A Bucket Of Water With Total Mass 23 Kg . Assume a bucket of water with a total mass of 23 kg is attached to a rope, which in turn is tied around a. First, we need to find the gravitational potential energy of the bucket at the top of the well. A bucket of water with total mass 23 kg is attached to a rope, which in turn is wound around a 0.050−m radius cylinder at the.
from www.toppr.com
Assume a bucket of water with a total mass of 23 kg is attached to a rope, which in turn is tied around a. A bucket of water with total mass 23 kg is attached to a rope, which in turn is wound around a 0.050−m radius cylinder at the. First, we need to find the gravitational potential energy of the bucket at the top of the well.
The mass of bucket full of water is 15 kg. It is being pulled up from a
A Bucket Of Water With Total Mass 23 Kg A bucket of water with total mass 23 kg is attached to a rope, which in turn is wound around a 0.050−m radius cylinder at the. First, we need to find the gravitational potential energy of the bucket at the top of the well. A bucket of water with total mass 23 kg is attached to a rope, which in turn is wound around a 0.050−m radius cylinder at the. Assume a bucket of water with a total mass of 23 kg is attached to a rope, which in turn is tied around a.
From www.vrogue.co
Problem 3 005 Determine The Volume Change In Ft3 When vrogue.co A Bucket Of Water With Total Mass 23 Kg A bucket of water with total mass 23 kg is attached to a rope, which in turn is wound around a 0.050−m radius cylinder at the. First, we need to find the gravitational potential energy of the bucket at the top of the well. Assume a bucket of water with a total mass of 23 kg is attached to a. A Bucket Of Water With Total Mass 23 Kg.
From www.toppr.com
The mass of bucket full of water is 15 kg. It is being pulled up from a A Bucket Of Water With Total Mass 23 Kg First, we need to find the gravitational potential energy of the bucket at the top of the well. A bucket of water with total mass 23 kg is attached to a rope, which in turn is wound around a 0.050−m radius cylinder at the. Assume a bucket of water with a total mass of 23 kg is attached to a. A Bucket Of Water With Total Mass 23 Kg.
From www.chegg.com
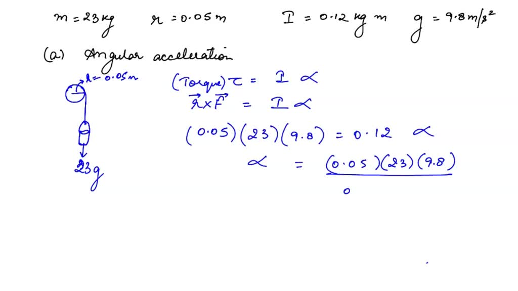
Solved A 23.0 kg bucket of water is suspended by a very A Bucket Of Water With Total Mass 23 Kg A bucket of water with total mass 23 kg is attached to a rope, which in turn is wound around a 0.050−m radius cylinder at the. Assume a bucket of water with a total mass of 23 kg is attached to a rope, which in turn is tied around a. First, we need to find the gravitational potential energy of. A Bucket Of Water With Total Mass 23 Kg.
From www.youtube.com
Calculate Amount of Water in a Bucket YouTube A Bucket Of Water With Total Mass 23 Kg Assume a bucket of water with a total mass of 23 kg is attached to a rope, which in turn is tied around a. First, we need to find the gravitational potential energy of the bucket at the top of the well. A bucket of water with total mass 23 kg is attached to a rope, which in turn is. A Bucket Of Water With Total Mass 23 Kg.
From www.toppr.com
The mass of bucket full of water is 15 kg. It is being pulled up from a A Bucket Of Water With Total Mass 23 Kg A bucket of water with total mass 23 kg is attached to a rope, which in turn is wound around a 0.050−m radius cylinder at the. First, we need to find the gravitational potential energy of the bucket at the top of the well. Assume a bucket of water with a total mass of 23 kg is attached to a. A Bucket Of Water With Total Mass 23 Kg.
