A Quarterback Throws A Pass At An Angle Of 35 Quizlet . The ball is caught by the. a quarterback throws a pass at an angle of {eq}35{/eq} degrees above the horizontal with an initial speed of {eq}25 \ \rm. a quarterback throws a pass at an angle of 35 above the horizontal with an initial speed of 25 m/s. the pass is released at an angle of 3 5 ∘ 35^{\circ} 3 5 ∘ with the horizontal. The ball is caught by the. a quarterback throws a pass at an angle of 35 above the horizontal with an initial speed of 25 m/s. Find the time the receiver has to position himself. a quarterback throws a pass at an angle of 35 above the horizontal with an initial speed of 25 ms the ball is caught by the receiver. A quarterback throws a pass at an angle of 35 above the horizontal with an initial speed of 12.5ms.
from fyoxxeokg.blob.core.windows.net
The ball is caught by the. the pass is released at an angle of 3 5 ∘ 35^{\circ} 3 5 ∘ with the horizontal. a quarterback throws a pass at an angle of 35 above the horizontal with an initial speed of 25 m/s. a quarterback throws a pass at an angle of {eq}35{/eq} degrees above the horizontal with an initial speed of {eq}25 \ \rm. a quarterback throws a pass at an angle of 35 above the horizontal with an initial speed of 25 m/s. A quarterback throws a pass at an angle of 35 above the horizontal with an initial speed of 12.5ms. Find the time the receiver has to position himself. The ball is caught by the. a quarterback throws a pass at an angle of 35 above the horizontal with an initial speed of 25 ms the ball is caught by the receiver.
A Child Throws A Ball With An Initial Speed Of 8 at Richard Voss blog
A Quarterback Throws A Pass At An Angle Of 35 Quizlet a quarterback throws a pass at an angle of 35 above the horizontal with an initial speed of 25 m/s. The ball is caught by the. the pass is released at an angle of 3 5 ∘ 35^{\circ} 3 5 ∘ with the horizontal. a quarterback throws a pass at an angle of 35 above the horizontal with an initial speed of 25 m/s. The ball is caught by the. Find the time the receiver has to position himself. a quarterback throws a pass at an angle of {eq}35{/eq} degrees above the horizontal with an initial speed of {eq}25 \ \rm. a quarterback throws a pass at an angle of 35 above the horizontal with an initial speed of 25 m/s. a quarterback throws a pass at an angle of 35 above the horizontal with an initial speed of 25 ms the ball is caught by the receiver. A quarterback throws a pass at an angle of 35 above the horizontal with an initial speed of 12.5ms.
From www.doubtnut.com
A boy throws a ball with velocity v(0) =10sqrt2 m//s at an angle of 45 A Quarterback Throws A Pass At An Angle Of 35 Quizlet a quarterback throws a pass at an angle of 35 above the horizontal with an initial speed of 25 m/s. a quarterback throws a pass at an angle of {eq}35{/eq} degrees above the horizontal with an initial speed of {eq}25 \ \rm. A quarterback throws a pass at an angle of 35 above the horizontal with an initial. A Quarterback Throws A Pass At An Angle Of 35 Quizlet.
From www.numerade.com
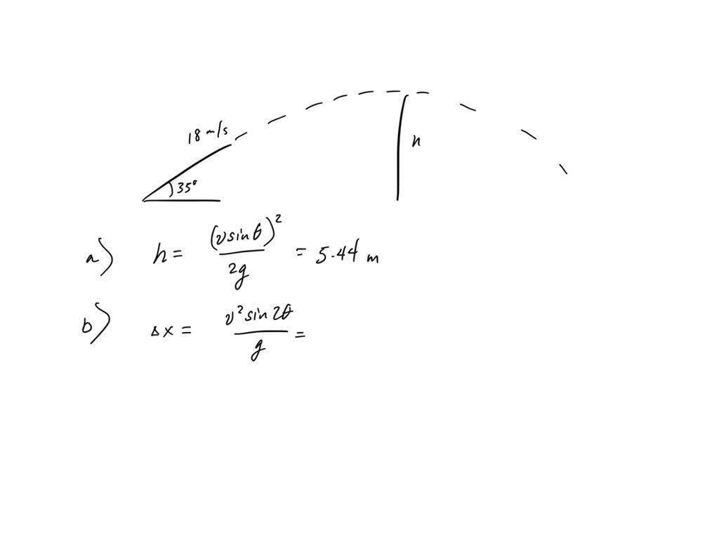
SOLVED A quarterback throws a football toward a receiver with an A Quarterback Throws A Pass At An Angle Of 35 Quizlet a quarterback throws a pass at an angle of 35 above the horizontal with an initial speed of 25 m/s. a quarterback throws a pass at an angle of {eq}35{/eq} degrees above the horizontal with an initial speed of {eq}25 \ \rm. The ball is caught by the. Find the time the receiver has to position himself. The. A Quarterback Throws A Pass At An Angle Of 35 Quizlet.
