If Induction Doesn T Work . It may not be for you if you have the. You’re going in for an induction, but in the back of your head — you’re sort of wondering what happens if it doesn’t work? Labor induction means getting the uterus to contract before labor begins on its own. It's sometimes used for a vaginal birth. Foley bulb induction isn’t recommended for everyone. Very occasionally, labor induction doesn’t work, especially if the cervix isn’t effaced and. It doesn’t work, or the bulb falls out. If your body is truly not ready for labor, there is a possibility that the induction may not work, and you could be sent home, according to parents. Great question — today i’m going to share the 3. Labor induction (inducing labor) is when a pregnancy care provider starts labor instead of letting labor start on its own. What if the induction doesn't work? Or if your water has been broken, you could be. What happens if labor induction doesn't work? If you don't go into labour following an induction, your medical professional will speak with you about your options.
from goclean.masscec.com
Labor induction means getting the uterus to contract before labor begins on its own. Foley bulb induction isn’t recommended for everyone. You’re going in for an induction, but in the back of your head — you’re sort of wondering what happens if it doesn’t work? Great question — today i’m going to share the 3. Labor induction (inducing labor) is when a pregnancy care provider starts labor instead of letting labor start on its own. It doesn’t work, or the bulb falls out. It may not be for you if you have the. Very occasionally, labor induction doesn’t work, especially if the cervix isn’t effaced and. If your body is truly not ready for labor, there is a possibility that the induction may not work, and you could be sent home, according to parents. What if the induction doesn't work?
How Induction Cooking Works Massachusetts Clean Energy Center
If Induction Doesn T Work It's sometimes used for a vaginal birth. If you don't go into labour following an induction, your medical professional will speak with you about your options. Or if your water has been broken, you could be. Great question — today i’m going to share the 3. It's sometimes used for a vaginal birth. Labor induction means getting the uterus to contract before labor begins on its own. If your body is truly not ready for labor, there is a possibility that the induction may not work, and you could be sent home, according to parents. Foley bulb induction isn’t recommended for everyone. What happens if labor induction doesn't work? It may not be for you if you have the. It doesn’t work, or the bulb falls out. Very occasionally, labor induction doesn’t work, especially if the cervix isn’t effaced and. What if the induction doesn't work? Labor induction (inducing labor) is when a pregnancy care provider starts labor instead of letting labor start on its own. You’re going in for an induction, but in the back of your head — you’re sort of wondering what happens if it doesn’t work?
From life-improver.com
Why this cooking pot not working on the Induction Love & Improve Life If Induction Doesn T Work It may not be for you if you have the. Or if your water has been broken, you could be. What happens if labor induction doesn't work? Labor induction means getting the uterus to contract before labor begins on its own. It doesn’t work, or the bulb falls out. Labor induction (inducing labor) is when a pregnancy care provider starts. If Induction Doesn T Work.
From www.reddit.com
induction heater doesn’t work and I don’t know what to do, need help If Induction Doesn T Work You’re going in for an induction, but in the back of your head — you’re sort of wondering what happens if it doesn’t work? If you don't go into labour following an induction, your medical professional will speak with you about your options. It's sometimes used for a vaginal birth. It may not be for you if you have the.. If Induction Doesn T Work.
From positiveinduction.com
10 Questions to Ask Before Your Induction Positive Induction Birth If Induction Doesn T Work What happens if labor induction doesn't work? It doesn’t work, or the bulb falls out. It may not be for you if you have the. Or if your water has been broken, you could be. Great question — today i’m going to share the 3. Labor induction means getting the uterus to contract before labor begins on its own. It's. If Induction Doesn T Work.
From www.youtube.com
How to fix induction cookerInduction cooker on but doesn’t heat If Induction Doesn T Work Very occasionally, labor induction doesn’t work, especially if the cervix isn’t effaced and. It doesn’t work, or the bulb falls out. It may not be for you if you have the. Labor induction (inducing labor) is when a pregnancy care provider starts labor instead of letting labor start on its own. What if the induction doesn't work? It's sometimes used. If Induction Doesn T Work.
From engineeringlearn.com
How does Induction Heating Work? [Explained] Engineering Learn If Induction Doesn T Work Labor induction means getting the uterus to contract before labor begins on its own. You’re going in for an induction, but in the back of your head — you’re sort of wondering what happens if it doesn’t work? Or if your water has been broken, you could be. What if the induction doesn't work? If your body is truly not. If Induction Doesn T Work.
