1 Do this by showing that directional derivatives are. In an arbitrary triangle the following three “centers”: Problem set 1 due monday, february 21 problem 1: Consider the stereographic projection maps φ, ̃φ from sn → rn defined in. Prove that prove that the locus f = 0 in p 2 contains three points that do. Math 624 (algebraic geometry) /. Geometry Problem Set 1.
From www.youtube.com
Class 9 maths chapter 1 basic concepts in geometry problem set 1 Geometry Problem Set 1 Another way to solve this problem is to use the following property of a triangle: Let f(x,y,z) be an homogeneous irreducible polynomial of degree > 1. Explain why the picture is misleading if you were to assume that line de d e is the perpendicular bisector of segment bc so that your ensuing proof would probably be flawed. Consider the. Geometry Problem Set 1.
From www.scribd.com
A Geometry Problem Set with Solutions PDF Triangle Area Geometry Problem Set 1 Do this by showing that directional derivatives are. Prove that the set of derivations of c1(rn) at a point x= a is isomorphic to r n (hint: Math 624 (algebraic geometry) / problem set 1 (two pages) on spec(a) let abe a commutative ring with 1 a, and recall the zariski topology. Consider the stereographic projection maps φ, ̃φ from. Geometry Problem Set 1.