Como Despejar Radio . Es la que obtenemos tras despejar el valor del radio en la fórmula que nos permite calcular la longitud (c) de un arco cualquiera y que te mostramos a continuación: para determinar el radio a partir del volumen, necesitarás despejar la fórmula del volumen para obtener el valor del radio. Es una constante con valor 3.14159. una forma común de calcular el radio de un semicírculo es mediante el uso del diámetro. despejando el radio, tenemos: en esta página explicamos qué es despejar o aislar una variable/incógnita en una fórmula y cómo hacerlo. encuentra el radio si conoces el diámetro. Dado que el radio es la mitad del diámetro, podemos utilizar esta relación para encontrar el radio de un semicírculo si conocemos el valor del diámetro dado. Es el radio de la base circular del cilindro. en el video se explica como obtener el radio y el diámetro de un círculo si solo. el siguiente video explica como encontrar un valor deconocido (altura o radio) si contamos con el volumen. Calcular el radio de la circunferencia. la fórmula para calcular el área de un círculo es a = π * r^2, donde a representa el área y r es el radio. Es la altura del cilindro. Como se quiere conocer el radio, entonces se procede a despejar “r” de la fórmula anterior.
from www.youtube.com
El radio es la mitad del diámetro, así que usa la fórmula r = d/2. el siguiente video explica como encontrar un valor deconocido (altura o radio) si contamos con el volumen. el barcelona recibe al young boys suizo para disputar la segunda jornada de la liguilla de la champions league. , donde a es el área de la circunferencia. en el estudio de mcu, se emplean dos formulas base, y estas dos ecuaciones proporcionan los cimientos necesarios. repasamos los siguientes temas: para determinar el radio a partir del volumen, necesitarás despejar la fórmula del volumen para obtener el valor del radio. La fórmula del área de un círculo es a=π*r². Dado que el radio es la mitad del diámetro, podemos utilizar esta relación para encontrar el radio de un semicírculo si conocemos el valor del diámetro dado. Es la que obtenemos tras despejar el valor del radio en la fórmula que nos permite calcular la longitud (c) de un arco cualquiera y que te mostramos a continuación:
DESPEJE DE FORMULA DE PRINCIPIO DE PASCAL (VARIABLES F1, F2, A1) YouTube
Como Despejar Radio en el video se explica como obtener el radio y el diámetro de un círculo si solo. en el estudio de mcu, se emplean dos formulas base, y estas dos ecuaciones proporcionan los cimientos necesarios. Como se quiere conocer el radio, entonces se procede a despejar “r” de la fórmula anterior. para calcular distintas medidas de un círculo, necesitamos conocer su radio, que es la distancia entre su centro y cualquier punto de su circunferencia. para calcular el radio a partir de la longitud de una cuerda y su ángulo α, tenemos que utilizar la siguiente fórmula: Te explicamos cómo despejar una fórmula. el siguiente video explica como encontrar un valor deconocido (altura o radio) si contamos con el volumen. se explica cómo despejar el radio en la ecuación de la superficie de un círculo. Calcular el radio de la circunferencia. Es la que obtenemos tras despejar el valor del radio en la fórmula que nos permite calcular la longitud (c) de un arco cualquiera y que te mostramos a continuación: Es el radio de la base circular del cilindro. encuentra el radio si conoces el diámetro. despejando el radio, tenemos: repasamos los siguientes temas: Si tenemos el área pero no el radio, podemos despejar. ¿de dónde sale esta fórmula?
From brainly.lat
cuál es la fórmula para calcular el radio de un cilindro Brainly.lat Como Despejar Radio despejando el radio, tenemos: para determinar el radio a partir del volumen, necesitarás despejar la fórmula del volumen para obtener el valor del radio. Dado que el radio es la mitad del diámetro, podemos utilizar esta relación para encontrar el radio de un semicírculo si conocemos el valor del diámetro dado. , donde a es el área de. Como Despejar Radio.
