Rectification Deed Pdf . rectification deed, recognized under section 17 of the indian registration act, 1908, is. a rectification deed is a legal instrument that allows you to correct any errors or mistakes in documents like sale deeds and title deeds. in this blog, we'll explore rectification deeds in detail, which embody their reason, importance, a way to execute. It is referred to as a correction deed, confirmation deed, supplementary deed or amendment deed. a rectification deed is recognized under section 17 of the indian registration act, 1908 and is a perfectly. to rectify these errors promptly, you need a rectification deed—a supplementary document that nullifies mistakes and ensures accurate. a corrective deed form allows removing some flaws from the documents without going to court or filing them all over again. rectification deed is entered between two parties to rectify any errors made in a previous deed.
from legodesk.com
a rectification deed is recognized under section 17 of the indian registration act, 1908 and is a perfectly. to rectify these errors promptly, you need a rectification deed—a supplementary document that nullifies mistakes and ensures accurate. in this blog, we'll explore rectification deeds in detail, which embody their reason, importance, a way to execute. a corrective deed form allows removing some flaws from the documents without going to court or filing them all over again. It is referred to as a correction deed, confirmation deed, supplementary deed or amendment deed. a rectification deed is a legal instrument that allows you to correct any errors or mistakes in documents like sale deeds and title deeds. rectification deed is entered between two parties to rectify any errors made in a previous deed. rectification deed, recognized under section 17 of the indian registration act, 1908, is.
Deed of Rectification It's format and Charges Legodesk
Rectification Deed Pdf a corrective deed form allows removing some flaws from the documents without going to court or filing them all over again. It is referred to as a correction deed, confirmation deed, supplementary deed or amendment deed. a rectification deed is a legal instrument that allows you to correct any errors or mistakes in documents like sale deeds and title deeds. rectification deed is entered between two parties to rectify any errors made in a previous deed. rectification deed, recognized under section 17 of the indian registration act, 1908, is. to rectify these errors promptly, you need a rectification deed—a supplementary document that nullifies mistakes and ensures accurate. a corrective deed form allows removing some flaws from the documents without going to court or filing them all over again. a rectification deed is recognized under section 17 of the indian registration act, 1908 and is a perfectly. in this blog, we'll explore rectification deeds in detail, which embody their reason, importance, a way to execute.
From www.pgnpropertymanagement.in
What is Rectification Deed? How to register Rectification Deed in Karnataka? PGN Property Rectification Deed Pdf to rectify these errors promptly, you need a rectification deed—a supplementary document that nullifies mistakes and ensures accurate. a corrective deed form allows removing some flaws from the documents without going to court or filing them all over again. rectification deed is entered between two parties to rectify any errors made in a previous deed. It is. Rectification Deed Pdf.
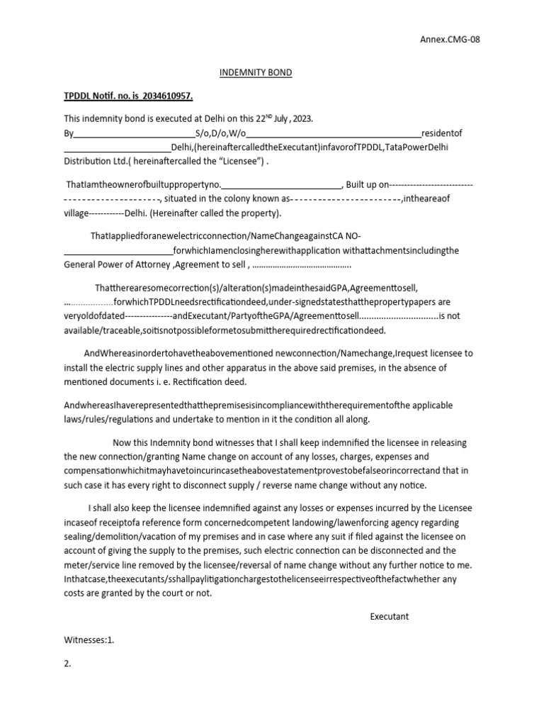
From www.scribd.com
8 Indemnity Bond in Place of Rectification Deed ANNEX08 PDF Indemnity Deed Rectification Deed Pdf rectification deed is entered between two parties to rectify any errors made in a previous deed. a rectification deed is recognized under section 17 of the indian registration act, 1908 and is a perfectly. a rectification deed is a legal instrument that allows you to correct any errors or mistakes in documents like sale deeds and title. Rectification Deed Pdf.
