Area Capacity Curve . The capacity curve thus becomes a series of curves, each fitting a certain region of data. The final area equations are obtained by. This study deals with analyzing the area capacity curve using ilwis 3.3 software to find the area.
from www.wordyguru.com
The final area equations are obtained by. The capacity curve thus becomes a series of curves, each fitting a certain region of data. This study deals with analyzing the area capacity curve using ilwis 3.3 software to find the area.
areacapacity curve แปลว่า? Wordy Guru
Area Capacity Curve The capacity curve thus becomes a series of curves, each fitting a certain region of data. The capacity curve thus becomes a series of curves, each fitting a certain region of data. The final area equations are obtained by. This study deals with analyzing the area capacity curve using ilwis 3.3 software to find the area.
From www.researchgate.net
ElevationAreavolume curves for (H2, GRA 2, and GRA 4) dams, using Area Capacity Curve This study deals with analyzing the area capacity curve using ilwis 3.3 software to find the area. The final area equations are obtained by. The capacity curve thus becomes a series of curves, each fitting a certain region of data. Area Capacity Curve.
From www.slideserve.com
PPT RESERVOIR PLANNING PowerPoint Presentation, free download ID Area Capacity Curve This study deals with analyzing the area capacity curve using ilwis 3.3 software to find the area. The capacity curve thus becomes a series of curves, each fitting a certain region of data. The final area equations are obtained by. Area Capacity Curve.
From www.slideserve.com
PPT RESERVOIR PLANNING PowerPoint Presentation, free download ID Area Capacity Curve The final area equations are obtained by. This study deals with analyzing the area capacity curve using ilwis 3.3 software to find the area. The capacity curve thus becomes a series of curves, each fitting a certain region of data. Area Capacity Curve.
From www.wordyguru.com
areacapacity curve แปลว่า? Wordy Guru Area Capacity Curve The final area equations are obtained by. This study deals with analyzing the area capacity curve using ilwis 3.3 software to find the area. The capacity curve thus becomes a series of curves, each fitting a certain region of data. Area Capacity Curve.
From www.mdpi.com
Water Free FullText Evaluation of the Storage Effect Considering Area Capacity Curve This study deals with analyzing the area capacity curve using ilwis 3.3 software to find the area. The final area equations are obtained by. The capacity curve thus becomes a series of curves, each fitting a certain region of data. Area Capacity Curve.
From www.researchgate.net
Elevation Area Volume curves. Figure 4 Elevation x original and Area Capacity Curve The final area equations are obtained by. This study deals with analyzing the area capacity curve using ilwis 3.3 software to find the area. The capacity curve thus becomes a series of curves, each fitting a certain region of data. Area Capacity Curve.
From www.cuemath.com
Area Under The Curve Formula Learn The Formula For Finding Area Under Area Capacity Curve This study deals with analyzing the area capacity curve using ilwis 3.3 software to find the area. The capacity curve thus becomes a series of curves, each fitting a certain region of data. The final area equations are obtained by. Area Capacity Curve.
From www.scribd.com
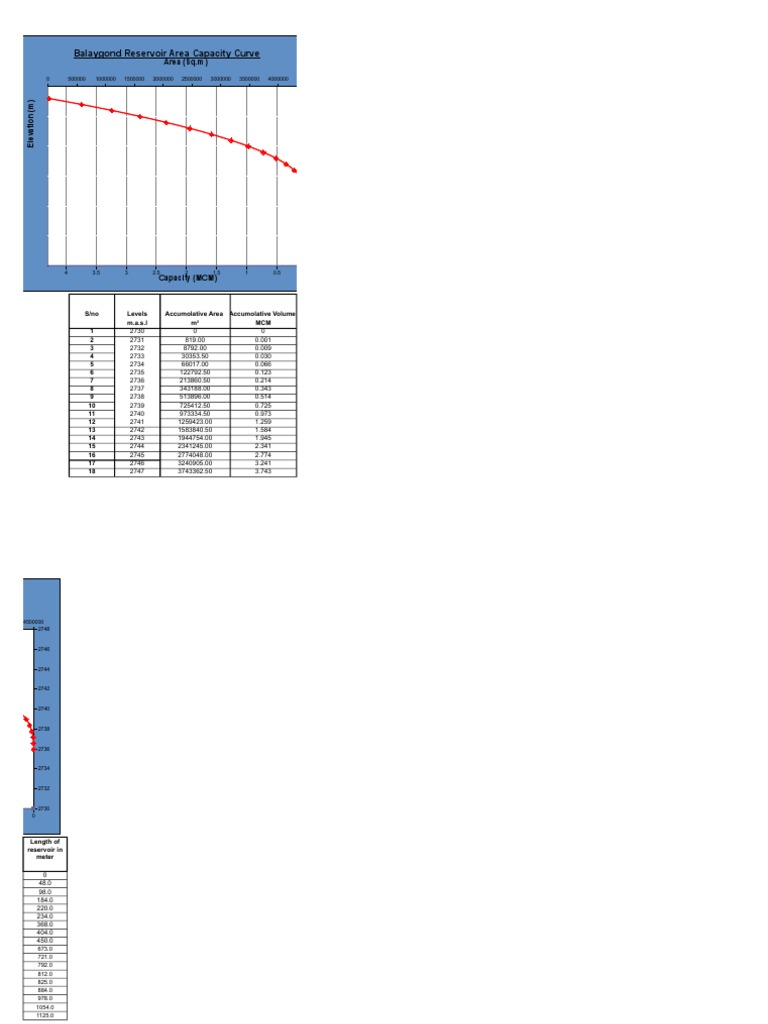
Balagond Area Capacity Curve F PDF Water Nature Area Capacity Curve The final area equations are obtained by. The capacity curve thus becomes a series of curves, each fitting a certain region of data. This study deals with analyzing the area capacity curve using ilwis 3.3 software to find the area. Area Capacity Curve.
