Which Molecule Is A Saturated Fatty Acid Quizlet . Study with quizlet and memorize flashcards containing terms like which of the following is an unsaturated fatty acid?, waxes are lipids derives from, which of the following is a saturated. Unsaturated fatty acids have at least one. Study with quizlet and memorize. They may be saturated or unsaturated. A saturated fatty acid is shown by a hydrocarbon chain that is fully saturated with hydrogen, without any double. Saturated fats are saturated with. The structure represents a fatty acids with an omega 6 double bond between the carbons in the hydrocarbon chain. This causes the molecules to form straight chains, as shown in the figure 11.1.2. Most fatty acids are unbranched and contain an even number of. Fatty acids are carboxylic acids that are the structural components of many lipids.
from brainly.com
Study with quizlet and memorize. The structure represents a fatty acids with an omega 6 double bond between the carbons in the hydrocarbon chain. This causes the molecules to form straight chains, as shown in the figure 11.1.2. Study with quizlet and memorize flashcards containing terms like which of the following is an unsaturated fatty acid?, waxes are lipids derives from, which of the following is a saturated. Most fatty acids are unbranched and contain an even number of. A saturated fatty acid is shown by a hydrocarbon chain that is fully saturated with hydrogen, without any double. They may be saturated or unsaturated. Fatty acids are carboxylic acids that are the structural components of many lipids. Saturated fats are saturated with. Unsaturated fatty acids have at least one.
Which describes the molecule below? A. A lipid with three unsaturated
Which Molecule Is A Saturated Fatty Acid Quizlet Most fatty acids are unbranched and contain an even number of. Fatty acids are carboxylic acids that are the structural components of many lipids. A saturated fatty acid is shown by a hydrocarbon chain that is fully saturated with hydrogen, without any double. The structure represents a fatty acids with an omega 6 double bond between the carbons in the hydrocarbon chain. Saturated fats are saturated with. Study with quizlet and memorize. This causes the molecules to form straight chains, as shown in the figure 11.1.2. They may be saturated or unsaturated. Study with quizlet and memorize flashcards containing terms like which of the following is an unsaturated fatty acid?, waxes are lipids derives from, which of the following is a saturated. Unsaturated fatty acids have at least one. Most fatty acids are unbranched and contain an even number of.
From openoregon.pressbooks.pub
Fatty Acid Types and Food Sources Nutrition Science and Everyday Which Molecule Is A Saturated Fatty Acid Quizlet The structure represents a fatty acids with an omega 6 double bond between the carbons in the hydrocarbon chain. Study with quizlet and memorize flashcards containing terms like which of the following is an unsaturated fatty acid?, waxes are lipids derives from, which of the following is a saturated. Most fatty acids are unbranched and contain an even number of.. Which Molecule Is A Saturated Fatty Acid Quizlet.
From www.researchgate.net
4. Diagram of the formation of the saturated fatty acids studied from Which Molecule Is A Saturated Fatty Acid Quizlet This causes the molecules to form straight chains, as shown in the figure 11.1.2. The structure represents a fatty acids with an omega 6 double bond between the carbons in the hydrocarbon chain. A saturated fatty acid is shown by a hydrocarbon chain that is fully saturated with hydrogen, without any double. Study with quizlet and memorize flashcards containing terms. Which Molecule Is A Saturated Fatty Acid Quizlet.
From kladuvsja.blob.core.windows.net
Components Of A Fatty Acid at Hay blog Which Molecule Is A Saturated Fatty Acid Quizlet Fatty acids are carboxylic acids that are the structural components of many lipids. Saturated fats are saturated with. This causes the molecules to form straight chains, as shown in the figure 11.1.2. They may be saturated or unsaturated. Most fatty acids are unbranched and contain an even number of. The structure represents a fatty acids with an omega 6 double. Which Molecule Is A Saturated Fatty Acid Quizlet.
From www.alamy.com
Lauric acid, dodecanoic acid, C12H24O2 molecule. It is a saturated Which Molecule Is A Saturated Fatty Acid Quizlet Saturated fats are saturated with. Study with quizlet and memorize. This causes the molecules to form straight chains, as shown in the figure 11.1.2. Unsaturated fatty acids have at least one. They may be saturated or unsaturated. The structure represents a fatty acids with an omega 6 double bond between the carbons in the hydrocarbon chain. Most fatty acids are. Which Molecule Is A Saturated Fatty Acid Quizlet.
