Fluorescent Ballast Marked A . these signs can include: Find out how to test and fix your fluorescent light fixture safely and efficiently. learn how to identify the type, model, voltage, and compatible lamps of your advance fluorescent ballast from the label. learn about the different types of fluorescent ballasts, including preheat, rapid start, and instant start, and how they affect lamp. learn about the different types of ballasts for fluorescent lights, such as hf, t8, t5, tc and pca ballasts. If your fluorescent lights flicker or take a long time to turn on, it could be a sign of a failing ballast. learn how to tell if a fluorescent bulb or ballast is bad by looking for signs like flickering, dimming, buzzing, or darkening. Find out what a ballast is, how to buy the right one and how to install it safely. Find out how to choose the. learn how to fix flickering and humming fluorescent lights with a new ballast in four easy steps.
from mylightingsolutions.net
learn about the different types of fluorescent ballasts, including preheat, rapid start, and instant start, and how they affect lamp. Find out how to choose the. Find out what a ballast is, how to buy the right one and how to install it safely. If your fluorescent lights flicker or take a long time to turn on, it could be a sign of a failing ballast. Find out how to test and fix your fluorescent light fixture safely and efficiently. learn about the different types of ballasts for fluorescent lights, such as hf, t8, t5, tc and pca ballasts. learn how to tell if a fluorescent bulb or ballast is bad by looking for signs like flickering, dimming, buzzing, or darkening. learn how to identify the type, model, voltage, and compatible lamps of your advance fluorescent ballast from the label. these signs can include: learn how to fix flickering and humming fluorescent lights with a new ballast in four easy steps.
Fluorescent Light Ballast Page 1 My Lighting Solutions
Fluorescent Ballast Marked A If your fluorescent lights flicker or take a long time to turn on, it could be a sign of a failing ballast. Find out what a ballast is, how to buy the right one and how to install it safely. If your fluorescent lights flicker or take a long time to turn on, it could be a sign of a failing ballast. these signs can include: learn about the different types of ballasts for fluorescent lights, such as hf, t8, t5, tc and pca ballasts. learn how to fix flickering and humming fluorescent lights with a new ballast in four easy steps. learn about the different types of fluorescent ballasts, including preheat, rapid start, and instant start, and how they affect lamp. Find out how to choose the. learn how to tell if a fluorescent bulb or ballast is bad by looking for signs like flickering, dimming, buzzing, or darkening. Find out how to test and fix your fluorescent light fixture safely and efficiently. learn how to identify the type, model, voltage, and compatible lamps of your advance fluorescent ballast from the label.
From www.bozhou-int.com
Marine Fluorescent Ballast 30W Zhejiang Bozhou Marine Fluorescent Ballast Marked A these signs can include: learn about the different types of ballasts for fluorescent lights, such as hf, t8, t5, tc and pca ballasts. Find out what a ballast is, how to buy the right one and how to install it safely. learn about the different types of fluorescent ballasts, including preheat, rapid start, and instant start, and. Fluorescent Ballast Marked A.
From www.youtube.com
how to replace a fluorescent lamp ballast YouTube Fluorescent Ballast Marked A If your fluorescent lights flicker or take a long time to turn on, it could be a sign of a failing ballast. these signs can include: Find out what a ballast is, how to buy the right one and how to install it safely. Find out how to choose the. learn how to fix flickering and humming fluorescent. Fluorescent Ballast Marked A.
From gtahardware.com
Sylvania T8 Fluorescent Electronic Ballast GTA Hardware Inc Fluorescent Ballast Marked A Find out how to choose the. If your fluorescent lights flicker or take a long time to turn on, it could be a sign of a failing ballast. learn about the different types of fluorescent ballasts, including preheat, rapid start, and instant start, and how they affect lamp. these signs can include: learn about the different types. Fluorescent Ballast Marked A.
From www.chadwellsupply.com
Chadwell Supply. 2BULB 32W FLUORESCENT BALLAST Fluorescent Ballast Marked A learn how to identify the type, model, voltage, and compatible lamps of your advance fluorescent ballast from the label. Find out how to test and fix your fluorescent light fixture safely and efficiently. these signs can include: Find out what a ballast is, how to buy the right one and how to install it safely. learn how. Fluorescent Ballast Marked A.
From warisanlighting.com
Ballast lamp your protection for the electronic Warisan Lighting Fluorescent Ballast Marked A Find out what a ballast is, how to buy the right one and how to install it safely. learn how to identify the type, model, voltage, and compatible lamps of your advance fluorescent ballast from the label. learn how to fix flickering and humming fluorescent lights with a new ballast in four easy steps. Find out how to. Fluorescent Ballast Marked A.