From www.youtube.com
Excel How to add a 2nd Axis to a Chart Reservoir ElevationArea Area Capacity Curve The final area equations are obtained by. The capacity curve thus becomes a series of curves, each fitting a certain region of data. This study deals with analyzing the area capacity curve using ilwis 3.3 software to find the area. Area Capacity Curve.
From www.researchgate.net
Schematic Diagram of AreaCapacity Curves Download Scientific Diagram Area Capacity Curve The capacity curve thus becomes a series of curves, each fitting a certain region of data. This study deals with analyzing the area capacity curve using ilwis 3.3 software to find the area. The final area equations are obtained by. Area Capacity Curve.
From www.youtube.com
Area Enclosed by Curve and y Axis Formula and Explanation Integrals Area Capacity Curve The capacity curve thus becomes a series of curves, each fitting a certain region of data. The final area equations are obtained by. This study deals with analyzing the area capacity curve using ilwis 3.3 software to find the area. Area Capacity Curve.
From mathhints.com
Applications of Integration Area and Volume Math Hints Area Capacity Curve The capacity curve thus becomes a series of curves, each fitting a certain region of data. The final area equations are obtained by. This study deals with analyzing the area capacity curve using ilwis 3.3 software to find the area. Area Capacity Curve.
From www.scribd.com
DKS Reservoir Elevation Area Capacity Curve Download Free PDF Area Capacity Curve The final area equations are obtained by. This study deals with analyzing the area capacity curve using ilwis 3.3 software to find the area. The capacity curve thus becomes a series of curves, each fitting a certain region of data. Area Capacity Curve.
From www.researchgate.net
Water levelsurface areavolume curves (left) and surface areavolume Area Capacity Curve This study deals with analyzing the area capacity curve using ilwis 3.3 software to find the area. The capacity curve thus becomes a series of curves, each fitting a certain region of data. The final area equations are obtained by. Area Capacity Curve.
From www.researchgate.net
Schematic Diagram of AreaCapacity Curves Download Scientific Diagram Area Capacity Curve The final area equations are obtained by. This study deals with analyzing the area capacity curve using ilwis 3.3 software to find the area. The capacity curve thus becomes a series of curves, each fitting a certain region of data. Area Capacity Curve.
From www.researchgate.net
Elevationareacapacity curve of Tehri in the year 2013. Download Area Capacity Curve This study deals with analyzing the area capacity curve using ilwis 3.3 software to find the area. The final area equations are obtained by. The capacity curve thus becomes a series of curves, each fitting a certain region of data. Area Capacity Curve.
From www.researchgate.net
Revised elevationareacapacity table for Murrumsilli Reservoir Area Capacity Curve This study deals with analyzing the area capacity curve using ilwis 3.3 software to find the area. The final area equations are obtained by. The capacity curve thus becomes a series of curves, each fitting a certain region of data. Area Capacity Curve.
From www.researchgate.net
Area, volume, and elevation curve of Keenjhar Lake. Download Area Capacity Curve The capacity curve thus becomes a series of curves, each fitting a certain region of data. The final area equations are obtained by. This study deals with analyzing the area capacity curve using ilwis 3.3 software to find the area. Area Capacity Curve.
From www.semanticscholar.org
[PDF] The temporal analysis of area capacity curve of Hirakud reservoir Area Capacity Curve This study deals with analyzing the area capacity curve using ilwis 3.3 software to find the area. The final area equations are obtained by. The capacity curve thus becomes a series of curves, each fitting a certain region of data. Area Capacity Curve.
From legendofcivil.blogspot.com
Area Capacity Curve Reservoir Capacity Curve Download Excel file Area Capacity Curve The capacity curve thus becomes a series of curves, each fitting a certain region of data. The final area equations are obtained by. This study deals with analyzing the area capacity curve using ilwis 3.3 software to find the area. Area Capacity Curve.
