Is Tin Iodide Soluble In Water . Tin(iv) iodide, also known as stannic iodide, is the chemical compound with the formula sni4. The table below provides information on the variation of solubility of different substances (mostly inorganic compounds) in water with. Chemspider record containing structure, synonyms, properties, vendors and database links for tin (iv) iodide. Find the molar solubility of a compound in water with the solubility calculator, rules or a table. Refer to the chart below to find reference values per gram of. Water temperature can have a significant effect on the solubility of compounds. In this section we will apply chemical equilibria to the concept of solubility and introduce a type of equilibrium constant, the.
        
        from www.compoundchem.com 
     
        
        Refer to the chart below to find reference values per gram of. In this section we will apply chemical equilibria to the concept of solubility and introduce a type of equilibrium constant, the. Find the molar solubility of a compound in water with the solubility calculator, rules or a table. Tin(iv) iodide, also known as stannic iodide, is the chemical compound with the formula sni4. Water temperature can have a significant effect on the solubility of compounds. The table below provides information on the variation of solubility of different substances (mostly inorganic compounds) in water with. Chemspider record containing structure, synonyms, properties, vendors and database links for tin (iv) iodide.
    
    	
            
	
		 
         
    Chemical Reactions Lead Iodide & 'Golden Rain' Compound Interest 
    Is Tin Iodide Soluble In Water  Water temperature can have a significant effect on the solubility of compounds. The table below provides information on the variation of solubility of different substances (mostly inorganic compounds) in water with. Find the molar solubility of a compound in water with the solubility calculator, rules or a table. Refer to the chart below to find reference values per gram of. In this section we will apply chemical equilibria to the concept of solubility and introduce a type of equilibrium constant, the. Water temperature can have a significant effect on the solubility of compounds. Tin(iv) iodide, also known as stannic iodide, is the chemical compound with the formula sni4. Chemspider record containing structure, synonyms, properties, vendors and database links for tin (iv) iodide.
            
	
		 
         
 
    
        From www.alamy.com 
                    Iodine, and Potassium Iodide (KI), in water. KI makes the Iodine soluable in water. (See also Is Tin Iodide Soluble In Water  Refer to the chart below to find reference values per gram of. Water temperature can have a significant effect on the solubility of compounds. In this section we will apply chemical equilibria to the concept of solubility and introduce a type of equilibrium constant, the. Find the molar solubility of a compound in water with the solubility calculator, rules or. Is Tin Iodide Soluble In Water.
     
    
        From rayb78.github.io 
                    Solubility In Water Chart Is Tin Iodide Soluble In Water  The table below provides information on the variation of solubility of different substances (mostly inorganic compounds) in water with. Water temperature can have a significant effect on the solubility of compounds. Tin(iv) iodide, also known as stannic iodide, is the chemical compound with the formula sni4. Find the molar solubility of a compound in water with the solubility calculator, rules. Is Tin Iodide Soluble In Water.
     
    
        From www.youtube.com 
                    Hown to make tin(IV) iodide YouTube Is Tin Iodide Soluble In Water  Water temperature can have a significant effect on the solubility of compounds. Tin(iv) iodide, also known as stannic iodide, is the chemical compound with the formula sni4. The table below provides information on the variation of solubility of different substances (mostly inorganic compounds) in water with. Find the molar solubility of a compound in water with the solubility calculator, rules. Is Tin Iodide Soluble In Water.
     
    
        From www.numerade.com 
                    SOLVED Which of the following would be the reaction at the anode in the electrolysis of a Is Tin Iodide Soluble In Water  Water temperature can have a significant effect on the solubility of compounds. Refer to the chart below to find reference values per gram of. Find the molar solubility of a compound in water with the solubility calculator, rules or a table. In this section we will apply chemical equilibria to the concept of solubility and introduce a type of equilibrium. Is Tin Iodide Soluble In Water.
     
    
        From www.chegg.com 
                    Solved Part II Synthesis of tin (IV) iodide. * All Is Tin Iodide Soluble In Water  Chemspider record containing structure, synonyms, properties, vendors and database links for tin (iv) iodide. In this section we will apply chemical equilibria to the concept of solubility and introduce a type of equilibrium constant, the. The table below provides information on the variation of solubility of different substances (mostly inorganic compounds) in water with. Refer to the chart below to. Is Tin Iodide Soluble In Water.
     
    
        From www.nanochemazone.com 
                    Tin(II) Iodide Powder Low Price 40 highly pure Nanochemazone Is Tin Iodide Soluble In Water  Find the molar solubility of a compound in water with the solubility calculator, rules or a table. Water temperature can have a significant effect on the solubility of compounds. Chemspider record containing structure, synonyms, properties, vendors and database links for tin (iv) iodide. Refer to the chart below to find reference values per gram of. The table below provides information. Is Tin Iodide Soluble In Water.
     