From www.slideserve.com
PPT Mathematical Induction PowerPoint Presentation, free download If Induction Doesn T Work What happens if labor induction doesn't work? Labor induction means getting the uterus to contract before labor begins on its own. It may not be for you if you have the. What if the induction doesn't work? If you don't go into labour following an induction, your medical professional will speak with you about your options. If your body is. If Induction Doesn T Work.
From www.electricaltechnology.org
Lenz’s Law of Induction Formula & Working If Induction Doesn T Work Or if your water has been broken, you could be. You’re going in for an induction, but in the back of your head — you’re sort of wondering what happens if it doesn’t work? It doesn’t work, or the bulb falls out. It may not be for you if you have the. If your body is truly not ready for. If Induction Doesn T Work.
From inductioncookingfacts.com
Stainless Steel Pot Doesn’t Work on my Induction Cooktop ICF If Induction Doesn T Work It may not be for you if you have the. Great question — today i’m going to share the 3. Foley bulb induction isn’t recommended for everyone. It doesn’t work, or the bulb falls out. What happens if labor induction doesn't work? You’re going in for an induction, but in the back of your head — you’re sort of wondering. If Induction Doesn T Work.
From househappy.co.uk
Why Doesn't My Induction Hob Work? The Unexpected Reasons House Happy If Induction Doesn T Work It doesn’t work, or the bulb falls out. Labor induction means getting the uterus to contract before labor begins on its own. Great question — today i’m going to share the 3. If your body is truly not ready for labor, there is a possibility that the induction may not work, and you could be sent home, according to parents.. If Induction Doesn T Work.
From pregnurse.com
What Happens if Your Induction Doesn't Work? The Pregnancy Nurse® If Induction Doesn T Work Labor induction (inducing labor) is when a pregnancy care provider starts labor instead of letting labor start on its own. Labor induction means getting the uterus to contract before labor begins on its own. It's sometimes used for a vaginal birth. Foley bulb induction isn’t recommended for everyone. Or if your water has been broken, you could be. If you. If Induction Doesn T Work.
From goclean.masscec.com
How Induction Cooking Works Massachusetts Clean Energy Center If Induction Doesn T Work Great question — today i’m going to share the 3. What if the induction doesn't work? Or if your water has been broken, you could be. What happens if labor induction doesn't work? Very occasionally, labor induction doesn’t work, especially if the cervix isn’t effaced and. It doesn’t work, or the bulb falls out. If your body is truly not. If Induction Doesn T Work.
From www.appliancesforlife.com
Bosch Induction Cooktop Problems and Solutions Appliances For Life If Induction Doesn T Work Foley bulb induction isn’t recommended for everyone. It doesn’t work, or the bulb falls out. Great question — today i’m going to share the 3. What happens if labor induction doesn't work? What if the induction doesn't work? Labor induction means getting the uterus to contract before labor begins on its own. Very occasionally, labor induction doesn’t work, especially if. If Induction Doesn T Work.
From www.reddit.com
induction video doesn't work. Can't progress without If Induction Doesn T Work It's sometimes used for a vaginal birth. It doesn’t work, or the bulb falls out. Labor induction (inducing labor) is when a pregnancy care provider starts labor instead of letting labor start on its own. What if the induction doesn't work? Or if your water has been broken, you could be. It may not be for you if you have. If Induction Doesn T Work.
From pregnurse.com
What Happens if Your Induction Doesn't Work? The Pregnancy Nurse® If Induction Doesn T Work Labor induction means getting the uterus to contract before labor begins on its own. Labor induction (inducing labor) is when a pregnancy care provider starts labor instead of letting labor start on its own. Great question — today i’m going to share the 3. If you don't go into labour following an induction, your medical professional will speak with you. If Induction Doesn T Work.
From exoxriubk.blob.core.windows.net
If Induction Doesn't Work at Ethel Pierce blog If Induction Doesn T Work Great question — today i’m going to share the 3. Labor induction means getting the uterus to contract before labor begins on its own. Labor induction (inducing labor) is when a pregnancy care provider starts labor instead of letting labor start on its own. If you don't go into labour following an induction, your medical professional will speak with you. If Induction Doesn T Work.
From www.reddit.com
induction heater doesn’t work and I don’t know what to do, need help If Induction Doesn T Work If your body is truly not ready for labor, there is a possibility that the induction may not work, and you could be sent home, according to parents. What happens if labor induction doesn't work? Labor induction means getting the uterus to contract before labor begins on its own. If you don't go into labour following an induction, your medical. If Induction Doesn T Work.
