Antifreeze Boiling Point Vs Water . most antifreeze is based on ethylene glycol, a form of alcohol that features a boiling point of 387 degrees fahrenheit. It lowers the freezing point of water, ensuring that the. It’s time to get back to the ratios. the recommended ratio is often 50% antifreeze and 50% water, but this may vary depending on the manufacturer’s guidelines. in general, the coolant’s boiling point ranges from 300 to 400 degrees fahrenheit, while the antifreeze’s boiling. Antifreeze is aptly named for its ability to prevent freezing in cold temperatures. The most common ratios are 70/30, 50/50, and 30/70. not quite, but they are closely related. Coolant ratio refers to the proportion of coolant concentrate to water in the mixture.
from ranwhenparked.net
Coolant ratio refers to the proportion of coolant concentrate to water in the mixture. the recommended ratio is often 50% antifreeze and 50% water, but this may vary depending on the manufacturer’s guidelines. It’s time to get back to the ratios. not quite, but they are closely related. in general, the coolant’s boiling point ranges from 300 to 400 degrees fahrenheit, while the antifreeze’s boiling. It lowers the freezing point of water, ensuring that the. Antifreeze is aptly named for its ability to prevent freezing in cold temperatures. The most common ratios are 70/30, 50/50, and 30/70. most antifreeze is based on ethylene glycol, a form of alcohol that features a boiling point of 387 degrees fahrenheit.
Boiling Point for Antifreeze Understanding the Science Ran When
Antifreeze Boiling Point Vs Water The most common ratios are 70/30, 50/50, and 30/70. the recommended ratio is often 50% antifreeze and 50% water, but this may vary depending on the manufacturer’s guidelines. in general, the coolant’s boiling point ranges from 300 to 400 degrees fahrenheit, while the antifreeze’s boiling. not quite, but they are closely related. most antifreeze is based on ethylene glycol, a form of alcohol that features a boiling point of 387 degrees fahrenheit. Coolant ratio refers to the proportion of coolant concentrate to water in the mixture. Antifreeze is aptly named for its ability to prevent freezing in cold temperatures. The most common ratios are 70/30, 50/50, and 30/70. It’s time to get back to the ratios. It lowers the freezing point of water, ensuring that the.
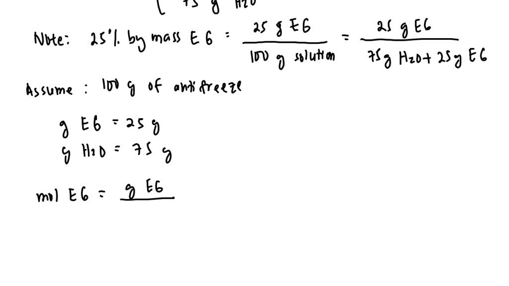
From www.numerade.com
SOLVED Calculate the freezing point and boiling point of an antifreeze Antifreeze Boiling Point Vs Water most antifreeze is based on ethylene glycol, a form of alcohol that features a boiling point of 387 degrees fahrenheit. in general, the coolant’s boiling point ranges from 300 to 400 degrees fahrenheit, while the antifreeze’s boiling. The most common ratios are 70/30, 50/50, and 30/70. Antifreeze is aptly named for its ability to prevent freezing in cold. Antifreeze Boiling Point Vs Water.
From enginednsmasq7tf.z14.web.core.windows.net
Antifreeze Boiling Point Antifreeze Boiling Point Vs Water the recommended ratio is often 50% antifreeze and 50% water, but this may vary depending on the manufacturer’s guidelines. not quite, but they are closely related. It’s time to get back to the ratios. The most common ratios are 70/30, 50/50, and 30/70. It lowers the freezing point of water, ensuring that the. most antifreeze is based. Antifreeze Boiling Point Vs Water.
From www.vrogue.co
Water Freezing Point Pressure Chart vrogue.co Antifreeze Boiling Point Vs Water not quite, but they are closely related. most antifreeze is based on ethylene glycol, a form of alcohol that features a boiling point of 387 degrees fahrenheit. Antifreeze is aptly named for its ability to prevent freezing in cold temperatures. It’s time to get back to the ratios. in general, the coolant’s boiling point ranges from 300. Antifreeze Boiling Point Vs Water.