From www.numerade.com
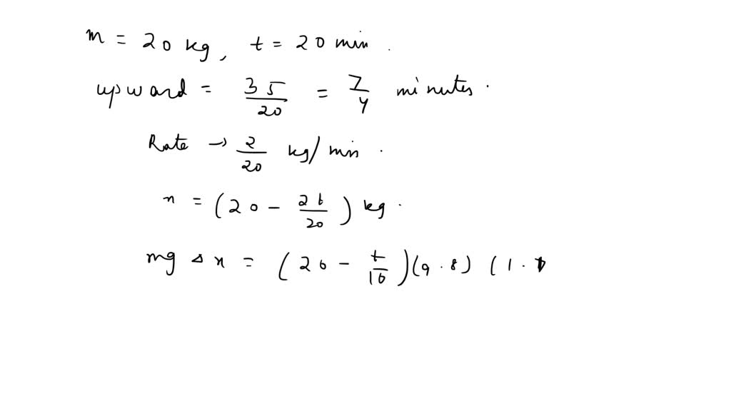
SOLVED A bucket of water of mass 20 kg is pulled at a constant A Bucket Of Water With Total Mass 23 Kg A bucket of water with total mass 23 kg is attached to a rope, which in turn is wound around a 0.050−m radius cylinder at the. First, we need to find the gravitational potential energy of the bucket at the top of the well. Assume a bucket of water with a total mass of 23 kg is attached to a. A Bucket Of Water With Total Mass 23 Kg.
From www.toppr.com
The mass of a bucket full of water is 15kg . It is being pulled up from A Bucket Of Water With Total Mass 23 Kg Assume a bucket of water with a total mass of 23 kg is attached to a rope, which in turn is tied around a. First, we need to find the gravitational potential energy of the bucket at the top of the well. A bucket of water with total mass 23 kg is attached to a rope, which in turn is. A Bucket Of Water With Total Mass 23 Kg.
From www.chegg.com
Solved A bucket of water with total mass 23 kg is attached A Bucket Of Water With Total Mass 23 Kg Assume a bucket of water with a total mass of 23 kg is attached to a rope, which in turn is tied around a. First, we need to find the gravitational potential energy of the bucket at the top of the well. A bucket of water with total mass 23 kg is attached to a rope, which in turn is. A Bucket Of Water With Total Mass 23 Kg.
From www.toppr.com
A slowly pulls a bucket of water from a well of depth h=20 m. The mass A Bucket Of Water With Total Mass 23 Kg First, we need to find the gravitational potential energy of the bucket at the top of the well. A bucket of water with total mass 23 kg is attached to a rope, which in turn is wound around a 0.050−m radius cylinder at the. Assume a bucket of water with a total mass of 23 kg is attached to a. A Bucket Of Water With Total Mass 23 Kg.
From www.numerade.com
SOLVED (1 point) bucket of water of mass 25 kg is pulled at constant A Bucket Of Water With Total Mass 23 Kg A bucket of water with total mass 23 kg is attached to a rope, which in turn is wound around a 0.050−m radius cylinder at the. First, we need to find the gravitational potential energy of the bucket at the top of the well. Assume a bucket of water with a total mass of 23 kg is attached to a. A Bucket Of Water With Total Mass 23 Kg.
From www.toppr.com
1. The mass of a bucket full of water is 15 kg. it is being pulled up A Bucket Of Water With Total Mass 23 Kg First, we need to find the gravitational potential energy of the bucket at the top of the well. Assume a bucket of water with a total mass of 23 kg is attached to a rope, which in turn is tied around a. A bucket of water with total mass 23 kg is attached to a rope, which in turn is. A Bucket Of Water With Total Mass 23 Kg.
From www.gauthmath.com
Solved 17. Inquiry/Problem Solving Water is poured into the[algebra A Bucket Of Water With Total Mass 23 Kg Assume a bucket of water with a total mass of 23 kg is attached to a rope, which in turn is tied around a. First, we need to find the gravitational potential energy of the bucket at the top of the well. A bucket of water with total mass 23 kg is attached to a rope, which in turn is. A Bucket Of Water With Total Mass 23 Kg.
From www.chegg.com
Solved A 23.0 kg bucket of water is suspended by a very A Bucket Of Water With Total Mass 23 Kg Assume a bucket of water with a total mass of 23 kg is attached to a rope, which in turn is tied around a. First, we need to find the gravitational potential energy of the bucket at the top of the well. A bucket of water with total mass 23 kg is attached to a rope, which in turn is. A Bucket Of Water With Total Mass 23 Kg.
From lovepik.com
Water Bucket PNG Transparent And Clipart Image For Free Download A Bucket Of Water With Total Mass 23 Kg A bucket of water with total mass 23 kg is attached to a rope, which in turn is wound around a 0.050−m radius cylinder at the. Assume a bucket of water with a total mass of 23 kg is attached to a rope, which in turn is tied around a. First, we need to find the gravitational potential energy of. A Bucket Of Water With Total Mass 23 Kg.
From www.bartleby.com
Answered A 19.0 kg bucket of water is suspended… bartleby A Bucket Of Water With Total Mass 23 Kg A bucket of water with total mass 23 kg is attached to a rope, which in turn is wound around a 0.050−m radius cylinder at the. Assume a bucket of water with a total mass of 23 kg is attached to a rope, which in turn is tied around a. First, we need to find the gravitational potential energy of. A Bucket Of Water With Total Mass 23 Kg.
