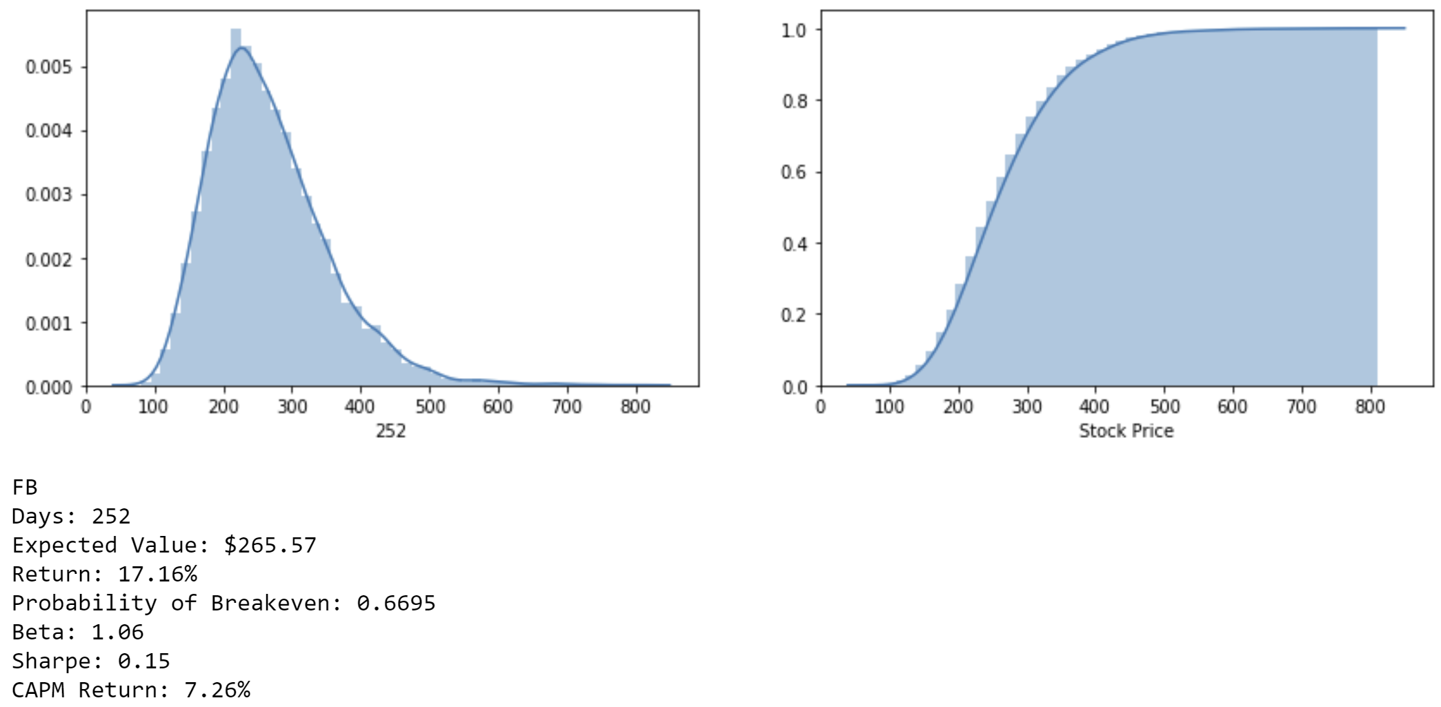
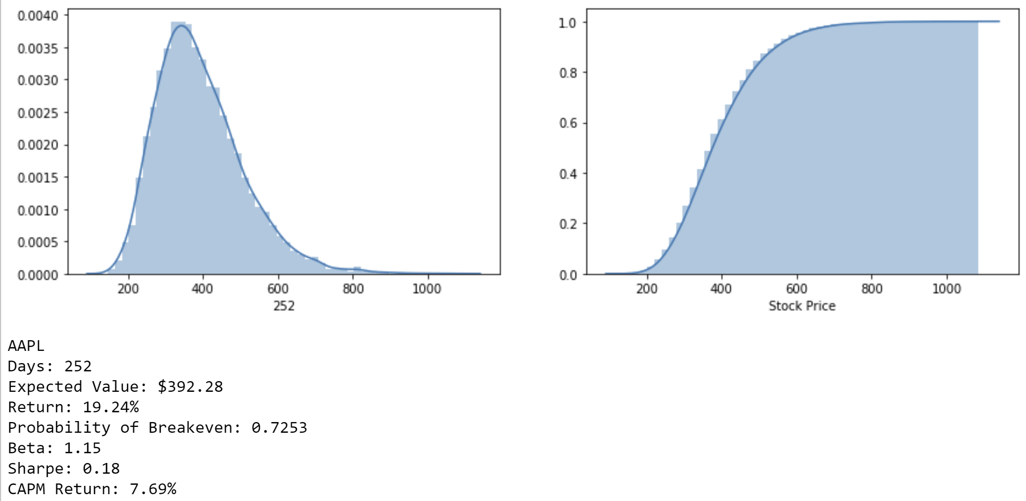
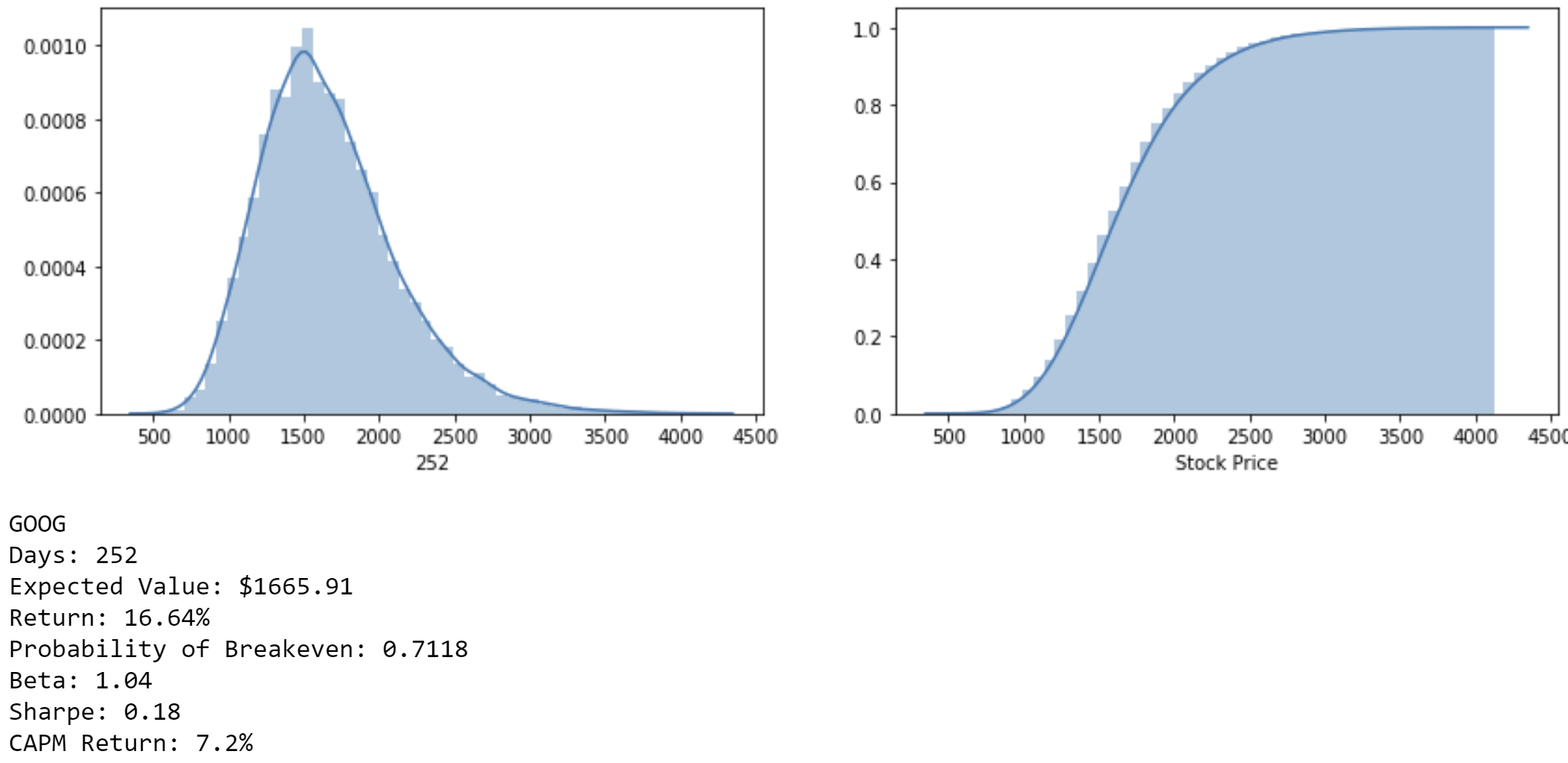
Monte Carlo Simulation Stock Price . as mentioned, monte carlo makes sense when an analytic solution is unavailable or its solution is intractable. Excel can also be used to compute historical volatility to plug into your models for. monte carlo simulations are an extremely effective tool for handling risks and probabilities, used for everything from constructing dcf. we’ve ran a monte carlo simulation that predicts google’s stock price 50 days into the future. a practical guide to using monte carlo simulations for predicting stock prices. using monte carlo methods, we'll write a quick simulation to predict future stock price outcomes for apple ($aapl) using python. You can read more about. a monte carlo simulation allows an analyst to determine the size of the portfolio a client would need at retirement to support their desired retirement lifestyle and other desired gifts and. With the price_paths matrix, now you can calculate the probability of profitability, or the.
from datascienceplus.com