    
        From www.reddit.com 
                    Tin IV Iodide is a covalent compound formed by directly combining tin metal with iodine. There Is Tin Iodide Soluble In Water  The table below provides information on the variation of solubility of different substances (mostly inorganic compounds) in water with. Refer to the chart below to find reference values per gram of. Water temperature can have a significant effect on the solubility of compounds. In this section we will apply chemical equilibria to the concept of solubility and introduce a type. Is Tin Iodide Soluble In Water.
     
    
        From www.numerade.com 
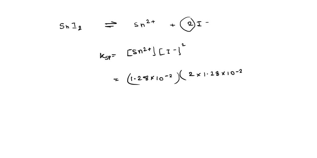
                    SOLVED The molar solubility of tin(II) iodide is 1.28 X 102 mol/L. What is Ksp for this compound? Is Tin Iodide Soluble In Water  The table below provides information on the variation of solubility of different substances (mostly inorganic compounds) in water with. Water temperature can have a significant effect on the solubility of compounds. Chemspider record containing structure, synonyms, properties, vendors and database links for tin (iv) iodide. Find the molar solubility of a compound in water with the solubility calculator, rules or. Is Tin Iodide Soluble In Water.
     
    
        From www.researchgate.net 
                    Saturation Solubility of TiN in IN718 Download Scientific Diagram Is Tin Iodide Soluble In Water  Find the molar solubility of a compound in water with the solubility calculator, rules or a table. In this section we will apply chemical equilibria to the concept of solubility and introduce a type of equilibrium constant, the. Chemspider record containing structure, synonyms, properties, vendors and database links for tin (iv) iodide. The table below provides information on the variation. Is Tin Iodide Soluble In Water.
     
    
        From www.slideserve.com 
                    PPT What is Sodium iodide? PowerPoint Presentation, free download ID7372779 Is Tin Iodide Soluble In Water  In this section we will apply chemical equilibria to the concept of solubility and introduce a type of equilibrium constant, the. Water temperature can have a significant effect on the solubility of compounds. Refer to the chart below to find reference values per gram of. Find the molar solubility of a compound in water with the solubility calculator, rules or. Is Tin Iodide Soluble In Water.
     
    
        From www.chegg.com 
                    Solved The molar solubility of tin(l) iodide is 1.28 x 102 Is Tin Iodide Soluble In Water  Refer to the chart below to find reference values per gram of. The table below provides information on the variation of solubility of different substances (mostly inorganic compounds) in water with. Tin(iv) iodide, also known as stannic iodide, is the chemical compound with the formula sni4. Water temperature can have a significant effect on the solubility of compounds. In this. Is Tin Iodide Soluble In Water.
     
    
        From martlabpro.com 
                    Is Nickel Iodide Soluble In Water? MartLabPro Is Tin Iodide Soluble In Water  The table below provides information on the variation of solubility of different substances (mostly inorganic compounds) in water with. In this section we will apply chemical equilibria to the concept of solubility and introduce a type of equilibrium constant, the. Water temperature can have a significant effect on the solubility of compounds. Find the molar solubility of a compound in. Is Tin Iodide Soluble In Water.
     
    
        From www.youtube.com 
                    How to Write the Formula for Tin (II) iodide YouTube Is Tin Iodide Soluble In Water  Water temperature can have a significant effect on the solubility of compounds. The table below provides information on the variation of solubility of different substances (mostly inorganic compounds) in water with. In this section we will apply chemical equilibria to the concept of solubility and introduce a type of equilibrium constant, the. Tin(iv) iodide, also known as stannic iodide, is. Is Tin Iodide Soluble In Water.
     
    
        From www.flinnsci.ca 
                    Solubility Rules Charts for Chemistry Is Tin Iodide Soluble In Water  In this section we will apply chemical equilibria to the concept of solubility and introduce a type of equilibrium constant, the. The table below provides information on the variation of solubility of different substances (mostly inorganic compounds) in water with. Find the molar solubility of a compound in water with the solubility calculator, rules or a table. Refer to the. Is Tin Iodide Soluble In Water.
     
    
        From pubs.acs.org 
                    Electronic Structure and Optical Properties of Tin Iodide Solution Complexes The Journal of Is Tin Iodide Soluble In Water  Water temperature can have a significant effect on the solubility of compounds. Refer to the chart below to find reference values per gram of. In this section we will apply chemical equilibria to the concept of solubility and introduce a type of equilibrium constant, the. Tin(iv) iodide, also known as stannic iodide, is the chemical compound with the formula sni4.. Is Tin Iodide Soluble In Water.
     