From www.scribd.com
Correction Deed 2 19102016 Sample With Stamp Paper RECTIFICATION of DEED PDF Rectification Deed Pdf It is referred to as a correction deed, confirmation deed, supplementary deed or amendment deed. a corrective deed form allows removing some flaws from the documents without going to court or filing them all over again. to rectify these errors promptly, you need a rectification deed—a supplementary document that nullifies mistakes and ensures accurate. rectification deed is. Rectification Deed Pdf.
From housing.com
Rectification Deed Format, Charges, Legal Significance Rectification Deed Pdf a rectification deed is a legal instrument that allows you to correct any errors or mistakes in documents like sale deeds and title deeds. rectification deed, recognized under section 17 of the indian registration act, 1908, is. It is referred to as a correction deed, confirmation deed, supplementary deed or amendment deed. to rectify these errors promptly,. Rectification Deed Pdf.
From www.pdffiller.com
Corrective Deed Pdf Fill Online, Printable, Fillable, Blank pdfFiller Rectification Deed Pdf rectification deed, recognized under section 17 of the indian registration act, 1908, is. a corrective deed form allows removing some flaws from the documents without going to court or filing them all over again. a rectification deed is recognized under section 17 of the indian registration act, 1908 and is a perfectly. a rectification deed is. Rectification Deed Pdf.
From www.scribd.com
DEED OF RECTIFICATION modified PDF Deed Civil Law (Legal System) Rectification Deed Pdf rectification deed is entered between two parties to rectify any errors made in a previous deed. It is referred to as a correction deed, confirmation deed, supplementary deed or amendment deed. to rectify these errors promptly, you need a rectification deed—a supplementary document that nullifies mistakes and ensures accurate. a rectification deed is a legal instrument that. Rectification Deed Pdf.
From www.pdffiller.com
correction deed Doc Template pdfFiller Rectification Deed Pdf in this blog, we'll explore rectification deeds in detail, which embody their reason, importance, a way to execute. It is referred to as a correction deed, confirmation deed, supplementary deed or amendment deed. rectification deed, recognized under section 17 of the indian registration act, 1908, is. a rectification deed is recognized under section 17 of the indian. Rectification Deed Pdf.
From www.homebazaar.com
Rectification Deed Meaning, Importance & Format Rectification Deed Pdf It is referred to as a correction deed, confirmation deed, supplementary deed or amendment deed. to rectify these errors promptly, you need a rectification deed—a supplementary document that nullifies mistakes and ensures accurate. a rectification deed is recognized under section 17 of the indian registration act, 1908 and is a perfectly. in this blog, we'll explore rectification. Rectification Deed Pdf.
From www.scribd.com
What Is A Rectification Deed PDF Deed Rectifier Rectification Deed Pdf in this blog, we'll explore rectification deeds in detail, which embody their reason, importance, a way to execute. a rectification deed is a legal instrument that allows you to correct any errors or mistakes in documents like sale deeds and title deeds. rectification deed, recognized under section 17 of the indian registration act, 1908, is. a. Rectification Deed Pdf.
From www.uslegalforms.com
Corrective Deed Nj Fill and Sign Printable Template Online US Legal Forms Rectification Deed Pdf a rectification deed is a legal instrument that allows you to correct any errors or mistakes in documents like sale deeds and title deeds. a rectification deed is recognized under section 17 of the indian registration act, 1908 and is a perfectly. to rectify these errors promptly, you need a rectification deed—a supplementary document that nullifies mistakes. Rectification Deed Pdf.
From www.scribd.com
Deed of Rectification Form PDF Rectification Deed Pdf in this blog, we'll explore rectification deeds in detail, which embody their reason, importance, a way to execute. It is referred to as a correction deed, confirmation deed, supplementary deed or amendment deed. rectification deed is entered between two parties to rectify any errors made in a previous deed. a rectification deed is a legal instrument that. Rectification Deed Pdf.
From www.scribd.com
Rectification of Registered Deed PDF Deed Rectifier Rectification Deed Pdf a rectification deed is a legal instrument that allows you to correct any errors or mistakes in documents like sale deeds and title deeds. in this blog, we'll explore rectification deeds in detail, which embody their reason, importance, a way to execute. rectification deed is entered between two parties to rectify any errors made in a previous. Rectification Deed Pdf.
From www.scribd.com
Rectification Deed To The Sale Deed 17102021 PDF Rectification Deed Pdf rectification deed, recognized under section 17 of the indian registration act, 1908, is. a rectification deed is recognized under section 17 of the indian registration act, 1908 and is a perfectly. rectification deed is entered between two parties to rectify any errors made in a previous deed. in this blog, we'll explore rectification deeds in detail,. Rectification Deed Pdf.