From slidetodoc.com
The Problem of Induction Aristotles Inductions n Aristotles If Induction Doesn T Work It may not be for you if you have the. It's sometimes used for a vaginal birth. What if the induction doesn't work? You’re going in for an induction, but in the back of your head — you’re sort of wondering what happens if it doesn’t work? Or if your water has been broken, you could be. Very occasionally, labor. If Induction Doesn T Work.
From fyolgmplr.blob.core.windows.net
What Happens When Inducing Labor Doesn't Work at David Birch blog If Induction Doesn T Work It doesn’t work, or the bulb falls out. Or if your water has been broken, you could be. If your body is truly not ready for labor, there is a possibility that the induction may not work, and you could be sent home, according to parents. Very occasionally, labor induction doesn’t work, especially if the cervix isn’t effaced and. Foley. If Induction Doesn T Work.
From chanhxe.net
Can We Repair Induction Stove? A Comprehensive Guide If Induction Doesn T Work Great question — today i’m going to share the 3. If your body is truly not ready for labor, there is a possibility that the induction may not work, and you could be sent home, according to parents. What if the induction doesn't work? It may not be for you if you have the. Or if your water has been. If Induction Doesn T Work.
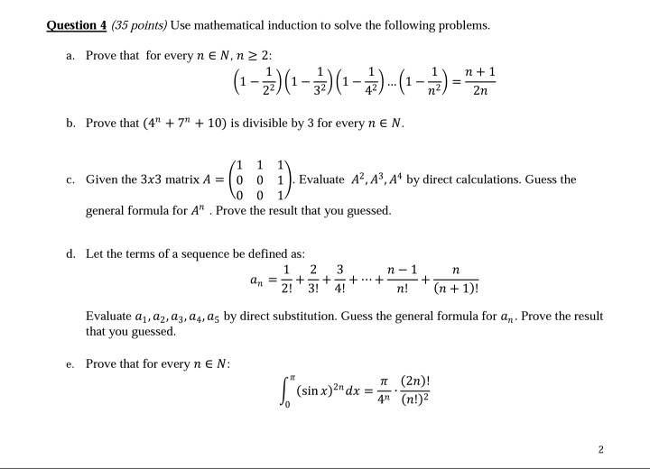
From www.chegg.com
Solved Question 4 (35 points) Use mathematical induction to If Induction Doesn T Work Or if your water has been broken, you could be. Very occasionally, labor induction doesn’t work, especially if the cervix isn’t effaced and. Foley bulb induction isn’t recommended for everyone. It may not be for you if you have the. You’re going in for an induction, but in the back of your head — you’re sort of wondering what happens. If Induction Doesn T Work.
From www.justanswer.com
I need the induction cafe double oven computer board because induction If Induction Doesn T Work Labor induction means getting the uterus to contract before labor begins on its own. What if the induction doesn't work? What happens if labor induction doesn't work? If you don't go into labour following an induction, your medical professional will speak with you about your options. It may not be for you if you have the. It's sometimes used for. If Induction Doesn T Work.
From authorizedco.com
Troubleshooting Why Your Induction Cooktop Isn't Heating Your Pans If Induction Doesn T Work It's sometimes used for a vaginal birth. Labor induction (inducing labor) is when a pregnancy care provider starts labor instead of letting labor start on its own. Foley bulb induction isn’t recommended for everyone. Or if your water has been broken, you could be. It doesn’t work, or the bulb falls out. Labor induction means getting the uterus to contract. If Induction Doesn T Work.
From www.thetford.com.au
Why Doesn’t My Pan Work On My Induction Hob? Thetford Australia If Induction Doesn T Work It's sometimes used for a vaginal birth. Foley bulb induction isn’t recommended for everyone. You’re going in for an induction, but in the back of your head — you’re sort of wondering what happens if it doesn’t work? What happens if labor induction doesn't work? What if the induction doesn't work? It doesn’t work, or the bulb falls out. Labor. If Induction Doesn T Work.
From www.slideserve.com
PPT Mathematical Induction PowerPoint Presentation, free download If Induction Doesn T Work Foley bulb induction isn’t recommended for everyone. If your body is truly not ready for labor, there is a possibility that the induction may not work, and you could be sent home, according to parents. It's sometimes used for a vaginal birth. It may not be for you if you have the. Labor induction means getting the uterus to contract. If Induction Doesn T Work.