With the price_paths matrix, now you can calculate the probability of profitability, or the. Excel can also be used to compute historical volatility to plug into your models for. monte carlo simulations are an extremely effective tool for handling risks and probabilities, used for everything from constructing dcf. using monte carlo methods, we'll write a quick simulation to predict future stock price outcomes for apple ($aapl) using python. we’ve ran a monte carlo simulation that predicts google’s stock price 50 days into the future. a practical guide to using monte carlo simulations for predicting stock prices. a monte carlo simulation allows an analyst to determine the size of the portfolio a client would need at retirement to support their desired retirement lifestyle and other desired gifts and. You can read more about. as mentioned, monte carlo makes sense when an analytic solution is unavailable or its solution is intractable.
How to apply Monte Carlo simulation to forecast Stock prices using Python DataScience+
Monte Carlo Simulation Stock Price as mentioned, monte carlo makes sense when an analytic solution is unavailable or its solution is intractable. a practical guide to using monte carlo simulations for predicting stock prices. monte carlo simulations are an extremely effective tool for handling risks and probabilities, used for everything from constructing dcf. we’ve ran a monte carlo simulation that predicts google’s stock price 50 days into the future. a monte carlo simulation allows an analyst to determine the size of the portfolio a client would need at retirement to support their desired retirement lifestyle and other desired gifts and. using monte carlo methods, we'll write a quick simulation to predict future stock price outcomes for apple ($aapl) using python. as mentioned, monte carlo makes sense when an analytic solution is unavailable or its solution is intractable. Excel can also be used to compute historical volatility to plug into your models for. You can read more about. With the price_paths matrix, now you can calculate the probability of profitability, or the.
From stocktradingteacher.com
Monte Carlo Simulation stock trading systems Stock Trading Teacher Monte Carlo Simulation Stock Price You can read more about. using monte carlo methods, we'll write a quick simulation to predict future stock price outcomes for apple ($aapl) using python. a monte carlo simulation allows an analyst to determine the size of the portfolio a client would need at retirement to support their desired retirement lifestyle and other desired gifts and. we’ve. Monte Carlo Simulation Stock Price.