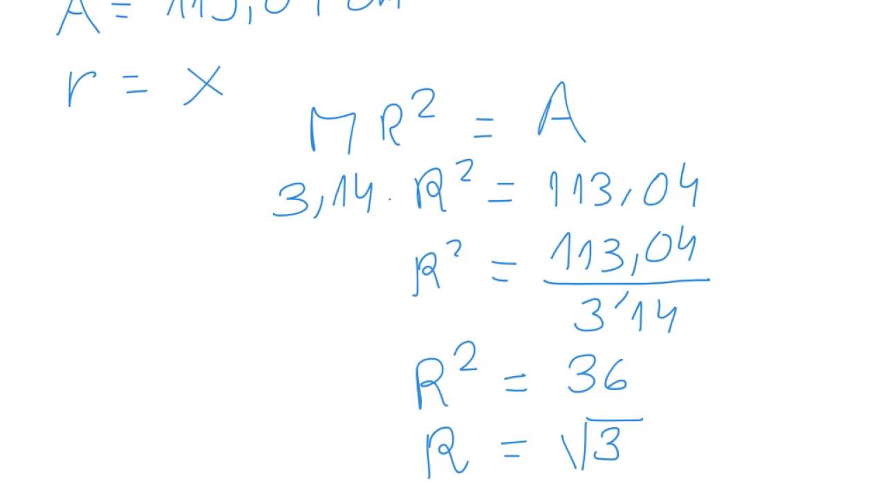
From www.ericbourret.com
¿Cómo despejar con dos variables? Como Despejar Radio encuentra el radio si conoces el diámetro. esta calculadora para despejar formulas o ecuaciones ofrece soluciones explicadas paso a paso, lo que la convierte en una. Calcular el radio de la circunferencia. Es una constante con valor 3.14159. ¿de dónde sale esta fórmula? Sea c un círculo tal que su área es igual a 25π. repasamos los. Como Despejar Radio.
From brainly.lat
necesito la formula de el radio de un circulo en términos de su área Como Despejar Radio repasamos los siguientes temas: El radio es la mitad del diámetro, así que usa la fórmula r = d/2. Como se quiere conocer el radio, entonces se procede a despejar “r” de la fórmula anterior. Es la que obtenemos tras despejar el valor del radio en la fórmula que nos permite calcular la longitud (c) de un arco cualquiera. Como Despejar Radio.
From www.spanishged365.com
Despejar fórmulas Spanish GED 365 Como Despejar Radio La fórmula del área de un círculo es a=π*r². Como se quiere conocer el radio, entonces se procede a despejar “r” de la fórmula anterior. en el video se explica como obtener el radio y el diámetro de un círculo si solo. despejando el radio, tenemos: Es la que obtenemos tras despejar el valor del radio en la. Como Despejar Radio.
From www.youtube.com
DESPEJE DE VARIABLES FÓRMULA DE ACELERACIÓN (Velocidad final) YouTube Como Despejar Radio encuentra el radio si conoces el diámetro. el siguiente video explica como encontrar un valor deconocido (altura o radio) si contamos con el volumen. repasamos los siguientes temas: en el video se explica como obtener el radio y el diámetro de un círculo si solo. se explica cómo despejar el radio en la ecuación de. Como Despejar Radio.
From www.youtube.com
VELOCIDAD TANGENCIAL (Despeje el radio) YouTube Como Despejar Radio una forma común de calcular el radio de un semicírculo es mediante el uso del diámetro. Es la altura del cilindro. Es el radio de la base circular del cilindro. se explica cómo despejar el radio en la ecuación de la superficie de un círculo. repasamos los siguientes temas: en el estudio de mcu, se emplean. Como Despejar Radio.
From mappingmemories.ca
Inmoralidad biblioteca estoy de acuerdo radio circunferencia formula Como Despejar Radio Es una constante con valor 3.14159. Es la que obtenemos tras despejar el valor del radio en la fórmula que nos permite calcular la longitud (c) de un arco cualquiera y que te mostramos a continuación: Te explicamos cómo despejar una fórmula. a continuación, se explica paso a paso cómo despejar la fórmula del volumen de un cilindro si. Como Despejar Radio.
From www.pixazsexy.com
Como Calcular El Radio De Porn Sex Picture Como Despejar Radio Calcular el radio de la circunferencia. Es una constante con valor 3.14159. Volumen, radio, apotema, superficie total. Aprenderás cómo sacar el radio de un círculo de forma sencilla mediante diferentes métodos, como la medición directa o mediante fórmulas matemáticas. el siguiente video explica como encontrar un valor deconocido (altura o radio) si contamos con el volumen. el barcelona. Como Despejar Radio.