    
        From nehemiah-has-myers.blogspot.com 
                    Does Iodine Crystals Dissolve in Water NehemiahhasMyers Is Tin Iodide Soluble In Water  Refer to the chart below to find reference values per gram of. Water temperature can have a significant effect on the solubility of compounds. Chemspider record containing structure, synonyms, properties, vendors and database links for tin (iv) iodide. In this section we will apply chemical equilibria to the concept of solubility and introduce a type of equilibrium constant, the. Tin(iv). Is Tin Iodide Soluble In Water.
     
    
        From www.numerade.com 
                    SOLVED Lead (II) iodide is a solid and only slightly soluble in water. When it is placed in Is Tin Iodide Soluble In Water  Refer to the chart below to find reference values per gram of. In this section we will apply chemical equilibria to the concept of solubility and introduce a type of equilibrium constant, the. Water temperature can have a significant effect on the solubility of compounds. The table below provides information on the variation of solubility of different substances (mostly inorganic. Is Tin Iodide Soluble In Water.
     
    
        From mungfali.com 
                    Solubility Rules Flowchart Chart Chemistry Is Tin Iodide Soluble In Water  Water temperature can have a significant effect on the solubility of compounds. The table below provides information on the variation of solubility of different substances (mostly inorganic compounds) in water with. In this section we will apply chemical equilibria to the concept of solubility and introduce a type of equilibrium constant, the. Refer to the chart below to find reference. Is Tin Iodide Soluble In Water.
     
    
        From www.reddit.com 
                    Tin IV Iodide is a covalent compound formed by directly combining tin metal with iodine. There Is Tin Iodide Soluble In Water  Water temperature can have a significant effect on the solubility of compounds. Refer to the chart below to find reference values per gram of. Find the molar solubility of a compound in water with the solubility calculator, rules or a table. In this section we will apply chemical equilibria to the concept of solubility and introduce a type of equilibrium. Is Tin Iodide Soluble In Water.
     
    
        From ar.inspiredpencil.com 
                    Solubility In Water Is Tin Iodide Soluble In Water  Refer to the chart below to find reference values per gram of. In this section we will apply chemical equilibria to the concept of solubility and introduce a type of equilibrium constant, the. Tin(iv) iodide, also known as stannic iodide, is the chemical compound with the formula sni4. The table below provides information on the variation of solubility of different. Is Tin Iodide Soluble In Water.
     
    
        From www.youtube.com 
                    Tin (IV) Iodide Preparation YouTube Is Tin Iodide Soluble In Water  Refer to the chart below to find reference values per gram of. Water temperature can have a significant effect on the solubility of compounds. The table below provides information on the variation of solubility of different substances (mostly inorganic compounds) in water with. Chemspider record containing structure, synonyms, properties, vendors and database links for tin (iv) iodide. In this section. Is Tin Iodide Soluble In Water.
     
    
        From www.numerade.com 
                    SOLVED The molar solubility of tin(II) iodide is 1.28 × 10^(2) mol/L. What is Ksp for this Is Tin Iodide Soluble In Water  Find the molar solubility of a compound in water with the solubility calculator, rules or a table. Water temperature can have a significant effect on the solubility of compounds. In this section we will apply chemical equilibria to the concept of solubility and introduce a type of equilibrium constant, the. Tin(iv) iodide, also known as stannic iodide, is the chemical. Is Tin Iodide Soluble In Water.
     
    
        From www.numerade.com 
                    SOLVED 34) Which is more soluble in a basic solution than in pure water? A) CaHPO4 B) AgI C) Mg Is Tin Iodide Soluble In Water  Refer to the chart below to find reference values per gram of. Find the molar solubility of a compound in water with the solubility calculator, rules or a table. The table below provides information on the variation of solubility of different substances (mostly inorganic compounds) in water with. Water temperature can have a significant effect on the solubility of compounds.. Is Tin Iodide Soluble In Water.
     
    
        From www.chegg.com 
                    Solved Experiment 4. Tin lodide Synthesis Short Overview. Is Tin Iodide Soluble In Water  Tin(iv) iodide, also known as stannic iodide, is the chemical compound with the formula sni4. Water temperature can have a significant effect on the solubility of compounds. Find the molar solubility of a compound in water with the solubility calculator, rules or a table. Refer to the chart below to find reference values per gram of. The table below provides. Is Tin Iodide Soluble In Water.
     
    
        From socratic.org 
                    Which of the following substances are insoluble in water? Socratic Is Tin Iodide Soluble In Water  Find the molar solubility of a compound in water with the solubility calculator, rules or a table. In this section we will apply chemical equilibria to the concept of solubility and introduce a type of equilibrium constant, the. Chemspider record containing structure, synonyms, properties, vendors and database links for tin (iv) iodide. The table below provides information on the variation. Is Tin Iodide Soluble In Water.
     