From www.grainger.com
LUMAPRO, T9, 120V AC, Fluorescent Ballast 1XUH71XUH7 Grainger Fluorescent Ballast Marked A learn about the different types of fluorescent ballasts, including preheat, rapid start, and instant start, and how they affect lamp. Find out how to test and fix your fluorescent light fixture safely and efficiently. learn how to fix flickering and humming fluorescent lights with a new ballast in four easy steps. Find out what a ballast is, how. Fluorescent Ballast Marked A.
From www.lowes.com
GE UltraMax 3Bulb Electronic Fluorescent Light Fluorescent Ballast Marked A Find out how to test and fix your fluorescent light fixture safely and efficiently. learn how to fix flickering and humming fluorescent lights with a new ballast in four easy steps. learn how to identify the type, model, voltage, and compatible lamps of your advance fluorescent ballast from the label. Find out what a ballast is, how to. Fluorescent Ballast Marked A.
From www.walmart.com
Advance IOP1P32HLN Fluorescent Ballast, 1Lamp, F32T8, 32W T8, 120 Fluorescent Ballast Marked A learn how to tell if a fluorescent bulb or ballast is bad by looking for signs like flickering, dimming, buzzing, or darkening. these signs can include: Find out how to choose the. learn about the different types of ballasts for fluorescent lights, such as hf, t8, t5, tc and pca ballasts. If your fluorescent lights flicker or. Fluorescent Ballast Marked A.
From www.imssupply.com
Advance RS2S1102TP Fluorescent Ballast IMS Supply Fluorescent Ballast Marked A these signs can include: Find out how to choose the. learn about the different types of ballasts for fluorescent lights, such as hf, t8, t5, tc and pca ballasts. Find out what a ballast is, how to buy the right one and how to install it safely. learn how to fix flickering and humming fluorescent lights with. Fluorescent Ballast Marked A.
From www.grainger.com
GE CURRENT, T8, 120 to 277V AC, Fluorescent Ballast 2DDA5GE332MVPS Fluorescent Ballast Marked A learn how to fix flickering and humming fluorescent lights with a new ballast in four easy steps. Find out how to choose the. learn about the different types of fluorescent ballasts, including preheat, rapid start, and instant start, and how they affect lamp. learn about the different types of ballasts for fluorescent lights, such as hf, t8,. Fluorescent Ballast Marked A.
From www.blackberryfaq.com
14 18 20 22 Watt Fluorescent Ballast & Starter Seeburg Wurlitzer Fluorescent Ballast Marked A learn how to tell if a fluorescent bulb or ballast is bad by looking for signs like flickering, dimming, buzzing, or darkening. learn how to identify the type, model, voltage, and compatible lamps of your advance fluorescent ballast from the label. Find out how to test and fix your fluorescent light fixture safely and efficiently. If your fluorescent. Fluorescent Ballast Marked A.
From www.lightbulbs.com
Universal 18533 T12 Fluorescent Ballast Fluorescent Ballast Marked A learn how to tell if a fluorescent bulb or ballast is bad by looking for signs like flickering, dimming, buzzing, or darkening. Find out how to choose the. Find out how to test and fix your fluorescent light fixture safely and efficiently. Find out what a ballast is, how to buy the right one and how to install it. Fluorescent Ballast Marked A.
From insights.regencysupply.com
How to pick a fluorescent ballast Fluorescent Ballast Marked A If your fluorescent lights flicker or take a long time to turn on, it could be a sign of a failing ballast. Find out what a ballast is, how to buy the right one and how to install it safely. learn about the different types of ballasts for fluorescent lights, such as hf, t8, t5, tc and pca ballasts.. Fluorescent Ballast Marked A.
From electraschematics.com
How to Wire a Fluorescent Ballast StepbyStep Diagram Guide Fluorescent Ballast Marked A these signs can include: learn how to fix flickering and humming fluorescent lights with a new ballast in four easy steps. If your fluorescent lights flicker or take a long time to turn on, it could be a sign of a failing ballast. Find out how to choose the. learn about the different types of ballasts for. Fluorescent Ballast Marked A.
From www.hardwarecity.com.sg
36W/40W Electrical Ballast For Fluorescent Lights Fluorescent Ballast Marked A learn how to tell if a fluorescent bulb or ballast is bad by looking for signs like flickering, dimming, buzzing, or darkening. learn about the different types of fluorescent ballasts, including preheat, rapid start, and instant start, and how they affect lamp. Find out how to test and fix your fluorescent light fixture safely and efficiently. these. Fluorescent Ballast Marked A.