From physicsexperiments.eu
Dependence of Boiling Point of Water on Pressure — Collection of Antifreeze Boiling Point Vs Water most antifreeze is based on ethylene glycol, a form of alcohol that features a boiling point of 387 degrees fahrenheit. The most common ratios are 70/30, 50/50, and 30/70. in general, the coolant’s boiling point ranges from 300 to 400 degrees fahrenheit, while the antifreeze’s boiling. the recommended ratio is often 50% antifreeze and 50% water, but. Antifreeze Boiling Point Vs Water.
From ranwhenparked.net
Boiling Point for Antifreeze Understanding the Science Ran When Antifreeze Boiling Point Vs Water The most common ratios are 70/30, 50/50, and 30/70. Coolant ratio refers to the proportion of coolant concentrate to water in the mixture. It’s time to get back to the ratios. Antifreeze is aptly named for its ability to prevent freezing in cold temperatures. not quite, but they are closely related. the recommended ratio is often 50% antifreeze. Antifreeze Boiling Point Vs Water.
From cefqwmzg.blob.core.windows.net
Does Antifreeze Have A Higher Boiling Point Than Water at Kyle Leo blog Antifreeze Boiling Point Vs Water Antifreeze is aptly named for its ability to prevent freezing in cold temperatures. not quite, but they are closely related. in general, the coolant’s boiling point ranges from 300 to 400 degrees fahrenheit, while the antifreeze’s boiling. the recommended ratio is often 50% antifreeze and 50% water, but this may vary depending on the manufacturer’s guidelines. It. Antifreeze Boiling Point Vs Water.
From bceweb.org
Boiling Point Pressure Chart A Visual Reference of Charts Chart Master Antifreeze Boiling Point Vs Water The most common ratios are 70/30, 50/50, and 30/70. not quite, but they are closely related. in general, the coolant’s boiling point ranges from 300 to 400 degrees fahrenheit, while the antifreeze’s boiling. most antifreeze is based on ethylene glycol, a form of alcohol that features a boiling point of 387 degrees fahrenheit. Antifreeze is aptly named. Antifreeze Boiling Point Vs Water.
From schematiclistexpos101.z22.web.core.windows.net
Chemistry Boiling Point Chart Antifreeze Boiling Point Vs Water It’s time to get back to the ratios. The most common ratios are 70/30, 50/50, and 30/70. not quite, but they are closely related. It lowers the freezing point of water, ensuring that the. Coolant ratio refers to the proportion of coolant concentrate to water in the mixture. in general, the coolant’s boiling point ranges from 300 to. Antifreeze Boiling Point Vs Water.
From wboil.com
AMSOIL Antifreeze and Engine Coolant (ANT) Antifreeze Boiling Point Vs Water It lowers the freezing point of water, ensuring that the. It’s time to get back to the ratios. the recommended ratio is often 50% antifreeze and 50% water, but this may vary depending on the manufacturer’s guidelines. not quite, but they are closely related. in general, the coolant’s boiling point ranges from 300 to 400 degrees fahrenheit,. Antifreeze Boiling Point Vs Water.
From mungfali.com
Water Boiling Point Pressure Chart Antifreeze Boiling Point Vs Water in general, the coolant’s boiling point ranges from 300 to 400 degrees fahrenheit, while the antifreeze’s boiling. the recommended ratio is often 50% antifreeze and 50% water, but this may vary depending on the manufacturer’s guidelines. It’s time to get back to the ratios. most antifreeze is based on ethylene glycol, a form of alcohol that features. Antifreeze Boiling Point Vs Water.
From www.coursehero.com
[Solved] Calculate the freezing point and boiling point of an Antifreeze Boiling Point Vs Water It’s time to get back to the ratios. Antifreeze is aptly named for its ability to prevent freezing in cold temperatures. Coolant ratio refers to the proportion of coolant concentrate to water in the mixture. in general, the coolant’s boiling point ranges from 300 to 400 degrees fahrenheit, while the antifreeze’s boiling. the recommended ratio is often 50%. Antifreeze Boiling Point Vs Water.
