How To Find Where Electric Field Is Zero Between Two Point Charges . The electric field due to the charges at a point p of coordinates (0, 1). the electric field due to multiple charges may be found by adding together the electric field from each individual charge. there is a spot along the line connecting the charges, just to the far side of the positive charge (on the side away from the negative charge) where the electric. R = √(k * (q 1 + q 2)/e 0), where r. the formula for calculating where the electric field between two charges is equal to zero is: To the left of both charges (region i), in between. more specifically, is the field equal to zero at some point in one of these three regions: Charge 1 has a value of 1 nc and is located at the origin. there are two charges. if multiple charges are present, the total electric field at a point is the vector sum of the electric fields due to each charge.
from signalticket9.pythonanywhere.com
Charge 1 has a value of 1 nc and is located at the origin. there is a spot along the line connecting the charges, just to the far side of the positive charge (on the side away from the negative charge) where the electric. more specifically, is the field equal to zero at some point in one of these three regions: The electric field due to the charges at a point p of coordinates (0, 1). if multiple charges are present, the total electric field at a point is the vector sum of the electric fields due to each charge. the electric field due to multiple charges may be found by adding together the electric field from each individual charge. R = √(k * (q 1 + q 2)/e 0), where r. the formula for calculating where the electric field between two charges is equal to zero is: To the left of both charges (region i), in between. there are two charges.
First Class How To Find Electric Field Formula Of Physics Class 11
How To Find Where Electric Field Is Zero Between Two Point Charges R = √(k * (q 1 + q 2)/e 0), where r. there are two charges. To the left of both charges (region i), in between. if multiple charges are present, the total electric field at a point is the vector sum of the electric fields due to each charge. there is a spot along the line connecting the charges, just to the far side of the positive charge (on the side away from the negative charge) where the electric. R = √(k * (q 1 + q 2)/e 0), where r. the electric field due to multiple charges may be found by adding together the electric field from each individual charge. The electric field due to the charges at a point p of coordinates (0, 1). more specifically, is the field equal to zero at some point in one of these three regions: Charge 1 has a value of 1 nc and is located at the origin. the formula for calculating where the electric field between two charges is equal to zero is:
From brainly.com
The diagram shows the electric field lines around two charges. Based on How To Find Where Electric Field Is Zero Between Two Point Charges more specifically, is the field equal to zero at some point in one of these three regions: if multiple charges are present, the total electric field at a point is the vector sum of the electric fields due to each charge. To the left of both charges (region i), in between. the electric field due to multiple. How To Find Where Electric Field Is Zero Between Two Point Charges.
From courses.lumenlearning.com
Conductors and Electric Fields in Static Equilibrium Physics How To Find Where Electric Field Is Zero Between Two Point Charges The electric field due to the charges at a point p of coordinates (0, 1). R = √(k * (q 1 + q 2)/e 0), where r. To the left of both charges (region i), in between. Charge 1 has a value of 1 nc and is located at the origin. more specifically, is the field equal to zero. How To Find Where Electric Field Is Zero Between Two Point Charges.
From userdiagramforsyth.z21.web.core.windows.net
Electric Circuit Potential Diagram How To Find Where Electric Field Is Zero Between Two Point Charges if multiple charges are present, the total electric field at a point is the vector sum of the electric fields due to each charge. there are two charges. The electric field due to the charges at a point p of coordinates (0, 1). more specifically, is the field equal to zero at some point in one of. How To Find Where Electric Field Is Zero Between Two Point Charges.
From enginelibparentages.z13.web.core.windows.net
Electric Field Due To Multiple Charges How To Find Where Electric Field Is Zero Between Two Point Charges Charge 1 has a value of 1 nc and is located at the origin. there are two charges. The electric field due to the charges at a point p of coordinates (0, 1). if multiple charges are present, the total electric field at a point is the vector sum of the electric fields due to each charge. To. How To Find Where Electric Field Is Zero Between Two Point Charges.
From study.com
Electrostatic Force & Coulomb's Law Equation & Examples Lesson How To Find Where Electric Field Is Zero Between Two Point Charges R = √(k * (q 1 + q 2)/e 0), where r. more specifically, is the field equal to zero at some point in one of these three regions: the formula for calculating where the electric field between two charges is equal to zero is: the electric field due to multiple charges may be found by adding. How To Find Where Electric Field Is Zero Between Two Point Charges.