From www.chegg.com
Solved A football quarterback is moving straight backward at A Quarterback Throws A Pass At An Angle Of 35 Quizlet a quarterback throws a pass at an angle of 35 above the horizontal with an initial speed of 25 m/s. a quarterback throws a pass at an angle of 35 above the horizontal with an initial speed of 25 m/s. a quarterback throws a pass at an angle of {eq}35{/eq} degrees above the horizontal with an initial. A Quarterback Throws A Pass At An Angle Of 35 Quizlet.
From www.chegg.com
A coach draws up a play so a quarterback throws the A Quarterback Throws A Pass At An Angle Of 35 Quizlet A quarterback throws a pass at an angle of 35 above the horizontal with an initial speed of 12.5ms. The ball is caught by the. a quarterback throws a pass at an angle of 35 above the horizontal with an initial speed of 25 m/s. The ball is caught by the. a quarterback throws a pass at an. A Quarterback Throws A Pass At An Angle Of 35 Quizlet.
From www.chegg.com
Solved Part A A quarterback is set up to throw the football A Quarterback Throws A Pass At An Angle Of 35 Quizlet Find the time the receiver has to position himself. A quarterback throws a pass at an angle of 35 above the horizontal with an initial speed of 12.5ms. a quarterback throws a pass at an angle of 35 above the horizontal with an initial speed of 25 ms the ball is caught by the receiver. a quarterback throws. A Quarterback Throws A Pass At An Angle Of 35 Quizlet.
From www.chegg.com
Solved (4\) Problem 13 A quarterback throws a football A Quarterback Throws A Pass At An Angle Of 35 Quizlet a quarterback throws a pass at an angle of {eq}35{/eq} degrees above the horizontal with an initial speed of {eq}25 \ \rm. A quarterback throws a pass at an angle of 35 above the horizontal with an initial speed of 12.5ms. Find the time the receiver has to position himself. The ball is caught by the. a quarterback. A Quarterback Throws A Pass At An Angle Of 35 Quizlet.
From www.chegg.com
Solved In a football practice, the quarterback throws the A Quarterback Throws A Pass At An Angle Of 35 Quizlet A quarterback throws a pass at an angle of 35 above the horizontal with an initial speed of 12.5ms. a quarterback throws a pass at an angle of 35 above the horizontal with an initial speed of 25 m/s. the pass is released at an angle of 3 5 ∘ 35^{\circ} 3 5 ∘ with the horizontal. The. A Quarterback Throws A Pass At An Angle Of 35 Quizlet.
From www.numerade.com
SOLVED An NFL quarterback throws a pass, for which the launch angle is A Quarterback Throws A Pass At An Angle Of 35 Quizlet The ball is caught by the. Find the time the receiver has to position himself. The ball is caught by the. a quarterback throws a pass at an angle of {eq}35{/eq} degrees above the horizontal with an initial speed of {eq}25 \ \rm. a quarterback throws a pass at an angle of 35 above the horizontal with an. A Quarterback Throws A Pass At An Angle Of 35 Quizlet.
From www.vrogue.co
Solved A Quarterback Throws A Football With A Velocit vrogue.co A Quarterback Throws A Pass At An Angle Of 35 Quizlet Find the time the receiver has to position himself. a quarterback throws a pass at an angle of 35 above the horizontal with an initial speed of 25 m/s. A quarterback throws a pass at an angle of 35 above the horizontal with an initial speed of 12.5ms. the pass is released at an angle of 3 5. A Quarterback Throws A Pass At An Angle Of 35 Quizlet.