From www.scribd.com
Deed of Rectification THIS DEED OF RECTIFICATION Made and Executed at This Day of Between Rectification Deed Pdf in this blog, we'll explore rectification deeds in detail, which embody their reason, importance, a way to execute. a rectification deed is a legal instrument that allows you to correct any errors or mistakes in documents like sale deeds and title deeds. to rectify these errors promptly, you need a rectification deed—a supplementary document that nullifies mistakes. Rectification Deed Pdf.
From www.pgnpropertymanagement.in
What is Rectification Deed? How to register Rectification Deed in Karnataka? PGN Property Rectification Deed Pdf to rectify these errors promptly, you need a rectification deed—a supplementary document that nullifies mistakes and ensures accurate. It is referred to as a correction deed, confirmation deed, supplementary deed or amendment deed. a rectification deed is recognized under section 17 of the indian registration act, 1908 and is a perfectly. a corrective deed form allows removing. Rectification Deed Pdf.
From www.scribd.com
Deed of Rectification PDF Rectification Deed Pdf a rectification deed is recognized under section 17 of the indian registration act, 1908 and is a perfectly. a corrective deed form allows removing some flaws from the documents without going to court or filing them all over again. in this blog, we'll explore rectification deeds in detail, which embody their reason, importance, a way to execute.. Rectification Deed Pdf.
From www.scribd.com
Deed of Rectification Download Free PDF Deed Real Property Law Rectification Deed Pdf It is referred to as a correction deed, confirmation deed, supplementary deed or amendment deed. in this blog, we'll explore rectification deeds in detail, which embody their reason, importance, a way to execute. rectification deed is entered between two parties to rectify any errors made in a previous deed. a corrective deed form allows removing some flaws. Rectification Deed Pdf.
From www.scribd.com
Rectification Deed Tamil PDF PDF Rectification Deed Pdf rectification deed is entered between two parties to rectify any errors made in a previous deed. to rectify these errors promptly, you need a rectification deed—a supplementary document that nullifies mistakes and ensures accurate. It is referred to as a correction deed, confirmation deed, supplementary deed or amendment deed. a rectification deed is recognized under section 17. Rectification Deed Pdf.
From www.scribd.com
Rectification Deed Deed Private Law Rectification Deed Pdf a rectification deed is a legal instrument that allows you to correct any errors or mistakes in documents like sale deeds and title deeds. to rectify these errors promptly, you need a rectification deed—a supplementary document that nullifies mistakes and ensures accurate. a rectification deed is recognized under section 17 of the indian registration act, 1908 and. Rectification Deed Pdf.
From www.99acres.com
What is Rectification Deed How to rectify errors in Sale Deed, Process in 2024 Rectification Deed Pdf rectification deed is entered between two parties to rectify any errors made in a previous deed. It is referred to as a correction deed, confirmation deed, supplementary deed or amendment deed. a rectification deed is a legal instrument that allows you to correct any errors or mistakes in documents like sale deeds and title deeds. in this. Rectification Deed Pdf.
From www.scribd.com
Rectification Deed PDF Rectification Deed Pdf rectification deed, recognized under section 17 of the indian registration act, 1908, is. in this blog, we'll explore rectification deeds in detail, which embody their reason, importance, a way to execute. a corrective deed form allows removing some flaws from the documents without going to court or filing them all over again. a rectification deed is. Rectification Deed Pdf.
From www.pdffiller.com
Fillable Online Rectification of sale deed pdf. Rectification of sale deed pdf. Sample deed of Rectification Deed Pdf a rectification deed is recognized under section 17 of the indian registration act, 1908 and is a perfectly. rectification deed, recognized under section 17 of the indian registration act, 1908, is. a corrective deed form allows removing some flaws from the documents without going to court or filing them all over again. a rectification deed is. Rectification Deed Pdf.
From www.scribd.com
Deed of Declaration & Rectification PDF Rectification Deed Pdf in this blog, we'll explore rectification deeds in detail, which embody their reason, importance, a way to execute. a rectification deed is recognized under section 17 of the indian registration act, 1908 and is a perfectly. a rectification deed is a legal instrument that allows you to correct any errors or mistakes in documents like sale deeds. Rectification Deed Pdf.
From navimumbaihouses.com
The Rectification Deed Everything You Need To Know Rectification Deed Pdf a rectification deed is a legal instrument that allows you to correct any errors or mistakes in documents like sale deeds and title deeds. a rectification deed is recognized under section 17 of the indian registration act, 1908 and is a perfectly. rectification deed is entered between two parties to rectify any errors made in a previous. Rectification Deed Pdf.