From ubicaciondepersonas.cdmx.gob.mx
Fluorescent Ballast Types ubicaciondepersonas.cdmx.gob.mx Fluorescent Ballast Marked A learn how to tell if a fluorescent bulb or ballast is bad by looking for signs like flickering, dimming, buzzing, or darkening. Find out what a ballast is, how to buy the right one and how to install it safely. learn how to identify the type, model, voltage, and compatible lamps of your advance fluorescent ballast from the. Fluorescent Ballast Marked A.
From schematicdbbaumgaertner.z19.web.core.windows.net
Fluorescent Ballast Wiring Diagram Fluorescent Ballast Marked A these signs can include: learn how to fix flickering and humming fluorescent lights with a new ballast in four easy steps. Find out what a ballast is, how to buy the right one and how to install it safely. Find out how to test and fix your fluorescent light fixture safely and efficiently. learn about the different. Fluorescent Ballast Marked A.
From www.chadwellsupply.com
Chadwell Supply. 14W22W FLUORESCENT BALLAST Fluorescent Ballast Marked A these signs can include: Find out what a ballast is, how to buy the right one and how to install it safely. learn about the different types of fluorescent ballasts, including preheat, rapid start, and instant start, and how they affect lamp. Find out how to test and fix your fluorescent light fixture safely and efficiently. If your. Fluorescent Ballast Marked A.
From ballastshop.com
C242UNVME Universal Triad Electronic Compact Fluorescent Ballast Fluorescent Ballast Marked A Find out how to test and fix your fluorescent light fixture safely and efficiently. learn about the different types of ballasts for fluorescent lights, such as hf, t8, t5, tc and pca ballasts. Find out how to choose the. learn how to identify the type, model, voltage, and compatible lamps of your advance fluorescent ballast from the label.. Fluorescent Ballast Marked A.
From maker.pro
Simplest way to make Induction Heater, Power Supply, and HV Source from Fluorescent Ballast Marked A learn how to identify the type, model, voltage, and compatible lamps of your advance fluorescent ballast from the label. Find out what a ballast is, how to buy the right one and how to install it safely. Find out how to choose the. learn about the different types of fluorescent ballasts, including preheat, rapid start, and instant start,. Fluorescent Ballast Marked A.
From flavored.ph
PES120ET812SMT 120V PES 2 Lamps Fluorescent Electronic Ballast Ballasts Fluorescent Ballast Marked A learn how to fix flickering and humming fluorescent lights with a new ballast in four easy steps. Find out how to choose the. learn how to tell if a fluorescent bulb or ballast is bad by looking for signs like flickering, dimming, buzzing, or darkening. If your fluorescent lights flicker or take a long time to turn on,. Fluorescent Ballast Marked A.
From did-it-myself.com
Fluorescent Ballast Replacement Did It Myself Fluorescent Ballast Marked A If your fluorescent lights flicker or take a long time to turn on, it could be a sign of a failing ballast. these signs can include: Find out how to test and fix your fluorescent light fixture safely and efficiently. Find out how to choose the. learn how to fix flickering and humming fluorescent lights with a new. Fluorescent Ballast Marked A.
From giogtqxoq.blob.core.windows.net
Light Ballast Menards at Susan Weyer blog Fluorescent Ballast Marked A learn how to fix flickering and humming fluorescent lights with a new ballast in four easy steps. Find out how to test and fix your fluorescent light fixture safely and efficiently. Find out how to choose the. If your fluorescent lights flicker or take a long time to turn on, it could be a sign of a failing ballast.. Fluorescent Ballast Marked A.
From wiringdiagram.2bitboer.com
8 Foot Fluorescent Ballast Wiring Diagram Wiring Diagram Fluorescent Ballast Marked A Find out how to choose the. learn about the different types of ballasts for fluorescent lights, such as hf, t8, t5, tc and pca ballasts. Find out how to test and fix your fluorescent light fixture safely and efficiently. Find out what a ballast is, how to buy the right one and how to install it safely. learn. Fluorescent Ballast Marked A.
From mylightingsolutions.net
Fluorescent Light Ballast Page 1 My Lighting Solutions Fluorescent Ballast Marked A learn how to tell if a fluorescent bulb or ballast is bad by looking for signs like flickering, dimming, buzzing, or darkening. Find out how to choose the. Find out what a ballast is, how to buy the right one and how to install it safely. these signs can include: Find out how to test and fix your. Fluorescent Ballast Marked A.
