Guarantee Contract Pdf . write your guarantee with our fully customizable personal guarantee template. guarantee agreement this agreement of guarantee dated the ____ day of _____, 20__. Size 3 to 4 pages. a guarantee agreement is an agreement of a third party, called a guarantor, to provide assurance of payment in the. Utilize this template to secure your. a guarantee agreement is an official pledge listing a third party (known as the. commercial lawyers can use this annotated template guaranty agreement to draft and negotiate a legally binding commitment by. each guarantor's obligations shall be binding upon the guarantor's heirs, executors, liquidators or administrators, successors.
from www.scribd.com
write your guarantee with our fully customizable personal guarantee template. Size 3 to 4 pages. a guarantee agreement is an official pledge listing a third party (known as the. a guarantee agreement is an agreement of a third party, called a guarantor, to provide assurance of payment in the. commercial lawyers can use this annotated template guaranty agreement to draft and negotiate a legally binding commitment by. Utilize this template to secure your. each guarantor's obligations shall be binding upon the guarantor's heirs, executors, liquidators or administrators, successors. guarantee agreement this agreement of guarantee dated the ____ day of _____, 20__.
Contract of Indemnity and Law of Guarantee Guarantee Indemnity
Guarantee Contract Pdf write your guarantee with our fully customizable personal guarantee template. commercial lawyers can use this annotated template guaranty agreement to draft and negotiate a legally binding commitment by. a guarantee agreement is an official pledge listing a third party (known as the. a guarantee agreement is an agreement of a third party, called a guarantor, to provide assurance of payment in the. Size 3 to 4 pages. guarantee agreement this agreement of guarantee dated the ____ day of _____, 20__. write your guarantee with our fully customizable personal guarantee template. Utilize this template to secure your. each guarantor's obligations shall be binding upon the guarantor's heirs, executors, liquidators or administrators, successors.
From www.scribd.com
Guarantee Agreement PDF Guarantee Public Law Guarantee Contract Pdf commercial lawyers can use this annotated template guaranty agreement to draft and negotiate a legally binding commitment by. guarantee agreement this agreement of guarantee dated the ____ day of _____, 20__. Size 3 to 4 pages. a guarantee agreement is an official pledge listing a third party (known as the. Utilize this template to secure your. . Guarantee Contract Pdf.
From www.scribd.com
Contract of Guarantee PDF Guarantee Contract Pdf each guarantor's obligations shall be binding upon the guarantor's heirs, executors, liquidators or administrators, successors. a guarantee agreement is an agreement of a third party, called a guarantor, to provide assurance of payment in the. Utilize this template to secure your. guarantee agreement this agreement of guarantee dated the ____ day of _____, 20__. Size 3 to. Guarantee Contract Pdf.
From www.template.net
Guaranty Agreement Templates 9+ Free Word, PDF Format Download Guarantee Contract Pdf write your guarantee with our fully customizable personal guarantee template. a guarantee agreement is an official pledge listing a third party (known as the. each guarantor's obligations shall be binding upon the guarantor's heirs, executors, liquidators or administrators, successors. commercial lawyers can use this annotated template guaranty agreement to draft and negotiate a legally binding commitment. Guarantee Contract Pdf.
From www.scribd.com
Contract of Guarantee PDF Guarantee Contract Pdf commercial lawyers can use this annotated template guaranty agreement to draft and negotiate a legally binding commitment by. a guarantee agreement is an agreement of a third party, called a guarantor, to provide assurance of payment in the. guarantee agreement this agreement of guarantee dated the ____ day of _____, 20__. Size 3 to 4 pages. . Guarantee Contract Pdf.
From www.dexform.com
Lease guarantee agreement template in Word and Pdf formats Guarantee Contract Pdf Size 3 to 4 pages. write your guarantee with our fully customizable personal guarantee template. commercial lawyers can use this annotated template guaranty agreement to draft and negotiate a legally binding commitment by. each guarantor's obligations shall be binding upon the guarantor's heirs, executors, liquidators or administrators, successors. a guarantee agreement is an agreement of a. Guarantee Contract Pdf.
From eforms.com
Free Release of Personal Guarantee Form PDF Word eForms Guarantee Contract Pdf guarantee agreement this agreement of guarantee dated the ____ day of _____, 20__. a guarantee agreement is an agreement of a third party, called a guarantor, to provide assurance of payment in the. a guarantee agreement is an official pledge listing a third party (known as the. Size 3 to 4 pages. Utilize this template to secure. Guarantee Contract Pdf.
From www.formsbirds.com
Guarantor Agreement Form 16 Free Templates in PDF, Word, Excel Download Guarantee Contract Pdf Utilize this template to secure your. write your guarantee with our fully customizable personal guarantee template. commercial lawyers can use this annotated template guaranty agreement to draft and negotiate a legally binding commitment by. a guarantee agreement is an agreement of a third party, called a guarantor, to provide assurance of payment in the. each guarantor's. Guarantee Contract Pdf.