From joivtzkmd.blob.core.windows.net
Saturated Fatty Acids List at Gerald Rodriguez blog Which Molecule Is A Saturated Fatty Acid Quizlet Fatty acids are carboxylic acids that are the structural components of many lipids. The structure represents a fatty acids with an omega 6 double bond between the carbons in the hydrocarbon chain. Most fatty acids are unbranched and contain an even number of. A saturated fatty acid is shown by a hydrocarbon chain that is fully saturated with hydrogen, without. Which Molecule Is A Saturated Fatty Acid Quizlet.
From quizlet.com
Biology Macromolecules Lipids Diagram Quizlet Which Molecule Is A Saturated Fatty Acid Quizlet They may be saturated or unsaturated. Fatty acids are carboxylic acids that are the structural components of many lipids. Most fatty acids are unbranched and contain an even number of. Saturated fats are saturated with. The structure represents a fatty acids with an omega 6 double bond between the carbons in the hydrocarbon chain. Study with quizlet and memorize. Study. Which Molecule Is A Saturated Fatty Acid Quizlet.
From pixels.com
Stearic Acid Saturated Fatty Acid Molecule Photograph by Molekuul Which Molecule Is A Saturated Fatty Acid Quizlet This causes the molecules to form straight chains, as shown in the figure 11.1.2. A saturated fatty acid is shown by a hydrocarbon chain that is fully saturated with hydrogen, without any double. Fatty acids are carboxylic acids that are the structural components of many lipids. Most fatty acids are unbranched and contain an even number of. Saturated fats are. Which Molecule Is A Saturated Fatty Acid Quizlet.
From exyqfgbgn.blob.core.windows.net
What Are The Types Of Saturated Fatty Acids at Alfred Stokes blog Which Molecule Is A Saturated Fatty Acid Quizlet Saturated fats are saturated with. Unsaturated fatty acids have at least one. Fatty acids are carboxylic acids that are the structural components of many lipids. Study with quizlet and memorize. A saturated fatty acid is shown by a hydrocarbon chain that is fully saturated with hydrogen, without any double. Most fatty acids are unbranched and contain an even number of.. Which Molecule Is A Saturated Fatty Acid Quizlet.
From exoxbzluw.blob.core.windows.net
What Is The Medical Definition For Fatty Acid at Terry Cook blog Which Molecule Is A Saturated Fatty Acid Quizlet Most fatty acids are unbranched and contain an even number of. A saturated fatty acid is shown by a hydrocarbon chain that is fully saturated with hydrogen, without any double. This causes the molecules to form straight chains, as shown in the figure 11.1.2. Study with quizlet and memorize flashcards containing terms like which of the following is an unsaturated. Which Molecule Is A Saturated Fatty Acid Quizlet.
From ar.inspiredpencil.com
Saturated Fatty Acid Which Molecule Is A Saturated Fatty Acid Quizlet The structure represents a fatty acids with an omega 6 double bond between the carbons in the hydrocarbon chain. Fatty acids are carboxylic acids that are the structural components of many lipids. Saturated fats are saturated with. Unsaturated fatty acids have at least one. This causes the molecules to form straight chains, as shown in the figure 11.1.2. Study with. Which Molecule Is A Saturated Fatty Acid Quizlet.
From www.alamy.com
Stearic acid, octadecanoic, saturated fatty acid molecule. Structural Which Molecule Is A Saturated Fatty Acid Quizlet Study with quizlet and memorize flashcards containing terms like which of the following is an unsaturated fatty acid?, waxes are lipids derives from, which of the following is a saturated. This causes the molecules to form straight chains, as shown in the figure 11.1.2. They may be saturated or unsaturated. Study with quizlet and memorize. Unsaturated fatty acids have at. Which Molecule Is A Saturated Fatty Acid Quizlet.