From www.chegg.com
Solved A 21.0 kg bucket of water is suspended by a very A Bucket Of Water With Total Mass 23 Kg First, we need to find the gravitational potential energy of the bucket at the top of the well. Assume a bucket of water with a total mass of 23 kg is attached to a rope, which in turn is tied around a. A bucket of water with total mass 23 kg is attached to a rope, which in turn is. A Bucket Of Water With Total Mass 23 Kg.
From kunduz.com
[ANSWERED] 08 Cylindrical bucket B with water in it has mass 10 kg Kunduz A Bucket Of Water With Total Mass 23 Kg Assume a bucket of water with a total mass of 23 kg is attached to a rope, which in turn is tied around a. First, we need to find the gravitational potential energy of the bucket at the top of the well. A bucket of water with total mass 23 kg is attached to a rope, which in turn is. A Bucket Of Water With Total Mass 23 Kg.
From www.chegg.com
Solved 0.5 m 0.1 m 25 kg A bucket of water with a mass of A Bucket Of Water With Total Mass 23 Kg Assume a bucket of water with a total mass of 23 kg is attached to a rope, which in turn is tied around a. First, we need to find the gravitational potential energy of the bucket at the top of the well. A bucket of water with total mass 23 kg is attached to a rope, which in turn is. A Bucket Of Water With Total Mass 23 Kg.
From www.chegg.com
Solved 48 4.4 Figure P4.4 shows a mixing tank initially A Bucket Of Water With Total Mass 23 Kg A bucket of water with total mass 23 kg is attached to a rope, which in turn is wound around a 0.050−m radius cylinder at the. First, we need to find the gravitational potential energy of the bucket at the top of the well. Assume a bucket of water with a total mass of 23 kg is attached to a. A Bucket Of Water With Total Mass 23 Kg.
From www.numerade.com
SOLVED A bucket of water of mass 20 kg is pulled at constant velocity A Bucket Of Water With Total Mass 23 Kg Assume a bucket of water with a total mass of 23 kg is attached to a rope, which in turn is tied around a. A bucket of water with total mass 23 kg is attached to a rope, which in turn is wound around a 0.050−m radius cylinder at the. First, we need to find the gravitational potential energy of. A Bucket Of Water With Total Mass 23 Kg.
From finwise.edu.vn
List 100+ Pictures A 5 Kg Bucket Of Water Is Raised From A Well By A A Bucket Of Water With Total Mass 23 Kg First, we need to find the gravitational potential energy of the bucket at the top of the well. A bucket of water with total mass 23 kg is attached to a rope, which in turn is wound around a 0.050−m radius cylinder at the. Assume a bucket of water with a total mass of 23 kg is attached to a. A Bucket Of Water With Total Mass 23 Kg.
From www.chegg.com
Solved A 21.0 kg bucket of water is suspended by a very A Bucket Of Water With Total Mass 23 Kg Assume a bucket of water with a total mass of 23 kg is attached to a rope, which in turn is tied around a. First, we need to find the gravitational potential energy of the bucket at the top of the well. A bucket of water with total mass 23 kg is attached to a rope, which in turn is. A Bucket Of Water With Total Mass 23 Kg.
From www.chegg.com
Solved A bucket of water (total mass = 17.0 kg) hangs A Bucket Of Water With Total Mass 23 Kg Assume a bucket of water with a total mass of 23 kg is attached to a rope, which in turn is tied around a. A bucket of water with total mass 23 kg is attached to a rope, which in turn is wound around a 0.050−m radius cylinder at the. First, we need to find the gravitational potential energy of. A Bucket Of Water With Total Mass 23 Kg.
From www.youtube.com
The mass of a bucket full of water is 15 kg. It is being pulled up from A Bucket Of Water With Total Mass 23 Kg Assume a bucket of water with a total mass of 23 kg is attached to a rope, which in turn is tied around a. A bucket of water with total mass 23 kg is attached to a rope, which in turn is wound around a 0.050−m radius cylinder at the. First, we need to find the gravitational potential energy of. A Bucket Of Water With Total Mass 23 Kg.
From www.chegg.com
Solved A bucket of water of mass 15.6 kg is suspended by a A Bucket Of Water With Total Mass 23 Kg Assume a bucket of water with a total mass of 23 kg is attached to a rope, which in turn is tied around a. A bucket of water with total mass 23 kg is attached to a rope, which in turn is wound around a 0.050−m radius cylinder at the. First, we need to find the gravitational potential energy of. A Bucket Of Water With Total Mass 23 Kg.