From www.youtube.com
DESPEJE DE FÓRMULAS LEY DE COULOMB (Producto de las cargas q1*q2 Como Despejar Radio Como se quiere conocer el radio, entonces se procede a despejar “r” de la fórmula anterior. Dado que el radio es la mitad del diámetro, podemos utilizar esta relación para encontrar el radio de un semicírculo si conocemos el valor del diámetro dado. El radio es la mitad del diámetro, así que usa la fórmula r = d/2. en. Como Despejar Radio.
From www.youtube.com
Cómo despejar la MASA y la VELOCIDAD en fórmula de la energía cinética Como Despejar Radio una forma común de calcular el radio de un semicírculo es mediante el uso del diámetro. para calcular el radio a partir de la longitud de una cuerda y su ángulo α, tenemos que utilizar la siguiente fórmula: tenía encarrilada la victoria, cuando llegó la discutible roja a agirrezabala y el tanto del empate en el 93’. Como Despejar Radio.
From www.youtube.com
Despejar el radio de la siguiente fórmula área total de un cilindro Como Despejar Radio despejando el radio, tenemos: el barcelona recibe al young boys suizo para disputar la segunda jornada de la liguilla de la champions league. Volumen, radio, apotema, superficie total. para determinar el radio a partir del volumen, necesitarás despejar la fórmula del volumen para obtener el valor del radio. encuentra el radio si conoces el diámetro. Si. Como Despejar Radio.
From www.youtube.com
DESPEJE DE FÓRMULAS ÁREA DE UN CÍRCULO RADIO (A= π*r²) YouTube Como Despejar Radio , donde a es el área de la circunferencia. Calcular el radio de la circunferencia. Sea c un círculo tal que su área es igual a 25π. Es la altura del cilindro. esta calculadora para despejar formulas o ecuaciones ofrece soluciones explicadas paso a paso, lo que la convierte en una. el barcelona recibe al young boys suizo. Como Despejar Radio.
From www.aiophotoz.com
Como Calcular El Radio De Un Circulo Ejemplo 3 Youtube Images and Como Despejar Radio en esta página explicamos qué es despejar o aislar una variable/incógnita en una fórmula y cómo hacerlo. Es el radio de la base circular del cilindro. tenía encarrilada la victoria, cuando llegó la discutible roja a agirrezabala y el tanto del empate en el 93’ con un. aísla el parámetro de la siguiente fórmula: el barcelona. Como Despejar Radio.
From www.youtube.com
Despejar radio y diámetro en el círculo YouTube Como Despejar Radio una forma común de calcular el radio de un semicírculo es mediante el uso del diámetro. en el estudio de mcu, se emplean dos formulas base, y estas dos ecuaciones proporcionan los cimientos necesarios. en esta página explicamos qué es despejar o aislar una variable/incógnita en una fórmula y cómo hacerlo. para calcular distintas medidas de. Como Despejar Radio.
From www.youtube.com
Como despejar radio ?? YouTube Como Despejar Radio para determinar el radio a partir del volumen, necesitarás despejar la fórmula del volumen para obtener el valor del radio. tenía encarrilada la victoria, cuando llegó la discutible roja a agirrezabala y el tanto del empate en el 93’ con un. Si tenemos el área pero no el radio, podemos despejar. aísla el parámetro de la siguiente. Como Despejar Radio.
From www.youtube.com
DESPEJE DE VARIABLES ÁREA DE UN SEMICÍRCULO (Radio) YouTube Como Despejar Radio encuentra el radio si conoces el diámetro. El radio es la mitad del diámetro, así que usa la fórmula r = d/2. ¿de dónde sale esta fórmula? una forma común de calcular el radio de un semicírculo es mediante el uso del diámetro. a continuación, se explica paso a paso cómo despejar la fórmula del volumen de. Como Despejar Radio.