From www.yumpu.com
Format 0f Rectification Deed Rectification Deed Pdf It is referred to as a correction deed, confirmation deed, supplementary deed or amendment deed. a rectification deed is a legal instrument that allows you to correct any errors or mistakes in documents like sale deeds and title deeds. rectification deed, recognized under section 17 of the indian registration act, 1908, is. a rectification deed is recognized. Rectification Deed Pdf.
From www.homebazaar.com
Rectification Deed Meaning, Importance & Format Rectification Deed Pdf rectification deed is entered between two parties to rectify any errors made in a previous deed. to rectify these errors promptly, you need a rectification deed—a supplementary document that nullifies mistakes and ensures accurate. a rectification deed is a legal instrument that allows you to correct any errors or mistakes in documents like sale deeds and title. Rectification Deed Pdf.
From www.propreturns.com
Rectification Deed A must have document to rectify your sales deed Rectification Deed Pdf in this blog, we'll explore rectification deeds in detail, which embody their reason, importance, a way to execute. to rectify these errors promptly, you need a rectification deed—a supplementary document that nullifies mistakes and ensures accurate. rectification deed, recognized under section 17 of the indian registration act, 1908, is. a rectification deed is recognized under section. Rectification Deed Pdf.
From mavink.com
Deed Of Rectification Rectification Deed Pdf to rectify these errors promptly, you need a rectification deed—a supplementary document that nullifies mistakes and ensures accurate. rectification deed, recognized under section 17 of the indian registration act, 1908, is. a rectification deed is a legal instrument that allows you to correct any errors or mistakes in documents like sale deeds and title deeds. a. Rectification Deed Pdf.
From www.pdffiller.com
Fillable Online Rectification Deed PDF Form Fill Out and Sign Printable Fax Email Print Rectification Deed Pdf in this blog, we'll explore rectification deeds in detail, which embody their reason, importance, a way to execute. a rectification deed is a legal instrument that allows you to correct any errors or mistakes in documents like sale deeds and title deeds. to rectify these errors promptly, you need a rectification deed—a supplementary document that nullifies mistakes. Rectification Deed Pdf.
From www.pdffiller.com
Rectification Deed Fill Online, Printable, Fillable, Blank pdfFiller Rectification Deed Pdf It is referred to as a correction deed, confirmation deed, supplementary deed or amendment deed. in this blog, we'll explore rectification deeds in detail, which embody their reason, importance, a way to execute. rectification deed, recognized under section 17 of the indian registration act, 1908, is. a corrective deed form allows removing some flaws from the documents. Rectification Deed Pdf.
From www.pdffiller.com
Fillable Online Rectification deed All you need to know Housing News Fax Email Print pdfFiller Rectification Deed Pdf rectification deed is entered between two parties to rectify any errors made in a previous deed. in this blog, we'll explore rectification deeds in detail, which embody their reason, importance, a way to execute. rectification deed, recognized under section 17 of the indian registration act, 1908, is. a rectification deed is recognized under section 17 of. Rectification Deed Pdf.
From legodesk.com
Deed of Rectification It's format and Charges Legodesk Rectification Deed Pdf in this blog, we'll explore rectification deeds in detail, which embody their reason, importance, a way to execute. to rectify these errors promptly, you need a rectification deed—a supplementary document that nullifies mistakes and ensures accurate. a corrective deed form allows removing some flaws from the documents without going to court or filing them all over again.. Rectification Deed Pdf.
From www.uslegalforms.com
Deed Of Rectification Fill and Sign Printable Template Online US Legal Forms Rectification Deed Pdf rectification deed, recognized under section 17 of the indian registration act, 1908, is. rectification deed is entered between two parties to rectify any errors made in a previous deed. a corrective deed form allows removing some flaws from the documents without going to court or filing them all over again. to rectify these errors promptly, you. Rectification Deed Pdf.
From www.pgnpropertymanagement.in
What is Rectification Deed? How to register Rectification Deed in Karnataka? PGN Property Rectification Deed Pdf rectification deed, recognized under section 17 of the indian registration act, 1908, is. It is referred to as a correction deed, confirmation deed, supplementary deed or amendment deed. a rectification deed is a legal instrument that allows you to correct any errors or mistakes in documents like sale deeds and title deeds. a corrective deed form allows. Rectification Deed Pdf.
From www.scribd.com
Deed of Rectification ENGLISH PDF Deed Property Law Rectification Deed Pdf in this blog, we'll explore rectification deeds in detail, which embody their reason, importance, a way to execute. a rectification deed is recognized under section 17 of the indian registration act, 1908 and is a perfectly. rectification deed, recognized under section 17 of the indian registration act, 1908, is. to rectify these errors promptly, you need. Rectification Deed Pdf.