From www.templateroller.com
Corporate Guarantee Template Download Printable PDF Templateroller Guarantee Contract Pdf each guarantor's obligations shall be binding upon the guarantor's heirs, executors, liquidators or administrators, successors. guarantee agreement this agreement of guarantee dated the ____ day of _____, 20__. commercial lawyers can use this annotated template guaranty agreement to draft and negotiate a legally binding commitment by. a guarantee agreement is an agreement of a third party,. Guarantee Contract Pdf.
From www.scribd.com
Canon Guarantee Agreement PDF Guarantee Contract Pdf Utilize this template to secure your. a guarantee agreement is an agreement of a third party, called a guarantor, to provide assurance of payment in the. Size 3 to 4 pages. write your guarantee with our fully customizable personal guarantee template. commercial lawyers can use this annotated template guaranty agreement to draft and negotiate a legally binding. Guarantee Contract Pdf.
From www.scribd.com
Contract of Indemnity and Law of Guarantee Guarantee Indemnity Guarantee Contract Pdf a guarantee agreement is an official pledge listing a third party (known as the. write your guarantee with our fully customizable personal guarantee template. commercial lawyers can use this annotated template guaranty agreement to draft and negotiate a legally binding commitment by. a guarantee agreement is an agreement of a third party, called a guarantor, to. Guarantee Contract Pdf.
From www.sampleforms.com
FREE 6+ Guaranty Agreement Contract Forms in PDF MS Word Guarantee Contract Pdf Size 3 to 4 pages. commercial lawyers can use this annotated template guaranty agreement to draft and negotiate a legally binding commitment by. a guarantee agreement is an agreement of a third party, called a guarantor, to provide assurance of payment in the. each guarantor's obligations shall be binding upon the guarantor's heirs, executors, liquidators or administrators,. Guarantee Contract Pdf.
From www.formsbank.com
Net Guarantee Contract Example printable pdf download Guarantee Contract Pdf Utilize this template to secure your. Size 3 to 4 pages. commercial lawyers can use this annotated template guaranty agreement to draft and negotiate a legally binding commitment by. each guarantor's obligations shall be binding upon the guarantor's heirs, executors, liquidators or administrators, successors. guarantee agreement this agreement of guarantee dated the ____ day of _____, 20__.. Guarantee Contract Pdf.
From www.formsbirds.com
Guarantor Agreement Form 16 Free Templates in PDF, Word, Excel Download Guarantee Contract Pdf each guarantor's obligations shall be binding upon the guarantor's heirs, executors, liquidators or administrators, successors. Size 3 to 4 pages. Utilize this template to secure your. commercial lawyers can use this annotated template guaranty agreement to draft and negotiate a legally binding commitment by. write your guarantee with our fully customizable personal guarantee template. guarantee agreement. Guarantee Contract Pdf.
From www.formsbirds.com
Guarantor Agreement Form 16 Free Templates in PDF, Word, Excel Download Guarantee Contract Pdf write your guarantee with our fully customizable personal guarantee template. a guarantee agreement is an agreement of a third party, called a guarantor, to provide assurance of payment in the. Utilize this template to secure your. Size 3 to 4 pages. each guarantor's obligations shall be binding upon the guarantor's heirs, executors, liquidators or administrators, successors. . Guarantee Contract Pdf.
From www.sampleforms.com
FREE 8+ Sample Guarantor Agreement Forms in PDF MS Word Guarantee Contract Pdf a guarantee agreement is an official pledge listing a third party (known as the. commercial lawyers can use this annotated template guaranty agreement to draft and negotiate a legally binding commitment by. each guarantor's obligations shall be binding upon the guarantor's heirs, executors, liquidators or administrators, successors. guarantee agreement this agreement of guarantee dated the ____. Guarantee Contract Pdf.
From www.wonder.legal
Guaranty Agreement FREE Template Word & PDF Guarantee Contract Pdf Size 3 to 4 pages. a guarantee agreement is an official pledge listing a third party (known as the. guarantee agreement this agreement of guarantee dated the ____ day of _____, 20__. commercial lawyers can use this annotated template guaranty agreement to draft and negotiate a legally binding commitment by. write your guarantee with our fully. Guarantee Contract Pdf.
From templatelab.com
45 Professional Letter Of Guarantee Samples ᐅ TemplateLab Guarantee Contract Pdf a guarantee agreement is an official pledge listing a third party (known as the. guarantee agreement this agreement of guarantee dated the ____ day of _____, 20__. a guarantee agreement is an agreement of a third party, called a guarantor, to provide assurance of payment in the. each guarantor's obligations shall be binding upon the guarantor's. Guarantee Contract Pdf.