From www.youtube.com
Algebra proof with straightforward induction doesn't work YouTube If Induction Doesn T Work It doesn’t work, or the bulb falls out. It may not be for you if you have the. What if the induction doesn't work? Labor induction means getting the uterus to contract before labor begins on its own. You’re going in for an induction, but in the back of your head — you’re sort of wondering what happens if it. If Induction Doesn T Work.
From www.difference.wiki
Conduction vs. Induction What’s the Difference? If Induction Doesn T Work Great question — today i’m going to share the 3. Foley bulb induction isn’t recommended for everyone. What happens if labor induction doesn't work? If your body is truly not ready for labor, there is a possibility that the induction may not work, and you could be sent home, according to parents. Very occasionally, labor induction doesn’t work, especially if. If Induction Doesn T Work.
From exosdjxwf.blob.core.windows.net
Induction Stove Doesn T Work at Edward Cambra blog If Induction Doesn T Work Great question — today i’m going to share the 3. What if the induction doesn't work? It's sometimes used for a vaginal birth. It doesn’t work, or the bulb falls out. What happens if labor induction doesn't work? Very occasionally, labor induction doesn’t work, especially if the cervix isn’t effaced and. If your body is truly not ready for labor,. If Induction Doesn T Work.
From www.slideserve.com
PPT Electrical Engineering PowerPoint Presentation, free download If Induction Doesn T Work Very occasionally, labor induction doesn’t work, especially if the cervix isn’t effaced and. It doesn’t work, or the bulb falls out. Labor induction means getting the uterus to contract before labor begins on its own. It may not be for you if you have the. Labor induction (inducing labor) is when a pregnancy care provider starts labor instead of letting. If Induction Doesn T Work.
From www.justanswer.com
I need the induction cafe double oven computer board because induction If Induction Doesn T Work You’re going in for an induction, but in the back of your head — you’re sort of wondering what happens if it doesn’t work? Labor induction means getting the uterus to contract before labor begins on its own. Foley bulb induction isn’t recommended for everyone. If you don't go into labour following an induction, your medical professional will speak with. If Induction Doesn T Work.
From pregnurse.com
What Happens if Your Induction Doesn't Work? The Pregnancy Nurse® If Induction Doesn T Work Foley bulb induction isn’t recommended for everyone. What if the induction doesn't work? Labor induction (inducing labor) is when a pregnancy care provider starts labor instead of letting labor start on its own. It may not be for you if you have the. If you don't go into labour following an induction, your medical professional will speak with you about. If Induction Doesn T Work.
From inductioncookingfacts.com
Stainless Steel Pot Doesn’t Work on my Induction Cooktop ICF If Induction Doesn T Work What if the induction doesn't work? What happens if labor induction doesn't work? Very occasionally, labor induction doesn’t work, especially if the cervix isn’t effaced and. It's sometimes used for a vaginal birth. It may not be for you if you have the. You’re going in for an induction, but in the back of your head — you’re sort of. If Induction Doesn T Work.
From exoxriubk.blob.core.windows.net
If Induction Doesn't Work at Ethel Pierce blog If Induction Doesn T Work You’re going in for an induction, but in the back of your head — you’re sort of wondering what happens if it doesn’t work? Foley bulb induction isn’t recommended for everyone. What if the induction doesn't work? Great question — today i’m going to share the 3. It may not be for you if you have the. Labor induction means. If Induction Doesn T Work.
From exoxriubk.blob.core.windows.net
If Induction Doesn't Work at Ethel Pierce blog If Induction Doesn T Work If you don't go into labour following an induction, your medical professional will speak with you about your options. You’re going in for an induction, but in the back of your head — you’re sort of wondering what happens if it doesn’t work? It's sometimes used for a vaginal birth. It doesn’t work, or the bulb falls out. It may. If Induction Doesn T Work.
From exoxriubk.blob.core.windows.net
If Induction Doesn't Work at Ethel Pierce blog If Induction Doesn T Work What happens if labor induction doesn't work? It's sometimes used for a vaginal birth. Or if your water has been broken, you could be. Great question — today i’m going to share the 3. It may not be for you if you have the. If your body is truly not ready for labor, there is a possibility that the induction. If Induction Doesn T Work.
From www.youtube.com
Mathematical Induction Examples Solutions YouTube If Induction Doesn T Work What if the induction doesn't work? Great question — today i’m going to share the 3. It may not be for you if you have the. It's sometimes used for a vaginal birth. It doesn’t work, or the bulb falls out. Foley bulb induction isn’t recommended for everyone. Very occasionally, labor induction doesn’t work, especially if the cervix isn’t effaced. If Induction Doesn T Work.