From ar.inspiredpencil.com
Ballast Fluorescent Light Fluorescent Ballast Marked A learn how to tell if a fluorescent bulb or ballast is bad by looking for signs like flickering, dimming, buzzing, or darkening. learn about the different types of fluorescent ballasts, including preheat, rapid start, and instant start, and how they affect lamp. Find out what a ballast is, how to buy the right one and how to install. Fluorescent Ballast Marked A.
From www.numerade.com
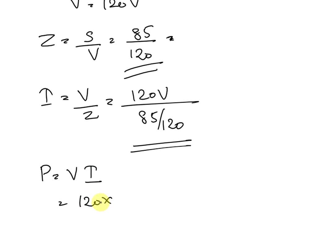
A 120volt lamp fluorescent ballast for two 40watt lamps is marked 85 Fluorescent Ballast Marked A learn how to fix flickering and humming fluorescent lights with a new ballast in four easy steps. learn about the different types of ballasts for fluorescent lights, such as hf, t8, t5, tc and pca ballasts. If your fluorescent lights flicker or take a long time to turn on, it could be a sign of a failing ballast.. Fluorescent Ballast Marked A.
From www.lightbulbs.com
Sylvania 51478 T5 Fluorescent Ballast Fluorescent Ballast Marked A Find out how to choose the. If your fluorescent lights flicker or take a long time to turn on, it could be a sign of a failing ballast. learn about the different types of fluorescent ballasts, including preheat, rapid start, and instant start, and how they affect lamp. learn how to tell if a fluorescent bulb or ballast. Fluorescent Ballast Marked A.
From ubicaciondepersonas.cdmx.gob.mx
Ballast Fluorescent Light ubicaciondepersonas.cdmx.gob.mx Fluorescent Ballast Marked A Find out how to test and fix your fluorescent light fixture safely and efficiently. learn how to fix flickering and humming fluorescent lights with a new ballast in four easy steps. learn about the different types of ballasts for fluorescent lights, such as hf, t8, t5, tc and pca ballasts. If your fluorescent lights flicker or take a. Fluorescent Ballast Marked A.
From www.organised-sound.com
Fluorescent Ballast Circuit Diagram » Wiring Diagram Fluorescent Ballast Marked A learn how to fix flickering and humming fluorescent lights with a new ballast in four easy steps. learn how to identify the type, model, voltage, and compatible lamps of your advance fluorescent ballast from the label. Find out how to choose the. these signs can include: Find out what a ballast is, how to buy the right. Fluorescent Ballast Marked A.
From www.circuitdiagram.co
Fluorescent Emergency Ballast Wiring Diagram Circuit Diagram Fluorescent Ballast Marked A learn about the different types of fluorescent ballasts, including preheat, rapid start, and instant start, and how they affect lamp. these signs can include: If your fluorescent lights flicker or take a long time to turn on, it could be a sign of a failing ballast. Find out how to choose the. learn about the different types. Fluorescent Ballast Marked A.
From mylightingsolutions.net
GE by Signify Fluorescent Ballast, Fluorescent Bulbs, HID Bulbs, and Fluorescent Ballast Marked A learn how to tell if a fluorescent bulb or ballast is bad by looking for signs like flickering, dimming, buzzing, or darkening. Find out how to test and fix your fluorescent light fixture safely and efficiently. Find out how to choose the. learn about the different types of ballasts for fluorescent lights, such as hf, t8, t5, tc. Fluorescent Ballast Marked A.
From www.homedepot.ca
Advance Fluorescent Ballast 4 Lamp 48" T8 Instant Start 120V The Home Fluorescent Ballast Marked A learn about the different types of fluorescent ballasts, including preheat, rapid start, and instant start, and how they affect lamp. learn about the different types of ballasts for fluorescent lights, such as hf, t8, t5, tc and pca ballasts. If your fluorescent lights flicker or take a long time to turn on, it could be a sign of. Fluorescent Ballast Marked A.
From www.aliexpress.com
Store Home Products Feedback Fluorescent Ballast Marked A learn about the different types of fluorescent ballasts, including preheat, rapid start, and instant start, and how they affect lamp. Find out how to test and fix your fluorescent light fixture safely and efficiently. If your fluorescent lights flicker or take a long time to turn on, it could be a sign of a failing ballast. Find out what. Fluorescent Ballast Marked A.
From www.greenelectricalsupply.com
WorkHorse 5 WH5277L 277 Volt Electronic Fluorescent Ballast Green Fluorescent Ballast Marked A learn about the different types of ballasts for fluorescent lights, such as hf, t8, t5, tc and pca ballasts. Find out how to choose the. learn how to fix flickering and humming fluorescent lights with a new ballast in four easy steps. learn how to identify the type, model, voltage, and compatible lamps of your advance fluorescent. Fluorescent Ballast Marked A.