From engineofficeaz2o.z21.web.core.windows.net
Boiling Point Of 50 50 Antifreeze Antifreeze Boiling Point Vs Water Coolant ratio refers to the proportion of coolant concentrate to water in the mixture. The most common ratios are 70/30, 50/50, and 30/70. not quite, but they are closely related. Antifreeze is aptly named for its ability to prevent freezing in cold temperatures. in general, the coolant’s boiling point ranges from 300 to 400 degrees fahrenheit, while the. Antifreeze Boiling Point Vs Water.
From www.numerade.com
Calculate the freezing point and boiling point of an antifreeze Antifreeze Boiling Point Vs Water The most common ratios are 70/30, 50/50, and 30/70. most antifreeze is based on ethylene glycol, a form of alcohol that features a boiling point of 387 degrees fahrenheit. It lowers the freezing point of water, ensuring that the. not quite, but they are closely related. in general, the coolant’s boiling point ranges from 300 to 400. Antifreeze Boiling Point Vs Water.
From engineofficeaz2o.z21.web.core.windows.net
Boiling Point Of 50 50 Antifreeze Antifreeze Boiling Point Vs Water in general, the coolant’s boiling point ranges from 300 to 400 degrees fahrenheit, while the antifreeze’s boiling. the recommended ratio is often 50% antifreeze and 50% water, but this may vary depending on the manufacturer’s guidelines. not quite, but they are closely related. Coolant ratio refers to the proportion of coolant concentrate to water in the mixture.. Antifreeze Boiling Point Vs Water.
From www.numerade.com
SOLVED Automatic antifreeze consists of ethylene glycol. Calculate the Antifreeze Boiling Point Vs Water It lowers the freezing point of water, ensuring that the. in general, the coolant’s boiling point ranges from 300 to 400 degrees fahrenheit, while the antifreeze’s boiling. not quite, but they are closely related. the recommended ratio is often 50% antifreeze and 50% water, but this may vary depending on the manufacturer’s guidelines. It’s time to get. Antifreeze Boiling Point Vs Water.
From www.numerade.com
SOLVED Calculate Boiling Point Elavation anf Freezing Point Depression Antifreeze Boiling Point Vs Water Coolant ratio refers to the proportion of coolant concentrate to water in the mixture. most antifreeze is based on ethylene glycol, a form of alcohol that features a boiling point of 387 degrees fahrenheit. Antifreeze is aptly named for its ability to prevent freezing in cold temperatures. in general, the coolant’s boiling point ranges from 300 to 400. Antifreeze Boiling Point Vs Water.
From ranwhenparked.net
Boiling Point for Antifreeze Understanding the Science Ran When Antifreeze Boiling Point Vs Water It’s time to get back to the ratios. the recommended ratio is often 50% antifreeze and 50% water, but this may vary depending on the manufacturer’s guidelines. not quite, but they are closely related. It lowers the freezing point of water, ensuring that the. most antifreeze is based on ethylene glycol, a form of alcohol that features. Antifreeze Boiling Point Vs Water.
From maisiewood.z13.web.core.windows.net
Coolant Freeze Point Chart Antifreeze Boiling Point Vs Water It lowers the freezing point of water, ensuring that the. Antifreeze is aptly named for its ability to prevent freezing in cold temperatures. It’s time to get back to the ratios. not quite, but they are closely related. the recommended ratio is often 50% antifreeze and 50% water, but this may vary depending on the manufacturer’s guidelines. . Antifreeze Boiling Point Vs Water.
From cefqwmzg.blob.core.windows.net
Does Antifreeze Have A Higher Boiling Point Than Water at Kyle Leo blog Antifreeze Boiling Point Vs Water It’s time to get back to the ratios. It lowers the freezing point of water, ensuring that the. Antifreeze is aptly named for its ability to prevent freezing in cold temperatures. not quite, but they are closely related. Coolant ratio refers to the proportion of coolant concentrate to water in the mixture. most antifreeze is based on ethylene. Antifreeze Boiling Point Vs Water.
