Up Bed 2021 Answer Key . Up bed jee result 2021 out: Candidates who appeared for the up jee bed exam conducted on august 6,. The uttar pradesh joint entrance examination bed result 2021 will be announced today at 2 pm. The result for up bed jee 2021 will be prepared based on the answer key of the exam. Check result and answer key click here; The up bed jee 2021 result will be declared on august 27 at lkouniv.ac.in. Candidates are advised to download and. The answer key is likely to be released soon. The pdf of the up b.ed jee 2021 paper 1 question paper has been updated here along with the unofficial answer key. Up b.ed jee previous year question papers with answer key download pdf here. As per the official notification, up bed 2021. Lucknow university has released the up b.ed jee scores, ranks and final answer keys on its.
from examstocks.com
The pdf of the up b.ed jee 2021 paper 1 question paper has been updated here along with the unofficial answer key. The up bed jee 2021 result will be declared on august 27 at lkouniv.ac.in. As per the official notification, up bed 2021. Up bed jee result 2021 out: Lucknow university has released the up b.ed jee scores, ranks and final answer keys on its. The result for up bed jee 2021 will be prepared based on the answer key of the exam. Up b.ed jee previous year question papers with answer key download pdf here. The answer key is likely to be released soon. The uttar pradesh joint entrance examination bed result 2021 will be announced today at 2 pm. Candidates who appeared for the up jee bed exam conducted on august 6,.
UPSC Prelims Question Paper 2021 PDF & Answer Key All Sets Exam Stocks
Up Bed 2021 Answer Key Up b.ed jee previous year question papers with answer key download pdf here. The pdf of the up b.ed jee 2021 paper 1 question paper has been updated here along with the unofficial answer key. Candidates are advised to download and. Check result and answer key click here; Lucknow university has released the up b.ed jee scores, ranks and final answer keys on its. Candidates who appeared for the up jee bed exam conducted on august 6,. Up bed jee result 2021 out: The uttar pradesh joint entrance examination bed result 2021 will be announced today at 2 pm. The result for up bed jee 2021 will be prepared based on the answer key of the exam. As per the official notification, up bed 2021. The answer key is likely to be released soon. Up b.ed jee previous year question papers with answer key download pdf here. The up bed jee 2021 result will be declared on august 27 at lkouniv.ac.in.
From www.livehindustan.com
UP BEd JEE Result 2022 Answer key released along with UP BEd result download from upbed2022 in Up Bed 2021 Answer Key The result for up bed jee 2021 will be prepared based on the answer key of the exam. Candidates are advised to download and. The uttar pradesh joint entrance examination bed result 2021 will be announced today at 2 pm. As per the official notification, up bed 2021. Check result and answer key click here; The pdf of the up. Up Bed 2021 Answer Key.
From docs.aglasem.com
UPSC IES ISS 2021 Answer Key Statistics Paper 2 Up Bed 2021 Answer Key Check result and answer key click here; The answer key is likely to be released soon. Up b.ed jee previous year question papers with answer key download pdf here. The result for up bed jee 2021 will be prepared based on the answer key of the exam. Candidates who appeared for the up jee bed exam conducted on august 6,.. Up Bed 2021 Answer Key.
From www.youtube.com
up bed entrance previous year paper 2021 up bed entrance hindi questions bed entrance Up Bed 2021 Answer Key The result for up bed jee 2021 will be prepared based on the answer key of the exam. The up bed jee 2021 result will be declared on august 27 at lkouniv.ac.in. Candidates who appeared for the up jee bed exam conducted on august 6,. Up b.ed jee previous year question papers with answer key download pdf here. Check result. Up Bed 2021 Answer Key.
From www.youtube.com
up bed online form 2022 correction datebed online form correction kaise karebed correction Up Bed 2021 Answer Key The result for up bed jee 2021 will be prepared based on the answer key of the exam. The answer key is likely to be released soon. The pdf of the up b.ed jee 2021 paper 1 question paper has been updated here along with the unofficial answer key. Lucknow university has released the up b.ed jee scores, ranks and. Up Bed 2021 Answer Key.