From marketxls.com
Monte Carlo Simulation Excel (with MarketXLS addin formulae) Monte Carlo Simulation Stock Price monte carlo simulations are an extremely effective tool for handling risks and probabilities, used for everything from constructing dcf. With the price_paths matrix, now you can calculate the probability of profitability, or the. a monte carlo simulation allows an analyst to determine the size of the portfolio a client would need at retirement to support their desired retirement. Monte Carlo Simulation Stock Price.
From www.youtube.com
Monte Carlo Simulation to Predict Stock Prices R YouTube Monte Carlo Simulation Stock Price a practical guide to using monte carlo simulations for predicting stock prices. Excel can also be used to compute historical volatility to plug into your models for. monte carlo simulations are an extremely effective tool for handling risks and probabilities, used for everything from constructing dcf. With the price_paths matrix, now you can calculate the probability of profitability,. Monte Carlo Simulation Stock Price.
From medium.com
Monte Carlo Simulation. Using R by ERZYLIA HERLIN BRILIANT Medium Monte Carlo Simulation Stock Price we’ve ran a monte carlo simulation that predicts google’s stock price 50 days into the future. You can read more about. using monte carlo methods, we'll write a quick simulation to predict future stock price outcomes for apple ($aapl) using python. Excel can also be used to compute historical volatility to plug into your models for. With the. Monte Carlo Simulation Stock Price.
From marketxls.com
FormulaMonteCarloSimulation.png Monte Carlo Simulation Stock Price You can read more about. we’ve ran a monte carlo simulation that predicts google’s stock price 50 days into the future. a practical guide to using monte carlo simulations for predicting stock prices. With the price_paths matrix, now you can calculate the probability of profitability, or the. monte carlo simulations are an extremely effective tool for handling. Monte Carlo Simulation Stock Price.
From 440analytics.com
Monte Carlo Simulating Opus Banks Stock Price I 440 Analytics Monte Carlo Simulation Stock Price Excel can also be used to compute historical volatility to plug into your models for. monte carlo simulations are an extremely effective tool for handling risks and probabilities, used for everything from constructing dcf. With the price_paths matrix, now you can calculate the probability of profitability, or the. a monte carlo simulation allows an analyst to determine the. Monte Carlo Simulation Stock Price.
From datascienceplus.com
How to apply Monte Carlo simulation to forecast Stock prices using Python DataScience+ Monte Carlo Simulation Stock Price With the price_paths matrix, now you can calculate the probability of profitability, or the. Excel can also be used to compute historical volatility to plug into your models for. You can read more about. monte carlo simulations are an extremely effective tool for handling risks and probabilities, used for everything from constructing dcf. a practical guide to using. Monte Carlo Simulation Stock Price.
From israeldi.github.io
2 Monte Carlo Simulation of Stock Portfolio in R, Matlab, and Python Projects and Coursework Monte Carlo Simulation Stock Price You can read more about. using monte carlo methods, we'll write a quick simulation to predict future stock price outcomes for apple ($aapl) using python. Excel can also be used to compute historical volatility to plug into your models for. With the price_paths matrix, now you can calculate the probability of profitability, or the. as mentioned, monte carlo. Monte Carlo Simulation Stock Price.
From www.youtube.com
Lecture 112 Monte Carlo Simulation (Stock Price Process) YouTube Monte Carlo Simulation Stock Price using monte carlo methods, we'll write a quick simulation to predict future stock price outcomes for apple ($aapl) using python. a practical guide to using monte carlo simulations for predicting stock prices. we’ve ran a monte carlo simulation that predicts google’s stock price 50 days into the future. With the price_paths matrix, now you can calculate the. Monte Carlo Simulation Stock Price.
From tempsee.com
Monte Carlo Simulation Stock Price Calculator Excel Monte Carlo Simulation Stock Price a practical guide to using monte carlo simulations for predicting stock prices. Excel can also be used to compute historical volatility to plug into your models for. we’ve ran a monte carlo simulation that predicts google’s stock price 50 days into the future. a monte carlo simulation allows an analyst to determine the size of the portfolio. Monte Carlo Simulation Stock Price.