From brainly.com
Which describes the molecule below? A. A lipid with three unsaturated Which Molecule Is A Saturated Fatty Acid Quizlet The structure represents a fatty acids with an omega 6 double bond between the carbons in the hydrocarbon chain. They may be saturated or unsaturated. A saturated fatty acid is shown by a hydrocarbon chain that is fully saturated with hydrogen, without any double. Study with quizlet and memorize flashcards containing terms like which of the following is an unsaturated. Which Molecule Is A Saturated Fatty Acid Quizlet.
From www.shutterstock.com
904 Saturated Fatty Acids Images, Stock Photos & Vectors Shutterstock Which Molecule Is A Saturated Fatty Acid Quizlet Saturated fats are saturated with. Study with quizlet and memorize flashcards containing terms like which of the following is an unsaturated fatty acid?, waxes are lipids derives from, which of the following is a saturated. The structure represents a fatty acids with an omega 6 double bond between the carbons in the hydrocarbon chain. A saturated fatty acid is shown. Which Molecule Is A Saturated Fatty Acid Quizlet.
From ar.inspiredpencil.com
Saturated Fatty Acid Which Molecule Is A Saturated Fatty Acid Quizlet Study with quizlet and memorize flashcards containing terms like which of the following is an unsaturated fatty acid?, waxes are lipids derives from, which of the following is a saturated. A saturated fatty acid is shown by a hydrocarbon chain that is fully saturated with hydrogen, without any double. This causes the molecules to form straight chains, as shown in. Which Molecule Is A Saturated Fatty Acid Quizlet.
From www.numerade.com
SOLVED Which molecule is a saturated fatty acid? [ ; 04 A 8 Which Molecule Is A Saturated Fatty Acid Quizlet Fatty acids are carboxylic acids that are the structural components of many lipids. Unsaturated fatty acids have at least one. Study with quizlet and memorize flashcards containing terms like which of the following is an unsaturated fatty acid?, waxes are lipids derives from, which of the following is a saturated. This causes the molecules to form straight chains, as shown. Which Molecule Is A Saturated Fatty Acid Quizlet.
From courses.lumenlearning.com
Lipid Molecules Introduction to Chemistry Which Molecule Is A Saturated Fatty Acid Quizlet A saturated fatty acid is shown by a hydrocarbon chain that is fully saturated with hydrogen, without any double. Unsaturated fatty acids have at least one. They may be saturated or unsaturated. Most fatty acids are unbranched and contain an even number of. The structure represents a fatty acids with an omega 6 double bond between the carbons in the. Which Molecule Is A Saturated Fatty Acid Quizlet.
From www.alamy.com
Stearic acid saturated fatty acid molecule. Three representations 2D Which Molecule Is A Saturated Fatty Acid Quizlet Fatty acids are carboxylic acids that are the structural components of many lipids. They may be saturated or unsaturated. A saturated fatty acid is shown by a hydrocarbon chain that is fully saturated with hydrogen, without any double. Unsaturated fatty acids have at least one. This causes the molecules to form straight chains, as shown in the figure 11.1.2. Study. Which Molecule Is A Saturated Fatty Acid Quizlet.
From brainly.com
Which molecule is a saturated fat ? Which Molecule Is A Saturated Fatty Acid Quizlet Most fatty acids are unbranched and contain an even number of. This causes the molecules to form straight chains, as shown in the figure 11.1.2. They may be saturated or unsaturated. Study with quizlet and memorize. Saturated fats are saturated with. The structure represents a fatty acids with an omega 6 double bond between the carbons in the hydrocarbon chain.. Which Molecule Is A Saturated Fatty Acid Quizlet.
From www.researchgate.net
6 Fatty acid chains and lipid molecules. (a) Saturated fatty acid Which Molecule Is A Saturated Fatty Acid Quizlet Saturated fats are saturated with. The structure represents a fatty acids with an omega 6 double bond between the carbons in the hydrocarbon chain. Fatty acids are carboxylic acids that are the structural components of many lipids. They may be saturated or unsaturated. A saturated fatty acid is shown by a hydrocarbon chain that is fully saturated with hydrogen, without. Which Molecule Is A Saturated Fatty Acid Quizlet.
From klacfzfoc.blob.core.windows.net
Omega 9 Fatty Acids Examples at Gloria Quarles blog Which Molecule Is A Saturated Fatty Acid Quizlet The structure represents a fatty acids with an omega 6 double bond between the carbons in the hydrocarbon chain. This causes the molecules to form straight chains, as shown in the figure 11.1.2. Fatty acids are carboxylic acids that are the structural components of many lipids. They may be saturated or unsaturated. Most fatty acids are unbranched and contain an. Which Molecule Is A Saturated Fatty Acid Quizlet.