From www.teachoo.com
Question 7 An open metal bucket is in shape of a frustum A Bucket Of Water With Total Mass 23 Kg Assume a bucket of water with a total mass of 23 kg is attached to a rope, which in turn is tied around a. First, we need to find the gravitational potential energy of the bucket at the top of the well. A bucket of water with total mass 23 kg is attached to a rope, which in turn is. A Bucket Of Water With Total Mass 23 Kg.
From byjus.com
The mass of a bucket full of water is 15kg.It is being pulled up from a A Bucket Of Water With Total Mass 23 Kg Assume a bucket of water with a total mass of 23 kg is attached to a rope, which in turn is tied around a. A bucket of water with total mass 23 kg is attached to a rope, which in turn is wound around a 0.050−m radius cylinder at the. First, we need to find the gravitational potential energy of. A Bucket Of Water With Total Mass 23 Kg.
From askfilo.com
A bucket filled with water of mass 5 kg is whirled in vertical circular p.. A Bucket Of Water With Total Mass 23 Kg Assume a bucket of water with a total mass of 23 kg is attached to a rope, which in turn is tied around a. First, we need to find the gravitational potential energy of the bucket at the top of the well. A bucket of water with total mass 23 kg is attached to a rope, which in turn is. A Bucket Of Water With Total Mass 23 Kg.
From www.toppr.com
The mass of a bucket full of water is 15kg . It is being pulled up from A Bucket Of Water With Total Mass 23 Kg Assume a bucket of water with a total mass of 23 kg is attached to a rope, which in turn is tied around a. A bucket of water with total mass 23 kg is attached to a rope, which in turn is wound around a 0.050−m radius cylinder at the. First, we need to find the gravitational potential energy of. A Bucket Of Water With Total Mass 23 Kg.
From byjus.com
A man pulls a bucket full ofwater from h metre deep well. if the mass A Bucket Of Water With Total Mass 23 Kg First, we need to find the gravitational potential energy of the bucket at the top of the well. A bucket of water with total mass 23 kg is attached to a rope, which in turn is wound around a 0.050−m radius cylinder at the. Assume a bucket of water with a total mass of 23 kg is attached to a. A Bucket Of Water With Total Mass 23 Kg.
From www.toppr.com
A bucket filled with water having a mass of 15kg is raised from a well A Bucket Of Water With Total Mass 23 Kg A bucket of water with total mass 23 kg is attached to a rope, which in turn is wound around a 0.050−m radius cylinder at the. Assume a bucket of water with a total mass of 23 kg is attached to a rope, which in turn is tied around a. First, we need to find the gravitational potential energy of. A Bucket Of Water With Total Mass 23 Kg.
From www.numerade.com
A bucket of water with a total mass of 23 kg is attached to a rope A Bucket Of Water With Total Mass 23 Kg First, we need to find the gravitational potential energy of the bucket at the top of the well. Assume a bucket of water with a total mass of 23 kg is attached to a rope, which in turn is tied around a. A bucket of water with total mass 23 kg is attached to a rope, which in turn is. A Bucket Of Water With Total Mass 23 Kg.
From www.vrogue.co
A Bucket Of Mass M Tied To A Light Rope Is Lowered At vrogue.co A Bucket Of Water With Total Mass 23 Kg A bucket of water with total mass 23 kg is attached to a rope, which in turn is wound around a 0.050−m radius cylinder at the. First, we need to find the gravitational potential energy of the bucket at the top of the well. Assume a bucket of water with a total mass of 23 kg is attached to a. A Bucket Of Water With Total Mass 23 Kg.
From www.chegg.com
Solved i. A bucket of water (total mass 7.0 kg) hangs A Bucket Of Water With Total Mass 23 Kg A bucket of water with total mass 23 kg is attached to a rope, which in turn is wound around a 0.050−m radius cylinder at the. First, we need to find the gravitational potential energy of the bucket at the top of the well. Assume a bucket of water with a total mass of 23 kg is attached to a. A Bucket Of Water With Total Mass 23 Kg.
From kunduz.com
[ANSWERED] The mass of a bucket full of water is 15 kg It is being Kunduz A Bucket Of Water With Total Mass 23 Kg First, we need to find the gravitational potential energy of the bucket at the top of the well. Assume a bucket of water with a total mass of 23 kg is attached to a rope, which in turn is tied around a. A bucket of water with total mass 23 kg is attached to a rope, which in turn is. A Bucket Of Water With Total Mass 23 Kg.