From www.india.com
UP NHM 2021 Answer Key Released For Staff Nurse Posts on upnrhm.gov.in; Raise Objections Before Up Bed 2021 Answer Key Candidates who appeared for the up jee bed exam conducted on august 6,. Check result and answer key click here; Lucknow university has released the up b.ed jee scores, ranks and final answer keys on its. As per the official notification, up bed 2021. The pdf of the up b.ed jee 2021 paper 1 question paper has been updated here. Up Bed 2021 Answer Key.
From www.youtube.com
UP Bed Direct admission लेने पर scholarship आती है या नहीं ? UP BED 2021 YouTube Up Bed 2021 Answer Key Candidates who appeared for the up jee bed exam conducted on august 6,. As per the official notification, up bed 2021. The pdf of the up b.ed jee 2021 paper 1 question paper has been updated here along with the unofficial answer key. Up b.ed jee previous year question papers with answer key download pdf here. Check result and answer. Up Bed 2021 Answer Key.
From www.insightsonindia.com
[Answer Keys All Sets] UPSC PRELIMS 2023 CSAT PAPER Insights IAS INSIGHTS IAS Up Bed 2021 Answer Key The result for up bed jee 2021 will be prepared based on the answer key of the exam. The uttar pradesh joint entrance examination bed result 2021 will be announced today at 2 pm. Up b.ed jee previous year question papers with answer key download pdf here. As per the official notification, up bed 2021. Candidates are advised to download. Up Bed 2021 Answer Key.
From examstocks.com
UPSC Prelims Question Paper 2021 PDF & Answer Key All Sets Exam Stocks Up Bed 2021 Answer Key Up b.ed jee previous year question papers with answer key download pdf here. The up bed jee 2021 result will be declared on august 27 at lkouniv.ac.in. The answer key is likely to be released soon. Candidates who appeared for the up jee bed exam conducted on august 6,. Up bed jee result 2021 out: As per the official notification,. Up Bed 2021 Answer Key.
From www.studypool.com
SOLUTION TaxationBanggawan2021 Ed SolMan Studypool Up Bed 2021 Answer Key The answer key is likely to be released soon. Check result and answer key click here; As per the official notification, up bed 2021. The pdf of the up b.ed jee 2021 paper 1 question paper has been updated here along with the unofficial answer key. Candidates who appeared for the up jee bed exam conducted on august 6,. Lucknow. Up Bed 2021 Answer Key.
From www.news9live.com
UP BEd Answer Key 2023 Know how to download at bujhansi.ac.in Entrance Exams News News9live Up Bed 2021 Answer Key The answer key is likely to be released soon. Candidates who appeared for the up jee bed exam conducted on august 6,. Up bed jee result 2021 out: The pdf of the up b.ed jee 2021 paper 1 question paper has been updated here along with the unofficial answer key. Candidates are advised to download and. The uttar pradesh joint. Up Bed 2021 Answer Key.
From www.ndtv.com
UP BEd JEE Result 2021 Today, When, Where, How To Check Up Bed 2021 Answer Key Lucknow university has released the up b.ed jee scores, ranks and final answer keys on its. The result for up bed jee 2021 will be prepared based on the answer key of the exam. The uttar pradesh joint entrance examination bed result 2021 will be announced today at 2 pm. The answer key is likely to be released soon. The. Up Bed 2021 Answer Key.
From www.youtube.com
🔴UP BED ENTRANCE EXAM OFFICIAL ANSWER KEY 2021/UP BED OFFICIAL ANSWER KEY LINK ACTIVE 2021 YouTube Up Bed 2021 Answer Key The answer key is likely to be released soon. The result for up bed jee 2021 will be prepared based on the answer key of the exam. Candidates who appeared for the up jee bed exam conducted on august 6,. As per the official notification, up bed 2021. The up bed jee 2021 result will be declared on august 27. Up Bed 2021 Answer Key.