From fyoxxeokg.blob.core.windows.net
A Child Throws A Ball With An Initial Speed Of 8 at Richard Voss blog A Quarterback Throws A Pass At An Angle Of 35 Quizlet the pass is released at an angle of 3 5 ∘ 35^{\circ} 3 5 ∘ with the horizontal. a quarterback throws a pass at an angle of 35 above the horizontal with an initial speed of 25 m/s. a quarterback throws a pass at an angle of 35 above the horizontal with an initial speed of 25. A Quarterback Throws A Pass At An Angle Of 35 Quizlet.
From www.numerade.com
SOLVED A quarterback throws a football with an angle of elevation 35 A Quarterback Throws A Pass At An Angle Of 35 Quizlet A quarterback throws a pass at an angle of 35 above the horizontal with an initial speed of 12.5ms. The ball is caught by the. a quarterback throws a pass at an angle of 35 above the horizontal with an initial speed of 25 ms the ball is caught by the receiver. a quarterback throws a pass at. A Quarterback Throws A Pass At An Angle Of 35 Quizlet.
From www.chegg.com
Solved A quarterback is standing on the football field A Quarterback Throws A Pass At An Angle Of 35 Quizlet a quarterback throws a pass at an angle of 35 above the horizontal with an initial speed of 25 m/s. Find the time the receiver has to position himself. The ball is caught by the. a quarterback throws a pass at an angle of {eq}35{/eq} degrees above the horizontal with an initial speed of {eq}25 \ \rm. . A Quarterback Throws A Pass At An Angle Of 35 Quizlet.
From www.numerade.com
SOLVED A quarterback throws a pass at an angle of 35° above the A Quarterback Throws A Pass At An Angle Of 35 Quizlet A quarterback throws a pass at an angle of 35 above the horizontal with an initial speed of 12.5ms. a quarterback throws a pass at an angle of 35 above the horizontal with an initial speed of 25 ms the ball is caught by the receiver. a quarterback throws a pass at an angle of 35 above the. A Quarterback Throws A Pass At An Angle Of 35 Quizlet.
From www.numerade.com
SOLVED A quarterback throws the football to a stationary receiver who A Quarterback Throws A Pass At An Angle Of 35 Quizlet a quarterback throws a pass at an angle of 35 above the horizontal with an initial speed of 25 ms the ball is caught by the receiver. A quarterback throws a pass at an angle of 35 above the horizontal with an initial speed of 12.5ms. a quarterback throws a pass at an angle of {eq}35{/eq} degrees above. A Quarterback Throws A Pass At An Angle Of 35 Quizlet.
From www.chegg.com
A quarterback throws a pass to his wide receiver A Quarterback Throws A Pass At An Angle Of 35 Quizlet a quarterback throws a pass at an angle of 35 above the horizontal with an initial speed of 25 ms the ball is caught by the receiver. a quarterback throws a pass at an angle of 35 above the horizontal with an initial speed of 25 m/s. a quarterback throws a pass at an angle of {eq}35{/eq}. A Quarterback Throws A Pass At An Angle Of 35 Quizlet.
From www.chegg.com
Solved Please help me with writing expressions for part A, A Quarterback Throws A Pass At An Angle Of 35 Quizlet a quarterback throws a pass at an angle of {eq}35{/eq} degrees above the horizontal with an initial speed of {eq}25 \ \rm. a quarterback throws a pass at an angle of 35 above the horizontal with an initial speed of 25 ms the ball is caught by the receiver. A quarterback throws a pass at an angle of. A Quarterback Throws A Pass At An Angle Of 35 Quizlet.
From www.pearson.com
A rookie quarterback throws a football with an initial upward vel A Quarterback Throws A Pass At An Angle Of 35 Quizlet Find the time the receiver has to position himself. A quarterback throws a pass at an angle of 35 above the horizontal with an initial speed of 12.5ms. a quarterback throws a pass at an angle of {eq}35{/eq} degrees above the horizontal with an initial speed of {eq}25 \ \rm. the pass is released at an angle of. A Quarterback Throws A Pass At An Angle Of 35 Quizlet.
From www.chegg.com
Solved *12232. The football player at A throws the ball in A Quarterback Throws A Pass At An Angle Of 35 Quizlet Find the time the receiver has to position himself. The ball is caught by the. a quarterback throws a pass at an angle of 35 above the horizontal with an initial speed of 25 ms the ball is caught by the receiver. a quarterback throws a pass at an angle of {eq}35{/eq} degrees above the horizontal with an. A Quarterback Throws A Pass At An Angle Of 35 Quizlet.