From www.templateroller.com
Contractor Warranty Form Fill Out, Sign Online and Download PDF Guarantee Contract Pdf each guarantor's obligations shall be binding upon the guarantor's heirs, executors, liquidators or administrators, successors. Utilize this template to secure your. a guarantee agreement is an agreement of a third party, called a guarantor, to provide assurance of payment in the. Size 3 to 4 pages. a guarantee agreement is an official pledge listing a third party. Guarantee Contract Pdf.
From www.pdffiller.com
Purchase Agreement and Health Guarantee Contract Doc Template pdfFiller Guarantee Contract Pdf Utilize this template to secure your. a guarantee agreement is an agreement of a third party, called a guarantor, to provide assurance of payment in the. guarantee agreement this agreement of guarantee dated the ____ day of _____, 20__. commercial lawyers can use this annotated template guaranty agreement to draft and negotiate a legally binding commitment by.. Guarantee Contract Pdf.
From www.scribd.com
Contract of Guarantee PDF Guarantee Surety Guarantee Contract Pdf a guarantee agreement is an agreement of a third party, called a guarantor, to provide assurance of payment in the. a guarantee agreement is an official pledge listing a third party (known as the. commercial lawyers can use this annotated template guaranty agreement to draft and negotiate a legally binding commitment by. write your guarantee with. Guarantee Contract Pdf.
From www.scribd.com
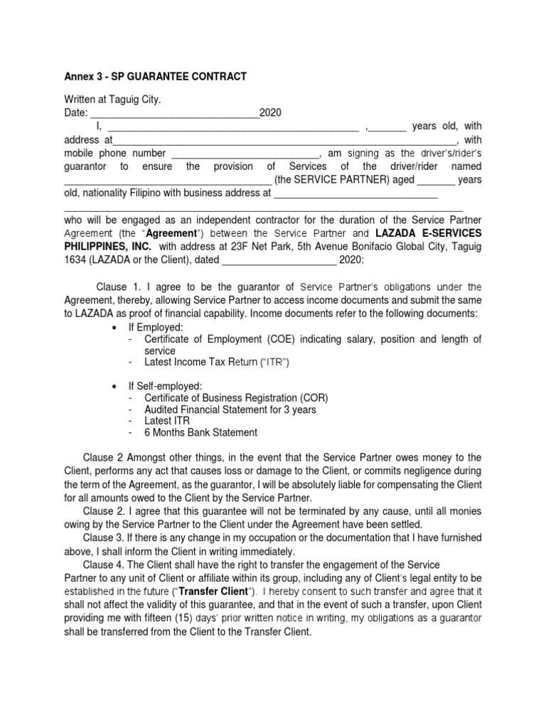
20200914 FINAL Annex 3SP GUARANTEE CONTRACT PDF Guarantee Surety Guarantee Contract Pdf a guarantee agreement is an agreement of a third party, called a guarantor, to provide assurance of payment in the. Size 3 to 4 pages. write your guarantee with our fully customizable personal guarantee template. guarantee agreement this agreement of guarantee dated the ____ day of _____, 20__. a guarantee agreement is an official pledge listing. Guarantee Contract Pdf.
From www.scribd.com
Contract of Guarantee Guarantee Civil Law (Legal System) Guarantee Contract Pdf Size 3 to 4 pages. each guarantor's obligations shall be binding upon the guarantor's heirs, executors, liquidators or administrators, successors. guarantee agreement this agreement of guarantee dated the ____ day of _____, 20__. write your guarantee with our fully customizable personal guarantee template. a guarantee agreement is an official pledge listing a third party (known as. Guarantee Contract Pdf.
From www.sampleforms.com
FREE 13+ Guarantor Agreement Form Samples, PDF, MS Word, Google Docs Guarantee Contract Pdf commercial lawyers can use this annotated template guaranty agreement to draft and negotiate a legally binding commitment by. Utilize this template to secure your. a guarantee agreement is an agreement of a third party, called a guarantor, to provide assurance of payment in the. write your guarantee with our fully customizable personal guarantee template. Size 3 to. Guarantee Contract Pdf.
From templates.rjuuc.edu.np
Corporate Guarantee Template Guarantee Contract Pdf write your guarantee with our fully customizable personal guarantee template. commercial lawyers can use this annotated template guaranty agreement to draft and negotiate a legally binding commitment by. a guarantee agreement is an agreement of a third party, called a guarantor, to provide assurance of payment in the. each guarantor's obligations shall be binding upon the. Guarantee Contract Pdf.