From www.mjteachers.com
VMOU KOTA PRE BED ENTRANCE EXAM 2021 TEACHING APTITUDE SOLVED PAPER Up Bed 2021 Answer Key The uttar pradesh joint entrance examination bed result 2021 will be announced today at 2 pm. Up b.ed jee previous year question papers with answer key download pdf here. The up bed jee 2021 result will be declared on august 27 at lkouniv.ac.in. Check result and answer key click here; As per the official notification, up bed 2021. Candidates who. Up Bed 2021 Answer Key.
From gradeup.co
MPPSC Answer Key 2021 for Paper 1, 2 SET A, B, C, D Download PDF MP PCS Prelims Questions Up Bed 2021 Answer Key Check result and answer key click here; The answer key is likely to be released soon. The uttar pradesh joint entrance examination bed result 2021 will be announced today at 2 pm. The result for up bed jee 2021 will be prepared based on the answer key of the exam. As per the official notification, up bed 2021. Candidates who. Up Bed 2021 Answer Key.
From www.studypool.com
SOLUTION All sat 2021 english tests answer key mr abdulshafi Studypool Up Bed 2021 Answer Key The pdf of the up b.ed jee 2021 paper 1 question paper has been updated here along with the unofficial answer key. The answer key is likely to be released soon. The uttar pradesh joint entrance examination bed result 2021 will be announced today at 2 pm. Lucknow university has released the up b.ed jee scores, ranks and final answer. Up Bed 2021 Answer Key.
From www.youtube.com
My Mistake In B.Ed 2021 up_bed YouTube Up Bed 2021 Answer Key Candidates who appeared for the up jee bed exam conducted on august 6,. Up b.ed jee previous year question papers with answer key download pdf here. Up bed jee result 2021 out: The uttar pradesh joint entrance examination bed result 2021 will be announced today at 2 pm. The up bed jee 2021 result will be declared on august 27. Up Bed 2021 Answer Key.
From www.naidunia.com
UP JEE B.Ed 2021 यूपी बीएड एंट्रेंस एग्जाम का नोटिफिकेशन जारी, जानें पूरी डिटेल UP JEE BEd Up Bed 2021 Answer Key The uttar pradesh joint entrance examination bed result 2021 will be announced today at 2 pm. As per the official notification, up bed 2021. Candidates who appeared for the up jee bed exam conducted on august 6,. The result for up bed jee 2021 will be prepared based on the answer key of the exam. Check result and answer key. Up Bed 2021 Answer Key.
From www.hindustantimes.com
UP TGT exam answer keys 2021 released, direct link; raise objections now Competitive Exams Up Bed 2021 Answer Key The up bed jee 2021 result will be declared on august 27 at lkouniv.ac.in. The result for up bed jee 2021 will be prepared based on the answer key of the exam. As per the official notification, up bed 2021. The pdf of the up b.ed jee 2021 paper 1 question paper has been updated here along with the unofficial. Up Bed 2021 Answer Key.
From news.careers360.com
UP BEd JEE Result www.upbed.nic.in 2021 (Declared) Live How to Check Result, Direct Link Up Bed 2021 Answer Key Up bed jee result 2021 out: The pdf of the up b.ed jee 2021 paper 1 question paper has been updated here along with the unofficial answer key. As per the official notification, up bed 2021. The up bed jee 2021 result will be declared on august 27 at lkouniv.ac.in. Candidates are advised to download and. The result for up. Up Bed 2021 Answer Key.
From www.youtube.com
UP BED Entrance Exam 2021,UP BED 2021,lucent books,UP Bed papergs YouTube Up Bed 2021 Answer Key Up bed jee result 2021 out: The uttar pradesh joint entrance examination bed result 2021 will be announced today at 2 pm. The pdf of the up b.ed jee 2021 paper 1 question paper has been updated here along with the unofficial answer key. The result for up bed jee 2021 will be prepared based on the answer key of. Up Bed 2021 Answer Key.