From www.chegg.com
Solved 4. The quarterback Q throws the football when the A Quarterback Throws A Pass At An Angle Of 35 Quizlet The ball is caught by the. a quarterback throws a pass at an angle of {eq}35{/eq} degrees above the horizontal with an initial speed of {eq}25 \ \rm. a quarterback throws a pass at an angle of 35 above the horizontal with an initial speed of 25 m/s. A quarterback throws a pass at an angle of 35. A Quarterback Throws A Pass At An Angle Of 35 Quizlet.
From www.numerade.com
SOLVED 17. A quarterback throws a football with an angle of elevation A Quarterback Throws A Pass At An Angle Of 35 Quizlet a quarterback throws a pass at an angle of 35 above the horizontal with an initial speed of 25 m/s. Find the time the receiver has to position himself. a quarterback throws a pass at an angle of 35 above the horizontal with an initial speed of 25 ms the ball is caught by the receiver. the. A Quarterback Throws A Pass At An Angle Of 35 Quizlet.
From www.chegg.com
Solved A quarterback is standing on the football field A Quarterback Throws A Pass At An Angle Of 35 Quizlet a quarterback throws a pass at an angle of {eq}35{/eq} degrees above the horizontal with an initial speed of {eq}25 \ \rm. a quarterback throws a pass at an angle of 35 above the horizontal with an initial speed of 25 ms the ball is caught by the receiver. a quarterback throws a pass at an angle. A Quarterback Throws A Pass At An Angle Of 35 Quizlet.
From www.chegg.com
Solved 16 3. (25 pts.) A quarterback throws a football with A Quarterback Throws A Pass At An Angle Of 35 Quizlet the pass is released at an angle of 3 5 ∘ 35^{\circ} 3 5 ∘ with the horizontal. a quarterback throws a pass at an angle of 35 above the horizontal with an initial speed of 25 m/s. The ball is caught by the. The ball is caught by the. a quarterback throws a pass at an. A Quarterback Throws A Pass At An Angle Of 35 Quizlet.
From www.chegg.com
Solved QUESTION A baseball player throws the ball in a A Quarterback Throws A Pass At An Angle Of 35 Quizlet a quarterback throws a pass at an angle of {eq}35{/eq} degrees above the horizontal with an initial speed of {eq}25 \ \rm. a quarterback throws a pass at an angle of 35 above the horizontal with an initial speed of 25 m/s. A quarterback throws a pass at an angle of 35 above the horizontal with an initial. A Quarterback Throws A Pass At An Angle Of 35 Quizlet.
From quizlet.com
A football quarterback throws a pass at an angle of 36.5 deg Quizlet A Quarterback Throws A Pass At An Angle Of 35 Quizlet Find the time the receiver has to position himself. the pass is released at an angle of 3 5 ∘ 35^{\circ} 3 5 ∘ with the horizontal. A quarterback throws a pass at an angle of 35 above the horizontal with an initial speed of 12.5ms. a quarterback throws a pass at an angle of 35 above the. A Quarterback Throws A Pass At An Angle Of 35 Quizlet.
From www.numerade.com
SOLVEDA quarterback passes a footballat a velocity of 50 ft / s at an A Quarterback Throws A Pass At An Angle Of 35 Quizlet the pass is released at an angle of 3 5 ∘ 35^{\circ} 3 5 ∘ with the horizontal. a quarterback throws a pass at an angle of 35 above the horizontal with an initial speed of 25 m/s. Find the time the receiver has to position himself. a quarterback throws a pass at an angle of {eq}35{/eq}. A Quarterback Throws A Pass At An Angle Of 35 Quizlet.
From www.chegg.com
Solved The quarterback Q throws the football when the A Quarterback Throws A Pass At An Angle Of 35 Quizlet The ball is caught by the. a quarterback throws a pass at an angle of {eq}35{/eq} degrees above the horizontal with an initial speed of {eq}25 \ \rm. the pass is released at an angle of 3 5 ∘ 35^{\circ} 3 5 ∘ with the horizontal. A quarterback throws a pass at an angle of 35 above the. A Quarterback Throws A Pass At An Angle Of 35 Quizlet.