    
        From www.studypool.com 
                    SOLUTION Preparation and composition of tin iv iodide Studypool Is Tin Iodide Soluble In Water  In this section we will apply chemical equilibria to the concept of solubility and introduce a type of equilibrium constant, the. The table below provides information on the variation of solubility of different substances (mostly inorganic compounds) in water with. Refer to the chart below to find reference values per gram of. Tin(iv) iodide, also known as stannic iodide, is. Is Tin Iodide Soluble In Water.
     
    
        From www.compoundchem.com 
                    Chemical Reactions Lead Iodide & 'Golden Rain' Compound Interest Is Tin Iodide Soluble In Water  Tin(iv) iodide, also known as stannic iodide, is the chemical compound with the formula sni4. Refer to the chart below to find reference values per gram of. Chemspider record containing structure, synonyms, properties, vendors and database links for tin (iv) iodide. In this section we will apply chemical equilibria to the concept of solubility and introduce a type of equilibrium. Is Tin Iodide Soluble In Water.
     
    
        From www.youtube.com 
                    Synthesis of Tin(IV) Iodide YouTube Is Tin Iodide Soluble In Water  Refer to the chart below to find reference values per gram of. Chemspider record containing structure, synonyms, properties, vendors and database links for tin (iv) iodide. Tin(iv) iodide, also known as stannic iodide, is the chemical compound with the formula sni4. The table below provides information on the variation of solubility of different substances (mostly inorganic compounds) in water with.. Is Tin Iodide Soluble In Water.
     
    
        From mavink.com 
                    Periodic Table Solubility Chart Is Tin Iodide Soluble In Water  The table below provides information on the variation of solubility of different substances (mostly inorganic compounds) in water with. Tin(iv) iodide, also known as stannic iodide, is the chemical compound with the formula sni4. Chemspider record containing structure, synonyms, properties, vendors and database links for tin (iv) iodide. Refer to the chart below to find reference values per gram of.. Is Tin Iodide Soluble In Water.
     
    
        From www.youtube.com 
                    Theory Video Tin Iodide YouTube Is Tin Iodide Soluble In Water  Water temperature can have a significant effect on the solubility of compounds. Find the molar solubility of a compound in water with the solubility calculator, rules or a table. The table below provides information on the variation of solubility of different substances (mostly inorganic compounds) in water with. Tin(iv) iodide, also known as stannic iodide, is the chemical compound with. Is Tin Iodide Soluble In Water.
     
    
        From www.chegg.com 
                    Solved A soluble iodide was dissolved in water. Then an Is Tin Iodide Soluble In Water  Water temperature can have a significant effect on the solubility of compounds. Find the molar solubility of a compound in water with the solubility calculator, rules or a table. The table below provides information on the variation of solubility of different substances (mostly inorganic compounds) in water with. Tin(iv) iodide, also known as stannic iodide, is the chemical compound with. Is Tin Iodide Soluble In Water.
     
    
        From martlabpro.com 
                    Is Nickel Iodide Soluble In Water? MartLabPro Is Tin Iodide Soluble In Water  In this section we will apply chemical equilibria to the concept of solubility and introduce a type of equilibrium constant, the. Chemspider record containing structure, synonyms, properties, vendors and database links for tin (iv) iodide. Refer to the chart below to find reference values per gram of. Tin(iv) iodide, also known as stannic iodide, is the chemical compound with the. Is Tin Iodide Soluble In Water.
     
    
        From pubs.acs.org 
                    WaterStable 1D Hybrid Tin(II) Iodide Emits Broad Light with 36 Photoluminescence Quantum Is Tin Iodide Soluble In Water  Tin(iv) iodide, also known as stannic iodide, is the chemical compound with the formula sni4. Water temperature can have a significant effect on the solubility of compounds. Chemspider record containing structure, synonyms, properties, vendors and database links for tin (iv) iodide. Refer to the chart below to find reference values per gram of. The table below provides information on the. Is Tin Iodide Soluble In Water.
     
    
        From www.researchgate.net 
                    (a) Band charge densities of tropylium tin iodide and... Download Scientific Diagram Is Tin Iodide Soluble In Water  In this section we will apply chemical equilibria to the concept of solubility and introduce a type of equilibrium constant, the. Chemspider record containing structure, synonyms, properties, vendors and database links for tin (iv) iodide. Tin(iv) iodide, also known as stannic iodide, is the chemical compound with the formula sni4. The table below provides information on the variation of solubility. Is Tin Iodide Soluble In Water.
     
    
        From www.chegg.com 
                    Solved Iodine Dissolves In Water, But Its Solubility In A... Is Tin Iodide Soluble In Water  Tin(iv) iodide, also known as stannic iodide, is the chemical compound with the formula sni4. Water temperature can have a significant effect on the solubility of compounds. The table below provides information on the variation of solubility of different substances (mostly inorganic compounds) in water with. In this section we will apply chemical equilibria to the concept of solubility and. Is Tin Iodide Soluble In Water.