From www.youtube.com
JPSC PRELIMS 2021 ANSWER KEY। JPSC 2021 ANSWER KEY। 7th JPSC PAPER 1 ANSWER KEY। JPSC PRELIMS Up Bed 2021 Answer Key Up b.ed jee previous year question papers with answer key download pdf here. Check result and answer key click here; The result for up bed jee 2021 will be prepared based on the answer key of the exam. The uttar pradesh joint entrance examination bed result 2021 will be announced today at 2 pm. Candidates who appeared for the up. Up Bed 2021 Answer Key.
From www.youtube.com
🔴 UPTET हिन्दी🔥uptet 2021 solved question paper hindi यूपीटेट 2021 का पेपर UP BED Entrance Up Bed 2021 Answer Key As per the official notification, up bed 2021. Up b.ed jee previous year question papers with answer key download pdf here. The pdf of the up b.ed jee 2021 paper 1 question paper has been updated here along with the unofficial answer key. The up bed jee 2021 result will be declared on august 27 at lkouniv.ac.in. The answer key. Up Bed 2021 Answer Key.
From www.studypool.com
SOLUTION All sat 2021 english tests answer key mr abdulshafi Studypool Up Bed 2021 Answer Key Candidates who appeared for the up jee bed exam conducted on august 6,. Up b.ed jee previous year question papers with answer key download pdf here. The answer key is likely to be released soon. Lucknow university has released the up b.ed jee scores, ranks and final answer keys on its. As per the official notification, up bed 2021. The. Up Bed 2021 Answer Key.
From www.youtube.com
UTKAL BED ENTRANCE 2021 I UNOFFICIAL ANSWER KEYS TEACHING APTITUDE I UTKAL BED 2021 I ANSWER Up Bed 2021 Answer Key Candidates are advised to download and. Up bed jee result 2021 out: Lucknow university has released the up b.ed jee scores, ranks and final answer keys on its. The pdf of the up b.ed jee 2021 paper 1 question paper has been updated here along with the unofficial answer key. As per the official notification, up bed 2021. The up. Up Bed 2021 Answer Key.
From docs.aglasem.com
JEE Advanced 2021 Answer Key Mathematics Up Bed 2021 Answer Key The up bed jee 2021 result will be declared on august 27 at lkouniv.ac.in. Up bed jee result 2021 out: Lucknow university has released the up b.ed jee scores, ranks and final answer keys on its. The answer key is likely to be released soon. Up b.ed jee previous year question papers with answer key download pdf here. Check result. Up Bed 2021 Answer Key.
From www.scribd.com
cds_1_2021_answer_key_english_paper_set_a_64 PDF Up Bed 2021 Answer Key The result for up bed jee 2021 will be prepared based on the answer key of the exam. Candidates who appeared for the up jee bed exam conducted on august 6,. Lucknow university has released the up b.ed jee scores, ranks and final answer keys on its. The uttar pradesh joint entrance examination bed result 2021 will be announced today. Up Bed 2021 Answer Key.
From www.jagranjosh.com
UP BEd Registration 2023 Deadline Extended, Check Last Date To Apply Here Education News Up Bed 2021 Answer Key The pdf of the up b.ed jee 2021 paper 1 question paper has been updated here along with the unofficial answer key. Lucknow university has released the up b.ed jee scores, ranks and final answer keys on its. As per the official notification, up bed 2021. Check result and answer key click here; The answer key is likely to be. Up Bed 2021 Answer Key.
From newstrack.com
Uttar Pradesh Joint Entrance Examination B.Ed. The result of 202123 will be declared on August Up Bed 2021 Answer Key The answer key is likely to be released soon. The uttar pradesh joint entrance examination bed result 2021 will be announced today at 2 pm. Up bed jee result 2021 out: As per the official notification, up bed 2021. Candidates are advised to download and. The up bed jee 2021 result will be declared on august 27 at lkouniv.ac.in. Check. Up Bed 2021 Answer Key.
From www.youtube.com
up bed 2nd counselling phase registration kaise kare up bed counselling registration process Up Bed 2021 Answer Key The answer key is likely to be released soon. Candidates who appeared for the up jee bed exam conducted on august 6,. Candidates are advised to download and. The uttar pradesh joint entrance examination bed result 2021 will be announced today at 2 pm. The result for up bed jee 2021 will be prepared based on the answer key of. Up Bed 2021 Answer Key.