From www.alamy.com
Lauric acid, dodecanoic acid, C12H24O2 molecule. It is a saturated Which Molecule Is A Saturated Fatty Acid Quizlet Fatty acids are carboxylic acids that are the structural components of many lipids. Study with quizlet and memorize flashcards containing terms like which of the following is an unsaturated fatty acid?, waxes are lipids derives from, which of the following is a saturated. Most fatty acids are unbranched and contain an even number of. Unsaturated fatty acids have at least. Which Molecule Is A Saturated Fatty Acid Quizlet.
From fitnesspell.com
What Are The Different Types of Fatty Acids? FitnessSpell Which Molecule Is A Saturated Fatty Acid Quizlet They may be saturated or unsaturated. Fatty acids are carboxylic acids that are the structural components of many lipids. Unsaturated fatty acids have at least one. A saturated fatty acid is shown by a hydrocarbon chain that is fully saturated with hydrogen, without any double. Most fatty acids are unbranched and contain an even number of. Study with quizlet and. Which Molecule Is A Saturated Fatty Acid Quizlet.
From www.alamy.com
Myristic (tetradecanoic) acid molecule. It is saturated fatty acid Which Molecule Is A Saturated Fatty Acid Quizlet Most fatty acids are unbranched and contain an even number of. They may be saturated or unsaturated. The structure represents a fatty acids with an omega 6 double bond between the carbons in the hydrocarbon chain. This causes the molecules to form straight chains, as shown in the figure 11.1.2. Unsaturated fatty acids have at least one. A saturated fatty. Which Molecule Is A Saturated Fatty Acid Quizlet.
From www.chegg.com
Solved Which molecule is a saturated fatty acid? O a) Which Molecule Is A Saturated Fatty Acid Quizlet Fatty acids are carboxylic acids that are the structural components of many lipids. They may be saturated or unsaturated. Study with quizlet and memorize flashcards containing terms like which of the following is an unsaturated fatty acid?, waxes are lipids derives from, which of the following is a saturated. Saturated fats are saturated with. Most fatty acids are unbranched and. Which Molecule Is A Saturated Fatty Acid Quizlet.
From www.doctorkiltz.com
What is Saturated Fat? Is it Good or Bad? Dr. Robert Kiltz Which Molecule Is A Saturated Fatty Acid Quizlet Most fatty acids are unbranched and contain an even number of. They may be saturated or unsaturated. Study with quizlet and memorize flashcards containing terms like which of the following is an unsaturated fatty acid?, waxes are lipids derives from, which of the following is a saturated. The structure represents a fatty acids with an omega 6 double bond between. Which Molecule Is A Saturated Fatty Acid Quizlet.
From ar.inspiredpencil.com
Saturated Fatty Acid Which Molecule Is A Saturated Fatty Acid Quizlet They may be saturated or unsaturated. A saturated fatty acid is shown by a hydrocarbon chain that is fully saturated with hydrogen, without any double. Saturated fats are saturated with. Study with quizlet and memorize. Unsaturated fatty acids have at least one. Fatty acids are carboxylic acids that are the structural components of many lipids. Study with quizlet and memorize. Which Molecule Is A Saturated Fatty Acid Quizlet.
From www.chegg.com
Solved Question 24 1 pts Which molecule is a saturated fatty Which Molecule Is A Saturated Fatty Acid Quizlet Study with quizlet and memorize. A saturated fatty acid is shown by a hydrocarbon chain that is fully saturated with hydrogen, without any double. Study with quizlet and memorize flashcards containing terms like which of the following is an unsaturated fatty acid?, waxes are lipids derives from, which of the following is a saturated. The structure represents a fatty acids. Which Molecule Is A Saturated Fatty Acid Quizlet.