From www.youtube.com
How to Value Stock Options with Monte Carlo Simulation in Excel YouTube Monte Carlo Simulation Stock Price we’ve ran a monte carlo simulation that predicts google’s stock price 50 days into the future. using monte carlo methods, we'll write a quick simulation to predict future stock price outcomes for apple ($aapl) using python. as mentioned, monte carlo makes sense when an analytic solution is unavailable or its solution is intractable. a monte carlo. Monte Carlo Simulation Stock Price.
From datascienceplus.com
How to apply Monte Carlo simulation to forecast Stock prices using Python DataScience+ Monte Carlo Simulation Stock Price we’ve ran a monte carlo simulation that predicts google’s stock price 50 days into the future. using monte carlo methods, we'll write a quick simulation to predict future stock price outcomes for apple ($aapl) using python. as mentioned, monte carlo makes sense when an analytic solution is unavailable or its solution is intractable. monte carlo simulations. Monte Carlo Simulation Stock Price.
From stockstrategytest.com
Monte Carlo Simulation Stock Strategy Test Monte Carlo Simulation Stock Price using monte carlo methods, we'll write a quick simulation to predict future stock price outcomes for apple ($aapl) using python. You can read more about. With the price_paths matrix, now you can calculate the probability of profitability, or the. monte carlo simulations are an extremely effective tool for handling risks and probabilities, used for everything from constructing dcf.. Monte Carlo Simulation Stock Price.
From evergreensmallbusiness.com
Stock Market Monte Carlo Simulation Spreadsheet Monte Carlo Simulation Stock Price monte carlo simulations are an extremely effective tool for handling risks and probabilities, used for everything from constructing dcf. Excel can also be used to compute historical volatility to plug into your models for. as mentioned, monte carlo makes sense when an analytic solution is unavailable or its solution is intractable. using monte carlo methods, we'll write. Monte Carlo Simulation Stock Price.
From www.youtube.com
Simple Monte Carlo Simulation of Stock Prices with Python YouTube Monte Carlo Simulation Stock Price as mentioned, monte carlo makes sense when an analytic solution is unavailable or its solution is intractable. With the price_paths matrix, now you can calculate the probability of profitability, or the. using monte carlo methods, we'll write a quick simulation to predict future stock price outcomes for apple ($aapl) using python. a practical guide to using monte. Monte Carlo Simulation Stock Price.
From datascienceplus.com
How to apply Monte Carlo simulation to forecast Stock prices using Python DataScience+ Monte Carlo Simulation Stock Price With the price_paths matrix, now you can calculate the probability of profitability, or the. a practical guide to using monte carlo simulations for predicting stock prices. You can read more about. a monte carlo simulation allows an analyst to determine the size of the portfolio a client would need at retirement to support their desired retirement lifestyle and. Monte Carlo Simulation Stock Price.
From www.youtube.com
Basic Monte Carlo Simulation of a Stock Portfolio YouTube Monte Carlo Simulation Stock Price we’ve ran a monte carlo simulation that predicts google’s stock price 50 days into the future. Excel can also be used to compute historical volatility to plug into your models for. With the price_paths matrix, now you can calculate the probability of profitability, or the. a practical guide to using monte carlo simulations for predicting stock prices. . Monte Carlo Simulation Stock Price.
From www.marketingmediaweb.com
All About Monte Carlo Simulation Stock Trading Systems Monte Carlo Simulation Stock Price With the price_paths matrix, now you can calculate the probability of profitability, or the. a monte carlo simulation allows an analyst to determine the size of the portfolio a client would need at retirement to support their desired retirement lifestyle and other desired gifts and. as mentioned, monte carlo makes sense when an analytic solution is unavailable or. Monte Carlo Simulation Stock Price.