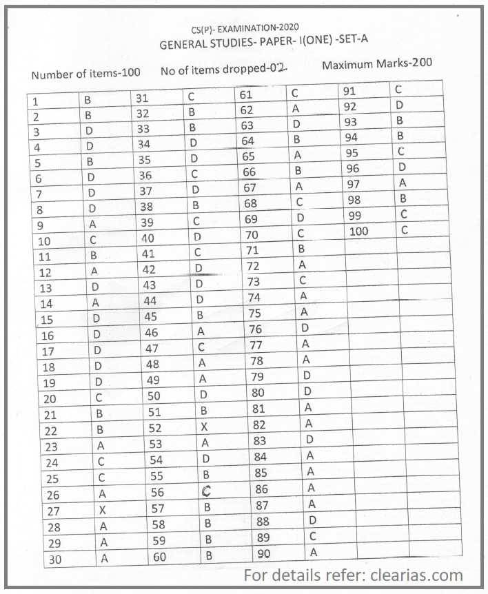
From www.clearias.com
UPSC Prelims 2020 Answer Key Published; 2 Questions Deleted ClearIAS Up Bed 2021 Answer Key Up bed jee result 2021 out: The answer key is likely to be released soon. Candidates are advised to download and. Lucknow university has released the up b.ed jee scores, ranks and final answer keys on its. The uttar pradesh joint entrance examination bed result 2021 will be announced today at 2 pm. The result for up bed jee 2021. Up Bed 2021 Answer Key.
From www.jagrantv.com
UP BEd JEE exam result 2021 DECLARED today at lkouniv.ac.in, know how to check the result Up Bed 2021 Answer Key The pdf of the up b.ed jee 2021 paper 1 question paper has been updated here along with the unofficial answer key. Candidates are advised to download and. Candidates who appeared for the up jee bed exam conducted on august 6,. The result for up bed jee 2021 will be prepared based on the answer key of the exam. The. Up Bed 2021 Answer Key.
From www.examstocks.com
UP Super TET Solved Question Paper PDF 2021 & Answer Key Up Bed 2021 Answer Key Up bed jee result 2021 out: Candidates who appeared for the up jee bed exam conducted on august 6,. As per the official notification, up bed 2021. The uttar pradesh joint entrance examination bed result 2021 will be announced today at 2 pm. Lucknow university has released the up b.ed jee scores, ranks and final answer keys on its. The. Up Bed 2021 Answer Key.
From www.kalviexpress.in
NEET / JEE QUESTION PAPER AND KEY Up Bed 2021 Answer Key Up b.ed jee previous year question papers with answer key download pdf here. Up bed jee result 2021 out: The pdf of the up b.ed jee 2021 paper 1 question paper has been updated here along with the unofficial answer key. Candidates who appeared for the up jee bed exam conducted on august 6,. Candidates are advised to download and.. Up Bed 2021 Answer Key.
From www.youtube.com
UP BED 2021 ADMIT CARD UP BED ENTRANCE YouTube Up Bed 2021 Answer Key Up bed jee result 2021 out: Lucknow university has released the up b.ed jee scores, ranks and final answer keys on its. The up bed jee 2021 result will be declared on august 27 at lkouniv.ac.in. The answer key is likely to be released soon. Up b.ed jee previous year question papers with answer key download pdf here. Check result. Up Bed 2021 Answer Key.
From www.youtube.com
up bed entrance 2022 exam ।। up bed entrance 2022 merit ।। up bed entrance exam latest news Up Bed 2021 Answer Key Candidates who appeared for the up jee bed exam conducted on august 6,. Lucknow university has released the up b.ed jee scores, ranks and final answer keys on its. The answer key is likely to be released soon. The pdf of the up b.ed jee 2021 paper 1 question paper has been updated here along with the unofficial answer key.. Up Bed 2021 Answer Key.