From www.youtube.com
Draw the region bounded by the curves y=e^x+1, x=0, x=1, y=0 and use Area Capacity Curve This study deals with analyzing the area capacity curve using ilwis 3.3 software to find the area. The final area equations are obtained by. The capacity curve thus becomes a series of curves, each fitting a certain region of data. Area Capacity Curve.
From www.researchgate.net
(PDF) A new equation for calculation of reservoir’s areacapacity curves Area Capacity Curve The capacity curve thus becomes a series of curves, each fitting a certain region of data. This study deals with analyzing the area capacity curve using ilwis 3.3 software to find the area. The final area equations are obtained by. Area Capacity Curve.
From www.youtube.com
Elevation Area Capacity curve preparation in excel YouTube Area Capacity Curve The capacity curve thus becomes a series of curves, each fitting a certain region of data. This study deals with analyzing the area capacity curve using ilwis 3.3 software to find the area. The final area equations are obtained by. Area Capacity Curve.
From www.storyofmathematics.com
Area Between Two Curves Definition, Process, and Examples Area Capacity Curve The capacity curve thus becomes a series of curves, each fitting a certain region of data. This study deals with analyzing the area capacity curve using ilwis 3.3 software to find the area. The final area equations are obtained by. Area Capacity Curve.
From www.semanticscholar.org
[PDF] The temporal analysis of area capacity curve of Hirakud reservoir Area Capacity Curve The capacity curve thus becomes a series of curves, each fitting a certain region of data. The final area equations are obtained by. This study deals with analyzing the area capacity curve using ilwis 3.3 software to find the area. Area Capacity Curve.
From www.researchgate.net
New AreaCapacity curves for Mosul reservoir. The storage capacity of Area Capacity Curve This study deals with analyzing the area capacity curve using ilwis 3.3 software to find the area. The final area equations are obtained by. The capacity curve thus becomes a series of curves, each fitting a certain region of data. Area Capacity Curve.
From www.chegg.com
Obtain elevationareavolume curve (use the grid in Area Capacity Curve The final area equations are obtained by. This study deals with analyzing the area capacity curve using ilwis 3.3 software to find the area. The capacity curve thus becomes a series of curves, each fitting a certain region of data. Area Capacity Curve.
From www.scribd.com
A Procedure To Develop ElevationAreaCapacity Curves of Reservoirs Area Capacity Curve This study deals with analyzing the area capacity curve using ilwis 3.3 software to find the area. The final area equations are obtained by. The capacity curve thus becomes a series of curves, each fitting a certain region of data. Area Capacity Curve.
From www.researchgate.net
Reservoir area and capacity curves for a dam in upper Black Canyon Area Capacity Curve The capacity curve thus becomes a series of curves, each fitting a certain region of data. This study deals with analyzing the area capacity curve using ilwis 3.3 software to find the area. The final area equations are obtained by. Area Capacity Curve.
From www.researchgate.net
Water levelareacapacity curve of A Vuong Reservoir (Source EVN Area Capacity Curve The capacity curve thus becomes a series of curves, each fitting a certain region of data. The final area equations are obtained by. This study deals with analyzing the area capacity curve using ilwis 3.3 software to find the area. Area Capacity Curve.
From www.researchgate.net
Elevationareastorage curves for the Wilson reservoir according to Area Capacity Curve The final area equations are obtained by. This study deals with analyzing the area capacity curve using ilwis 3.3 software to find the area. The capacity curve thus becomes a series of curves, each fitting a certain region of data. Area Capacity Curve.
From pubs.sciepub.com
Figure 7. Areastorage capacity curves for Ruiru dam Assessment of Area Capacity Curve The final area equations are obtained by. This study deals with analyzing the area capacity curve using ilwis 3.3 software to find the area. The capacity curve thus becomes a series of curves, each fitting a certain region of data. Area Capacity Curve.
From www.onlinemathlearning.com
Calculus Area under a Curve (video lessons, examples, solutions) Area Capacity Curve The final area equations are obtained by. This study deals with analyzing the area capacity curve using ilwis 3.3 software to find the area. The capacity curve thus becomes a series of curves, each fitting a certain region of data. Area Capacity Curve.
From www.researchgate.net
Elevationareareservoir capacity curve. Download Table Area Capacity Curve The final area equations are obtained by. This study deals with analyzing the area capacity curve using ilwis 3.3 software to find the area. The capacity curve thus becomes a series of curves, each fitting a certain region of data. Area Capacity Curve.
From www.youtube.com
Area Capacity Curve YouTube Area Capacity Curve The capacity curve thus becomes a series of curves, each fitting a certain region of data. The final area equations are obtained by. This study deals with analyzing the area capacity curve using ilwis 3.3 software to find the area. Area Capacity Curve.