From byjus.com
two charges 4q and q are kept at ( a,0) and (a,0) respectively. The How To Find Where Electric Field Is Zero Between Two Point Charges more specifically, is the field equal to zero at some point in one of these three regions: The electric field due to the charges at a point p of coordinates (0, 1). Charge 1 has a value of 1 nc and is located at the origin. the electric field due to multiple charges may be found by adding. How To Find Where Electric Field Is Zero Between Two Point Charges.
From quizdbstraitness.z13.web.core.windows.net
How To Find Where Electric Potential Is Zero How To Find Where Electric Field Is Zero Between Two Point Charges there is a spot along the line connecting the charges, just to the far side of the positive charge (on the side away from the negative charge) where the electric. The electric field due to the charges at a point p of coordinates (0, 1). the formula for calculating where the electric field between two charges is equal. How To Find Where Electric Field Is Zero Between Two Point Charges.
From easydrawing.pages.dev
how to draw field lines Lines equipotential electric field How To Find Where Electric Field Is Zero Between Two Point Charges if multiple charges are present, the total electric field at a point is the vector sum of the electric fields due to each charge. Charge 1 has a value of 1 nc and is located at the origin. The electric field due to the charges at a point p of coordinates (0, 1). the formula for calculating where. How To Find Where Electric Field Is Zero Between Two Point Charges.
From circuitenginecurst123.z13.web.core.windows.net
Electric Field Diagram Two Charges How To Find Where Electric Field Is Zero Between Two Point Charges the electric field due to multiple charges may be found by adding together the electric field from each individual charge. Charge 1 has a value of 1 nc and is located at the origin. R = √(k * (q 1 + q 2)/e 0), where r. The electric field due to the charges at a point p of coordinates. How To Find Where Electric Field Is Zero Between Two Point Charges.
From enginerileyfanlight.z14.web.core.windows.net
Electric Field Charge Diagram How To Find Where Electric Field Is Zero Between Two Point Charges more specifically, is the field equal to zero at some point in one of these three regions: the electric field due to multiple charges may be found by adding together the electric field from each individual charge. there are two charges. if multiple charges are present, the total electric field at a point is the vector. How To Find Where Electric Field Is Zero Between Two Point Charges.
From www.youtube.com
Two point charges q1 and q2 are separated by a distance r YouTube How To Find Where Electric Field Is Zero Between Two Point Charges if multiple charges are present, the total electric field at a point is the vector sum of the electric fields due to each charge. the formula for calculating where the electric field between two charges is equal to zero is: The electric field due to the charges at a point p of coordinates (0, 1). R = √(k. How To Find Where Electric Field Is Zero Between Two Point Charges.
From www.youtube.com
The figure shows two charged particles on an x axis YouTube How To Find Where Electric Field Is Zero Between Two Point Charges To the left of both charges (region i), in between. The electric field due to the charges at a point p of coordinates (0, 1). more specifically, is the field equal to zero at some point in one of these three regions: there are two charges. there is a spot along the line connecting the charges, just. How To Find Where Electric Field Is Zero Between Two Point Charges.
From studyembreading.z13.web.core.windows.net
How To Find Where Electric Potential Is Zero How To Find Where Electric Field Is Zero Between Two Point Charges Charge 1 has a value of 1 nc and is located at the origin. the electric field due to multiple charges may be found by adding together the electric field from each individual charge. there is a spot along the line connecting the charges, just to the far side of the positive charge (on the side away from. How To Find Where Electric Field Is Zero Between Two Point Charges.
From www.chegg.com
Solved For the charge arrangements shown below, use the How To Find Where Electric Field Is Zero Between Two Point Charges Charge 1 has a value of 1 nc and is located at the origin. the electric field due to multiple charges may be found by adding together the electric field from each individual charge. if multiple charges are present, the total electric field at a point is the vector sum of the electric fields due to each charge.. How To Find Where Electric Field Is Zero Between Two Point Charges.
From www.toppr.com
Two point charges + 4q and + q are placed 30 cm apart. At what point on How To Find Where Electric Field Is Zero Between Two Point Charges The electric field due to the charges at a point p of coordinates (0, 1). the electric field due to multiple charges may be found by adding together the electric field from each individual charge. more specifically, is the field equal to zero at some point in one of these three regions: To the left of both charges. How To Find Where Electric Field Is Zero Between Two Point Charges.