From ranwhenparked.net
Boiling Point for Antifreeze Understanding the Science Ran When Antifreeze Boiling Point Vs Water It lowers the freezing point of water, ensuring that the. It’s time to get back to the ratios. not quite, but they are closely related. Coolant ratio refers to the proportion of coolant concentrate to water in the mixture. most antifreeze is based on ethylene glycol, a form of alcohol that features a boiling point of 387 degrees. Antifreeze Boiling Point Vs Water.
From motorbeast.org
How to mix concentrated antifreeze with water MotorBeast Antifreeze Boiling Point Vs Water Coolant ratio refers to the proportion of coolant concentrate to water in the mixture. not quite, but they are closely related. The most common ratios are 70/30, 50/50, and 30/70. most antifreeze is based on ethylene glycol, a form of alcohol that features a boiling point of 387 degrees fahrenheit. It lowers the freezing point of water, ensuring. Antifreeze Boiling Point Vs Water.
From bestcarsessex.com
Does Antifreeze Raise Boiling Point of Water? (Explained) Antifreeze Boiling Point Vs Water It’s time to get back to the ratios. most antifreeze is based on ethylene glycol, a form of alcohol that features a boiling point of 387 degrees fahrenheit. in general, the coolant’s boiling point ranges from 300 to 400 degrees fahrenheit, while the antifreeze’s boiling. the recommended ratio is often 50% antifreeze and 50% water, but this. Antifreeze Boiling Point Vs Water.
From general.chemistrysteps.com
Boiling Point Elevation Chemistry Steps Antifreeze Boiling Point Vs Water It lowers the freezing point of water, ensuring that the. not quite, but they are closely related. The most common ratios are 70/30, 50/50, and 30/70. the recommended ratio is often 50% antifreeze and 50% water, but this may vary depending on the manufacturer’s guidelines. in general, the coolant’s boiling point ranges from 300 to 400 degrees. Antifreeze Boiling Point Vs Water.
From mavink.com
Water Boiling Point Pressure Chart Antifreeze Boiling Point Vs Water The most common ratios are 70/30, 50/50, and 30/70. not quite, but they are closely related. most antifreeze is based on ethylene glycol, a form of alcohol that features a boiling point of 387 degrees fahrenheit. the recommended ratio is often 50% antifreeze and 50% water, but this may vary depending on the manufacturer’s guidelines. It lowers. Antifreeze Boiling Point Vs Water.
From bceweb.org
Water Boiling Point Vs Pressure Chart A Visual Reference of Charts Antifreeze Boiling Point Vs Water It’s time to get back to the ratios. most antifreeze is based on ethylene glycol, a form of alcohol that features a boiling point of 387 degrees fahrenheit. Antifreeze is aptly named for its ability to prevent freezing in cold temperatures. Coolant ratio refers to the proportion of coolant concentrate to water in the mixture. The most common ratios. Antifreeze Boiling Point Vs Water.
From www.numerade.com
SOLVED Calculate the molality and boiling point of an antifreeze Antifreeze Boiling Point Vs Water Antifreeze is aptly named for its ability to prevent freezing in cold temperatures. Coolant ratio refers to the proportion of coolant concentrate to water in the mixture. It’s time to get back to the ratios. It lowers the freezing point of water, ensuring that the. most antifreeze is based on ethylene glycol, a form of alcohol that features a. Antifreeze Boiling Point Vs Water.
From slideplayer.com
Chapter 7 sec 1 Understanding Solutions Standard 5d ppt download Antifreeze Boiling Point Vs Water Antifreeze is aptly named for its ability to prevent freezing in cold temperatures. It lowers the freezing point of water, ensuring that the. in general, the coolant’s boiling point ranges from 300 to 400 degrees fahrenheit, while the antifreeze’s boiling. the recommended ratio is often 50% antifreeze and 50% water, but this may vary depending on the manufacturer’s. Antifreeze Boiling Point Vs Water.