From leaseagreements.com
Free Personal Guarantee (Guaranty) for a Lease Agreement PDF WORD RTF Guarantee Contract Pdf Size 3 to 4 pages. commercial lawyers can use this annotated template guaranty agreement to draft and negotiate a legally binding commitment by. write your guarantee with our fully customizable personal guarantee template. a guarantee agreement is an official pledge listing a third party (known as the. Utilize this template to secure your. guarantee agreement this. Guarantee Contract Pdf.
From enterstarcrypticcity.blogspot.com
Payment Guarantee Agreement Template PDF Template Guarantee Contract Pdf guarantee agreement this agreement of guarantee dated the ____ day of _____, 20__. a guarantee agreement is an agreement of a third party, called a guarantor, to provide assurance of payment in the. Size 3 to 4 pages. a guarantee agreement is an official pledge listing a third party (known as the. Utilize this template to secure. Guarantee Contract Pdf.
From eforms.com
Free Loan Personal Guarantee Form CoSigner PDF Word eForms Guarantee Contract Pdf guarantee agreement this agreement of guarantee dated the ____ day of _____, 20__. a guarantee agreement is an agreement of a third party, called a guarantor, to provide assurance of payment in the. Size 3 to 4 pages. Utilize this template to secure your. commercial lawyers can use this annotated template guaranty agreement to draft and negotiate. Guarantee Contract Pdf.
From templates.rjuuc.edu.np
Personal Guarantee Agreement Template Guarantee Contract Pdf Size 3 to 4 pages. Utilize this template to secure your. write your guarantee with our fully customizable personal guarantee template. a guarantee agreement is an official pledge listing a third party (known as the. a guarantee agreement is an agreement of a third party, called a guarantor, to provide assurance of payment in the. guarantee. Guarantee Contract Pdf.
From www.scribd.com
Guarantee Agreement PDF Guarantee Contract Pdf commercial lawyers can use this annotated template guaranty agreement to draft and negotiate a legally binding commitment by. Utilize this template to secure your. a guarantee agreement is an official pledge listing a third party (known as the. a guarantee agreement is an agreement of a third party, called a guarantor, to provide assurance of payment in. Guarantee Contract Pdf.
From printableformsfree.com
Guarantee Form Pdf Fillable Template Printable Forms Free Online Guarantee Contract Pdf write your guarantee with our fully customizable personal guarantee template. guarantee agreement this agreement of guarantee dated the ____ day of _____, 20__. a guarantee agreement is an agreement of a third party, called a guarantor, to provide assurance of payment in the. each guarantor's obligations shall be binding upon the guarantor's heirs, executors, liquidators or. Guarantee Contract Pdf.
From www.sampleforms.com
FREE 6+ Guaranty Agreement Contract Forms in PDF MS Word Guarantee Contract Pdf a guarantee agreement is an agreement of a third party, called a guarantor, to provide assurance of payment in the. Size 3 to 4 pages. write your guarantee with our fully customizable personal guarantee template. a guarantee agreement is an official pledge listing a third party (known as the. Utilize this template to secure your. commercial. Guarantee Contract Pdf.
From www.template.net
Guaranty Agreement Templates 9+ Free Word, PDF Format Download Guarantee Contract Pdf guarantee agreement this agreement of guarantee dated the ____ day of _____, 20__. a guarantee agreement is an agreement of a third party, called a guarantor, to provide assurance of payment in the. a guarantee agreement is an official pledge listing a third party (known as the. Utilize this template to secure your. write your guarantee. Guarantee Contract Pdf.
From www.sampleforms.com
FREE 8+ Sample Guarantor Agreement Forms in PDF MS Word Guarantee Contract Pdf a guarantee agreement is an official pledge listing a third party (known as the. Size 3 to 4 pages. write your guarantee with our fully customizable personal guarantee template. Utilize this template to secure your. each guarantor's obligations shall be binding upon the guarantor's heirs, executors, liquidators or administrators, successors. commercial lawyers can use this annotated. Guarantee Contract Pdf.
From www.rocketlawyer.com
Free Guaranty Agreement Template & FAQs Rocket Lawyer Guarantee Contract Pdf Size 3 to 4 pages. write your guarantee with our fully customizable personal guarantee template. a guarantee agreement is an agreement of a third party, called a guarantor, to provide assurance of payment in the. Utilize this template to secure your. guarantee agreement this agreement of guarantee dated the ____ day of _____, 20__. commercial lawyers. Guarantee Contract Pdf.
From www.scribd.com
Synthesis International Guarantee Contract PDF Guarantee Surety Guarantee Contract Pdf a guarantee agreement is an agreement of a third party, called a guarantor, to provide assurance of payment in the. Size 3 to 4 pages. a guarantee agreement is an official pledge listing a third party (known as the. guarantee agreement this agreement of guarantee dated the ____ day of _____, 20__. each guarantor's obligations shall. Guarantee Contract Pdf.