From www.turingfinance.com
Intelligent Algorithmic Trading Systems Monte Carlo Simulation Stock Price using monte carlo methods, we'll write a quick simulation to predict future stock price outcomes for apple ($aapl) using python. a monte carlo simulation allows an analyst to determine the size of the portfolio a client would need at retirement to support their desired retirement lifestyle and other desired gifts and. we’ve ran a monte carlo simulation. Monte Carlo Simulation Stock Price.
From towardsdatascience.com
Monte Carlo Simulation in R with focus on Financial Data Monte Carlo Simulation Stock Price a practical guide to using monte carlo simulations for predicting stock prices. monte carlo simulations are an extremely effective tool for handling risks and probabilities, used for everything from constructing dcf. using monte carlo methods, we'll write a quick simulation to predict future stock price outcomes for apple ($aapl) using python. a monte carlo simulation allows. Monte Carlo Simulation Stock Price.
From medium.com
Monte Carlo Simulations for Stock Price Predictions [Python] by Elias Melul Analytics Vidhya Monte Carlo Simulation Stock Price as mentioned, monte carlo makes sense when an analytic solution is unavailable or its solution is intractable. With the price_paths matrix, now you can calculate the probability of profitability, or the. we’ve ran a monte carlo simulation that predicts google’s stock price 50 days into the future. monte carlo simulations are an extremely effective tool for handling. Monte Carlo Simulation Stock Price.
From www.tejwin.com
Options Pricing with Monte Carlo Simulation TEJ Monte Carlo Simulation Stock Price a monte carlo simulation allows an analyst to determine the size of the portfolio a client would need at retirement to support their desired retirement lifestyle and other desired gifts and. You can read more about. With the price_paths matrix, now you can calculate the probability of profitability, or the. Excel can also be used to compute historical volatility. Monte Carlo Simulation Stock Price.
From www.youtube.com
How to Simulate Stock Price Changes with Excel (Monte Carlo) YouTube Monte Carlo Simulation Stock Price using monte carlo methods, we'll write a quick simulation to predict future stock price outcomes for apple ($aapl) using python. You can read more about. a practical guide to using monte carlo simulations for predicting stock prices. as mentioned, monte carlo makes sense when an analytic solution is unavailable or its solution is intractable. Excel can also. Monte Carlo Simulation Stock Price.
From developer.nvidia.com
American Option Pricing with Monte Carlo Simulation in CUDA C++ NVIDIA Technical Blog Monte Carlo Simulation Stock Price monte carlo simulations are an extremely effective tool for handling risks and probabilities, used for everything from constructing dcf. a monte carlo simulation allows an analyst to determine the size of the portfolio a client would need at retirement to support their desired retirement lifestyle and other desired gifts and. as mentioned, monte carlo makes sense when. Monte Carlo Simulation Stock Price.
From medium.com
Monte Carlo Simulations for Stock Price Predictions [Python] by Elias Melul Analytics Vidhya Monte Carlo Simulation Stock Price a monte carlo simulation allows an analyst to determine the size of the portfolio a client would need at retirement to support their desired retirement lifestyle and other desired gifts and. monte carlo simulations are an extremely effective tool for handling risks and probabilities, used for everything from constructing dcf. we’ve ran a monte carlo simulation that. Monte Carlo Simulation Stock Price.
From github.com
GitHub Bradb101/MonteCarloSimulation Stock price prediction Monte Carlo Simulation Stock Price monte carlo simulations are an extremely effective tool for handling risks and probabilities, used for everything from constructing dcf. we’ve ran a monte carlo simulation that predicts google’s stock price 50 days into the future. a practical guide to using monte carlo simulations for predicting stock prices. using monte carlo methods, we'll write a quick simulation. Monte Carlo Simulation Stock Price.
From www.youtube.com
Monte Carlo Simulation of Stock Volatility YouTube Monte Carlo Simulation Stock Price using monte carlo methods, we'll write a quick simulation to predict future stock price outcomes for apple ($aapl) using python. You can read more about. a practical guide to using monte carlo simulations for predicting stock prices. monte carlo simulations are an extremely effective tool for handling risks and probabilities, used for everything from constructing dcf. . Monte Carlo Simulation Stock Price.