From exokqjepn.blob.core.windows.net
Which Foods Contain Essential Fatty Acids at Mammie Collins blog Which Molecule Is A Saturated Fatty Acid Quizlet Study with quizlet and memorize flashcards containing terms like which of the following is an unsaturated fatty acid?, waxes are lipids derives from, which of the following is a saturated. They may be saturated or unsaturated. Study with quizlet and memorize. Fatty acids are carboxylic acids that are the structural components of many lipids. Most fatty acids are unbranched and. Which Molecule Is A Saturated Fatty Acid Quizlet.
From drbeckyfitness.com
Which Fats are Good and Bad? Dr Becky Fitness Which Molecule Is A Saturated Fatty Acid Quizlet Study with quizlet and memorize flashcards containing terms like which of the following is an unsaturated fatty acid?, waxes are lipids derives from, which of the following is a saturated. They may be saturated or unsaturated. Saturated fats are saturated with. Study with quizlet and memorize. The structure represents a fatty acids with an omega 6 double bond between the. Which Molecule Is A Saturated Fatty Acid Quizlet.
From fattyacidsburik.blogspot.com
Fatty Acids Chemical Structure Of A Fatty Acid Which Molecule Is A Saturated Fatty Acid Quizlet Most fatty acids are unbranched and contain an even number of. Study with quizlet and memorize flashcards containing terms like which of the following is an unsaturated fatty acid?, waxes are lipids derives from, which of the following is a saturated. Fatty acids are carboxylic acids that are the structural components of many lipids. This causes the molecules to form. Which Molecule Is A Saturated Fatty Acid Quizlet.
From www.chegg.com
Solved Select the molecule that represents a saturated fatty Which Molecule Is A Saturated Fatty Acid Quizlet A saturated fatty acid is shown by a hydrocarbon chain that is fully saturated with hydrogen, without any double. This causes the molecules to form straight chains, as shown in the figure 11.1.2. Fatty acids are carboxylic acids that are the structural components of many lipids. Unsaturated fatty acids have at least one. The structure represents a fatty acids with. Which Molecule Is A Saturated Fatty Acid Quizlet.
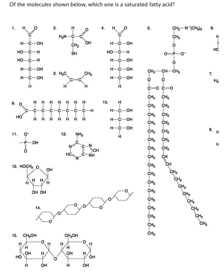
From www.chegg.com
Solved Of the molecules shown below, which one is a Which Molecule Is A Saturated Fatty Acid Quizlet This causes the molecules to form straight chains, as shown in the figure 11.1.2. Fatty acids are carboxylic acids that are the structural components of many lipids. Most fatty acids are unbranched and contain an even number of. The structure represents a fatty acids with an omega 6 double bond between the carbons in the hydrocarbon chain. A saturated fatty. Which Molecule Is A Saturated Fatty Acid Quizlet.
From www.slideserve.com
PPT Fatty acids PowerPoint Presentation, free download ID2110693 Which Molecule Is A Saturated Fatty Acid Quizlet The structure represents a fatty acids with an omega 6 double bond between the carbons in the hydrocarbon chain. They may be saturated or unsaturated. This causes the molecules to form straight chains, as shown in the figure 11.1.2. Fatty acids are carboxylic acids that are the structural components of many lipids. Unsaturated fatty acids have at least one. Saturated. Which Molecule Is A Saturated Fatty Acid Quizlet.
From guidelibeternising.z13.web.core.windows.net
Molecular Diagram Of Saturated Fatty Acid Which Molecule Is A Saturated Fatty Acid Quizlet Study with quizlet and memorize. Most fatty acids are unbranched and contain an even number of. A saturated fatty acid is shown by a hydrocarbon chain that is fully saturated with hydrogen, without any double. Saturated fats are saturated with. This causes the molecules to form straight chains, as shown in the figure 11.1.2. Unsaturated fatty acids have at least. Which Molecule Is A Saturated Fatty Acid Quizlet.
From www.numerade.com
SOLVED Which molecule is a saturated fatty acid? [ ; 04 A 8 Which Molecule Is A Saturated Fatty Acid Quizlet Saturated fats are saturated with. Study with quizlet and memorize. Most fatty acids are unbranched and contain an even number of. A saturated fatty acid is shown by a hydrocarbon chain that is fully saturated with hydrogen, without any double. Fatty acids are carboxylic acids that are the structural components of many lipids. The structure represents a fatty acids with. Which Molecule Is A Saturated Fatty Acid Quizlet.