From ceqdjowi.blob.core.windows.net
Water Boiling And Freezing Point at Abigail blog Antifreeze Boiling Point Vs Water Coolant ratio refers to the proportion of coolant concentrate to water in the mixture. in general, the coolant’s boiling point ranges from 300 to 400 degrees fahrenheit, while the antifreeze’s boiling. The most common ratios are 70/30, 50/50, and 30/70. Antifreeze is aptly named for its ability to prevent freezing in cold temperatures. the recommended ratio is often. Antifreeze Boiling Point Vs Water.
From keski.condesan-ecoandes.org
antifreeze boiling point chart Keski Antifreeze Boiling Point Vs Water Antifreeze is aptly named for its ability to prevent freezing in cold temperatures. It lowers the freezing point of water, ensuring that the. Coolant ratio refers to the proportion of coolant concentrate to water in the mixture. most antifreeze is based on ethylene glycol, a form of alcohol that features a boiling point of 387 degrees fahrenheit. not. Antifreeze Boiling Point Vs Water.
From cekhngsl.blob.core.windows.net
What Happens To Water When It Starts To Boil at Evan Burchfield blog Antifreeze Boiling Point Vs Water It’s time to get back to the ratios. The most common ratios are 70/30, 50/50, and 30/70. Coolant ratio refers to the proportion of coolant concentrate to water in the mixture. It lowers the freezing point of water, ensuring that the. in general, the coolant’s boiling point ranges from 300 to 400 degrees fahrenheit, while the antifreeze’s boiling. . Antifreeze Boiling Point Vs Water.
From mavink.com
Water Boiling Point Vs Pressure Chart Antifreeze Boiling Point Vs Water It’s time to get back to the ratios. Antifreeze is aptly named for its ability to prevent freezing in cold temperatures. the recommended ratio is often 50% antifreeze and 50% water, but this may vary depending on the manufacturer’s guidelines. It lowers the freezing point of water, ensuring that the. not quite, but they are closely related. . Antifreeze Boiling Point Vs Water.
From workshoprepaircecilxy2.z14.web.core.windows.net
Engine Coolant Boiling Point Antifreeze Boiling Point Vs Water It’s time to get back to the ratios. not quite, but they are closely related. It lowers the freezing point of water, ensuring that the. Antifreeze is aptly named for its ability to prevent freezing in cold temperatures. the recommended ratio is often 50% antifreeze and 50% water, but this may vary depending on the manufacturer’s guidelines. . Antifreeze Boiling Point Vs Water.
From ranwhenparked.net
Boiling Point for Antifreeze Understanding the Science Ran When Antifreeze Boiling Point Vs Water in general, the coolant’s boiling point ranges from 300 to 400 degrees fahrenheit, while the antifreeze’s boiling. Antifreeze is aptly named for its ability to prevent freezing in cold temperatures. most antifreeze is based on ethylene glycol, a form of alcohol that features a boiling point of 387 degrees fahrenheit. The most common ratios are 70/30, 50/50, and. Antifreeze Boiling Point Vs Water.
From www.carid.com
Antifreeze Explained What Does it Do and Why is it Needed? CARiD Antifreeze Boiling Point Vs Water not quite, but they are closely related. It lowers the freezing point of water, ensuring that the. in general, the coolant’s boiling point ranges from 300 to 400 degrees fahrenheit, while the antifreeze’s boiling. The most common ratios are 70/30, 50/50, and 30/70. It’s time to get back to the ratios. most antifreeze is based on ethylene. Antifreeze Boiling Point Vs Water.
From rvprofy.com
Blowing Out RV Water Lines vs. Antifreeze Which is Better? RVProfy Antifreeze Boiling Point Vs Water It lowers the freezing point of water, ensuring that the. in general, the coolant’s boiling point ranges from 300 to 400 degrees fahrenheit, while the antifreeze’s boiling. not quite, but they are closely related. The most common ratios are 70/30, 50/50, and 30/70. Antifreeze is aptly named for its ability to prevent freezing in cold temperatures. It’s time. Antifreeze Boiling Point Vs Water.