From www.datascienceinvestor.com
Using Monte Carlo simulations on price predictions Monte Carlo Simulation Stock Price using monte carlo methods, we'll write a quick simulation to predict future stock price outcomes for apple ($aapl) using python. With the price_paths matrix, now you can calculate the probability of profitability, or the. a monte carlo simulation allows an analyst to determine the size of the portfolio a client would need at retirement to support their desired. Monte Carlo Simulation Stock Price.
From medium.com
Monte Carlo Simulations for Stock Price Predictions [Python] by Elias Melul Analytics Vidhya Monte Carlo Simulation Stock Price using monte carlo methods, we'll write a quick simulation to predict future stock price outcomes for apple ($aapl) using python. You can read more about. we’ve ran a monte carlo simulation that predicts google’s stock price 50 days into the future. Excel can also be used to compute historical volatility to plug into your models for. monte. Monte Carlo Simulation Stock Price.
From community.alteryx.com
Stock Price Simulation Using Monte Carlo Methods Alteryx Community Monte Carlo Simulation Stock Price a monte carlo simulation allows an analyst to determine the size of the portfolio a client would need at retirement to support their desired retirement lifestyle and other desired gifts and. we’ve ran a monte carlo simulation that predicts google’s stock price 50 days into the future. using monte carlo methods, we'll write a quick simulation to. Monte Carlo Simulation Stock Price.
From www.semanticscholar.org
[PDF] Monte Carlo Simulations of Stock Prices Modelling the probability of future stock Monte Carlo Simulation Stock Price using monte carlo methods, we'll write a quick simulation to predict future stock price outcomes for apple ($aapl) using python. a monte carlo simulation allows an analyst to determine the size of the portfolio a client would need at retirement to support their desired retirement lifestyle and other desired gifts and. as mentioned, monte carlo makes sense. Monte Carlo Simulation Stock Price.
From medium.com
Monte Carlo Simulations for Stock Price Predictions [Python] by Elias Melul Analytics Vidhya Monte Carlo Simulation Stock Price a practical guide to using monte carlo simulations for predicting stock prices. With the price_paths matrix, now you can calculate the probability of profitability, or the. monte carlo simulations are an extremely effective tool for handling risks and probabilities, used for everything from constructing dcf. Excel can also be used to compute historical volatility to plug into your. Monte Carlo Simulation Stock Price.
From medium.com
Monte Carlo Simulations for Stock Price Predictions [Python] by Elias Melul Analytics Vidhya Monte Carlo Simulation Stock Price With the price_paths matrix, now you can calculate the probability of profitability, or the. You can read more about. as mentioned, monte carlo makes sense when an analytic solution is unavailable or its solution is intractable. monte carlo simulations are an extremely effective tool for handling risks and probabilities, used for everything from constructing dcf. using monte. Monte Carlo Simulation Stock Price.
From elvinarjuna.blogspot.com
Monte carlo investment simulation ElvinArjuna Monte Carlo Simulation Stock Price monte carlo simulations are an extremely effective tool for handling risks and probabilities, used for everything from constructing dcf. Excel can also be used to compute historical volatility to plug into your models for. With the price_paths matrix, now you can calculate the probability of profitability, or the. as mentioned, monte carlo makes sense when an analytic solution. Monte Carlo Simulation Stock Price.
From www.simtrade.fr
Monte Carlo simulation method SimTrade blogSimTrade blog Monte Carlo Simulation Stock Price With the price_paths matrix, now you can calculate the probability of profitability, or the. as mentioned, monte carlo makes sense when an analytic solution is unavailable or its solution is intractable. using monte carlo methods, we'll write a quick simulation to predict future stock price outcomes for apple ($aapl) using python. Excel can also be used to compute. Monte Carlo Simulation Stock Price.