From www.youtube.com
A quarterback throws a football toward a receiver YouTube A Quarterback Throws A Pass At An Angle Of 35 Quizlet the pass is released at an angle of 3 5 ∘ 35^{\circ} 3 5 ∘ with the horizontal. The ball is caught by the. Find the time the receiver has to position himself. a quarterback throws a pass at an angle of 35 above the horizontal with an initial speed of 25 ms the ball is caught by. A Quarterback Throws A Pass At An Angle Of 35 Quizlet.
From www.quora.com
What is the name of the football move when a quarterback throws a pass A Quarterback Throws A Pass At An Angle Of 35 Quizlet Find the time the receiver has to position himself. a quarterback throws a pass at an angle of 35 above the horizontal with an initial speed of 25 ms the ball is caught by the receiver. a quarterback throws a pass at an angle of {eq}35{/eq} degrees above the horizontal with an initial speed of {eq}25 \ \rm.. A Quarterback Throws A Pass At An Angle Of 35 Quizlet.
From www.chegg.com
Solved (7\) Problem 12 A quarterback throws a football A Quarterback Throws A Pass At An Angle Of 35 Quizlet Find the time the receiver has to position himself. The ball is caught by the. the pass is released at an angle of 3 5 ∘ 35^{\circ} 3 5 ∘ with the horizontal. a quarterback throws a pass at an angle of 35 above the horizontal with an initial speed of 25 ms the ball is caught by. A Quarterback Throws A Pass At An Angle Of 35 Quizlet.
From www.numerade.com
A quarterback throws a football with angle of elevation 40^∘and speed A Quarterback Throws A Pass At An Angle Of 35 Quizlet Find the time the receiver has to position himself. a quarterback throws a pass at an angle of 35 above the horizontal with an initial speed of 25 m/s. a quarterback throws a pass at an angle of {eq}35{/eq} degrees above the horizontal with an initial speed of {eq}25 \ \rm. The ball is caught by the. A. A Quarterback Throws A Pass At An Angle Of 35 Quizlet.
From www.chegg.com
Solved Use the model for projectile motion, assuming there A Quarterback Throws A Pass At An Angle Of 35 Quizlet The ball is caught by the. Find the time the receiver has to position himself. The ball is caught by the. a quarterback throws a pass at an angle of {eq}35{/eq} degrees above the horizontal with an initial speed of {eq}25 \ \rm. a quarterback throws a pass at an angle of 35 above the horizontal with an. A Quarterback Throws A Pass At An Angle Of 35 Quizlet.
From www.chegg.com
Solved (4\) Problem 13 A quarterback throws a football A Quarterback Throws A Pass At An Angle Of 35 Quizlet The ball is caught by the. the pass is released at an angle of 3 5 ∘ 35^{\circ} 3 5 ∘ with the horizontal. a quarterback throws a pass at an angle of 35 above the horizontal with an initial speed of 25 m/s. A quarterback throws a pass at an angle of 35 above the horizontal with. A Quarterback Throws A Pass At An Angle Of 35 Quizlet.
From brainly.com
A quarterback is standing on the football field preparing to throw a A Quarterback Throws A Pass At An Angle Of 35 Quizlet the pass is released at an angle of 3 5 ∘ 35^{\circ} 3 5 ∘ with the horizontal. The ball is caught by the. A quarterback throws a pass at an angle of 35 above the horizontal with an initial speed of 12.5ms. The ball is caught by the. Find the time the receiver has to position himself. . A Quarterback Throws A Pass At An Angle Of 35 Quizlet.
From www.chegg.com
Solved A quarterback throws a football with Initial speed 22 A Quarterback Throws A Pass At An Angle Of 35 Quizlet the pass is released at an angle of 3 5 ∘ 35^{\circ} 3 5 ∘ with the horizontal. a quarterback throws a pass at an angle of 35 above the horizontal with an initial speed of 25 m/s. a quarterback throws a pass at an angle of 35 above the horizontal with an initial speed of 25. A Quarterback Throws A Pass At An Angle Of 35 Quizlet.
From www.numerade.com
SOLVED A quarterback throws a football straight toward a receiver with A Quarterback Throws A Pass At An Angle Of 35 Quizlet The ball is caught by the. Find the time the receiver has to position himself. a quarterback throws a pass at an angle of 35 above the horizontal with an initial speed of 25 m/s. A quarterback throws a pass at an angle of 35 above the horizontal with an initial speed of 12.5ms. a quarterback throws a. A Quarterback Throws A Pass At An Angle Of 35 Quizlet.