From byjus.com
Two point charges q1 and q2 of magnitude 10 raise to 8C and 10 raise to How To Find Where Electric Field Is Zero Between Two Point Charges the electric field due to multiple charges may be found by adding together the electric field from each individual charge. The electric field due to the charges at a point p of coordinates (0, 1). there is a spot along the line connecting the charges, just to the far side of the positive charge (on the side away. How To Find Where Electric Field Is Zero Between Two Point Charges.
From imathworks.com
[Physics] Why is the Electric Field Zero at this point Math Solves How To Find Where Electric Field Is Zero Between Two Point Charges the electric field due to multiple charges may be found by adding together the electric field from each individual charge. Charge 1 has a value of 1 nc and is located at the origin. the formula for calculating where the electric field between two charges is equal to zero is: there are two charges. R = √(k. How To Find Where Electric Field Is Zero Between Two Point Charges.
From learningtoxicinityhs.z13.web.core.windows.net
How To Determine Electric Field Lines How To Find Where Electric Field Is Zero Between Two Point Charges Charge 1 has a value of 1 nc and is located at the origin. the formula for calculating where the electric field between two charges is equal to zero is: To the left of both charges (region i), in between. The electric field due to the charges at a point p of coordinates (0, 1). more specifically, is. How To Find Where Electric Field Is Zero Between Two Point Charges.
From signalticket9.pythonanywhere.com
First Class How To Find Electric Field Formula Of Physics Class 11 How To Find Where Electric Field Is Zero Between Two Point Charges if multiple charges are present, the total electric field at a point is the vector sum of the electric fields due to each charge. there are two charges. the electric field due to multiple charges may be found by adding together the electric field from each individual charge. R = √(k * (q 1 + q 2)/e. How To Find Where Electric Field Is Zero Between Two Point Charges.
From www.vrogue.co
Is The Electric Potential Inside A Conductor Zero vrogue.co How To Find Where Electric Field Is Zero Between Two Point Charges Charge 1 has a value of 1 nc and is located at the origin. R = √(k * (q 1 + q 2)/e 0), where r. The electric field due to the charges at a point p of coordinates (0, 1). more specifically, is the field equal to zero at some point in one of these three regions: . How To Find Where Electric Field Is Zero Between Two Point Charges.
From guidefixgriglynco.z22.web.core.windows.net
Electric Field Diagram Zero Point How To Find Where Electric Field Is Zero Between Two Point Charges The electric field due to the charges at a point p of coordinates (0, 1). more specifically, is the field equal to zero at some point in one of these three regions: R = √(k * (q 1 + q 2)/e 0), where r. Charge 1 has a value of 1 nc and is located at the origin. . How To Find Where Electric Field Is Zero Between Two Point Charges.
From diagramlistergon.z21.web.core.windows.net
Electric Field And Charges Formula Chart How To Find Where Electric Field Is Zero Between Two Point Charges To the left of both charges (region i), in between. there is a spot along the line connecting the charges, just to the far side of the positive charge (on the side away from the negative charge) where the electric. the electric field due to multiple charges may be found by adding together the electric field from each. How To Find Where Electric Field Is Zero Between Two Point Charges.
From www.slideserve.com
PPT Day 15 Electric Potential due to Point Charges PowerPoint How To Find Where Electric Field Is Zero Between Two Point Charges the formula for calculating where the electric field between two charges is equal to zero is: if multiple charges are present, the total electric field at a point is the vector sum of the electric fields due to each charge. To the left of both charges (region i), in between. The electric field due to the charges at. How To Find Where Electric Field Is Zero Between Two Point Charges.
From www.chegg.com
Solved At Which Point (or Points) Is The Electric Field Z... How To Find Where Electric Field Is Zero Between Two Point Charges there are two charges. more specifically, is the field equal to zero at some point in one of these three regions: Charge 1 has a value of 1 nc and is located at the origin. R = √(k * (q 1 + q 2)/e 0), where r. To the left of both charges (region i), in between. . How To Find Where Electric Field Is Zero Between Two Point Charges.
From www.toppr.com
Two point charges + 4q and + q are placed 30 cm apart. At what point on How To Find Where Electric Field Is Zero Between Two Point Charges the electric field due to multiple charges may be found by adding together the electric field from each individual charge. more specifically, is the field equal to zero at some point in one of these three regions: R = √(k * (q 1 + q 2)/e 0), where r. the formula for calculating where the electric field. How To Find Where Electric Field Is Zero Between Two Point Charges.
From courses.lumenlearning.com
Electric Field Lines Multiple Charges Physics How To Find Where Electric Field Is Zero Between Two Point Charges there is a spot along the line connecting the charges, just to the far side of the positive charge (on the side away from the negative charge) where the electric. there are two charges. The electric field due to the charges at a point p of coordinates (0, 1). more specifically, is the field equal to zero. How To Find Where Electric Field Is Zero Between Two Point Charges.
From userlistunhelpable.z14.web.core.windows.net
Find Where Electric Field Is Zero How To Find Where Electric Field Is Zero Between Two Point Charges there is a spot along the line connecting the charges, just to the far side of the positive charge (on the side away from the negative charge) where the electric. the electric field due to multiple charges may be found by adding together the electric field from each individual charge. The electric field due to the charges at. How To Find Where Electric Field Is Zero Between Two Point Charges.
From www.youtube.com
Chapter 18, example 7 (Zero electric field between point charges How To Find Where Electric Field Is Zero Between Two Point Charges there is a spot along the line connecting the charges, just to the far side of the positive charge (on the side away from the negative charge) where the electric. The electric field due to the charges at a point p of coordinates (0, 1). R = √(k * (q 1 + q 2)/e 0), where r. if. How To Find Where Electric Field Is Zero Between Two Point Charges.
From www.youtube.com
Where is the electric field equal to zero? YouTube How To Find Where Electric Field Is Zero Between Two Point Charges the formula for calculating where the electric field between two charges is equal to zero is: To the left of both charges (region i), in between. there is a spot along the line connecting the charges, just to the far side of the positive charge (on the side away from the negative charge) where the electric. R =. How To Find Where Electric Field Is Zero Between Two Point Charges.
From www.toppr.com
Two point charges + 4q and + q are placed 30 cm apart. At what point on How To Find Where Electric Field Is Zero Between Two Point Charges there are two charges. Charge 1 has a value of 1 nc and is located at the origin. more specifically, is the field equal to zero at some point in one of these three regions: there is a spot along the line connecting the charges, just to the far side of the positive charge (on the side. How To Find Where Electric Field Is Zero Between Two Point Charges.
From www.numerade.com
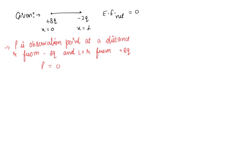
SOLVED . Two point charges +8q and 2q are located at x=0 and x=L How To Find Where Electric Field Is Zero Between Two Point Charges there are two charges. more specifically, is the field equal to zero at some point in one of these three regions: the formula for calculating where the electric field between two charges is equal to zero is: if multiple charges are present, the total electric field at a point is the vector sum of the electric. How To Find Where Electric Field Is Zero Between Two Point Charges.
From www.slideserve.com
PPT Electric Fields and Forces PowerPoint Presentation, free download How To Find Where Electric Field Is Zero Between Two Point Charges there are two charges. The electric field due to the charges at a point p of coordinates (0, 1). the formula for calculating where the electric field between two charges is equal to zero is: the electric field due to multiple charges may be found by adding together the electric field from each individual charge. R =. How To Find Where Electric Field Is Zero Between Two Point Charges.
From www.numerade.com
SOLVED Two point charges + q and + 9q are separated by a distance of How To Find Where Electric Field Is Zero Between Two Point Charges R = √(k * (q 1 + q 2)/e 0), where r. more specifically, is the field equal to zero at some point in one of these three regions: there are two charges. there is a spot along the line connecting the charges, just to the far side of the positive charge (on the side away from. How To Find Where Electric Field Is Zero Between Two Point Charges.
From www.sarthaks.com
A few electric field lines for a system of two charges `Q_(1)` and `Q How To Find Where Electric Field Is Zero Between Two Point Charges the formula for calculating where the electric field between two charges is equal to zero is: more specifically, is the field equal to zero at some point in one of these three regions: R = √(k * (q 1 + q 2)/e 0), where r. there are two charges. there is a spot along the line. How To Find Where Electric Field Is Zero Between Two Point Charges.
From photonics101.com
Two Point Charges How To Find Where Electric Field Is Zero Between Two Point Charges there is a spot along the line connecting the charges, just to the far side of the positive charge (on the side away from the negative charge) where the electric. R = √(k * (q 1 + q 2)/e 0), where r. the electric field due to multiple charges may be found by adding together the electric field. How To Find Where Electric Field Is Zero Between Two Point Charges.