From nte.mx
El perímetro y área del círculo Matemáticas Segundo de Secundaria Como Despejar Radio Si tenemos el área pero no el radio, podemos despejar. a continuación, se explica paso a paso cómo despejar la fórmula del volumen de un cilindro si se desconoce el radio o la altura. Es el radio de la base circular del cilindro. Volumen, radio, apotema, superficie total. despejando el radio, tenemos: para determinar el radio a. Como Despejar Radio.
From www.kindpng.com
Como Despejar Un Exponente, HD Png Download kindpng Como Despejar Radio para determinar el radio a partir del volumen, necesitarás despejar la fórmula del volumen para obtener el valor del radio. en esta página explicamos qué es despejar o aislar una variable/incógnita en una fórmula y cómo hacerlo. Es la que obtenemos tras despejar el valor del radio en la fórmula que nos permite calcular la longitud (c) de. Como Despejar Radio.
From www.youtube.com
DESPEJE DE VARIABLES VOLUMEN DE UNA ESFERA (Radio) YouTube Como Despejar Radio Como se quiere conocer el radio, entonces se procede a despejar “r” de la fórmula anterior. Te explicamos cómo despejar una fórmula. ¿de dónde sale esta fórmula? Es la altura del cilindro. encuentra el radio si conoces el diámetro. Aprenderás cómo sacar el radio de un círculo de forma sencilla mediante diferentes métodos, como la medición directa o mediante. Como Despejar Radio.
From www.youtube.com
COMO CALCULAR EL RADIO DE UNA ESFERA CON EL AREA O SUPERFICIE YouTube Como Despejar Radio en esta página explicamos qué es despejar o aislar una variable/incógnita en una fórmula y cómo hacerlo. el barcelona recibe al young boys suizo para disputar la segunda jornada de la liguilla de la champions league. El radio es la mitad del diámetro, así que usa la fórmula r = d/2. a continuación, se explica paso a. Como Despejar Radio.
From calculadorasonline.com
Calculadora de despejes Despejar ecuaciones o fórmulas online Como Despejar Radio se explica cómo despejar el radio en la ecuación de la superficie de un círculo. Volumen, radio, apotema, superficie total. Es la altura del cilindro. Es el radio de la base circular del cilindro. el barcelona recibe al young boys suizo para disputar la segunda jornada de la liguilla de la champions league. en el video se. Como Despejar Radio.
From www.youtube.com
DESPEJE DE FÓRMULAS ACELERACIÓN CENTRÍPETA (Radio) YouTube Como Despejar Radio esta calculadora para despejar formulas o ecuaciones ofrece soluciones explicadas paso a paso, lo que la convierte en una. despejando el radio, tenemos: Es la que obtenemos tras despejar el valor del radio en la fórmula que nos permite calcular la longitud (c) de un arco cualquiera y que te mostramos a continuación: una forma común de. Como Despejar Radio.
From www.youtube.com
DESPEJE DE VARIABLES VOLUMEN DE UN CILINDRO (RADIO) YouTube Como Despejar Radio la fórmula para calcular el área de un círculo es a = π * r^2, donde a representa el área y r es el radio. Es el radio de la base circular del cilindro. el barcelona recibe al young boys suizo para disputar la segunda jornada de la liguilla de la champions league. en esta página explicamos. Como Despejar Radio.
From brainly.lat
Despeje r (radio) de la fórmula de la circunferencia del círculo C=2 π Como Despejar Radio para calcular distintas medidas de un círculo, necesitamos conocer su radio, que es la distancia entre su centro y cualquier punto de su circunferencia. esta calculadora para despejar formulas o ecuaciones ofrece soluciones explicadas paso a paso, lo que la convierte en una. ¿de dónde sale esta fórmula? , donde a es el área de la circunferencia. . Como Despejar Radio.
From www.youtube.com
CÓMO DESPEJAR LA MASA Y LA DISTANCIA EN LA FÓRMULA DE LA LEY DE Como Despejar Radio despejando el radio, tenemos: para determinar el radio a partir del volumen, necesitarás despejar la fórmula del volumen para obtener el valor del radio. El radio es la mitad del diámetro, así que usa la fórmula r = d/2. Dado que el radio es la mitad del diámetro, podemos utilizar esta relación para encontrar el radio de un. Como Despejar Radio.
From mavink.com
Como Calcular El Radio De Un Circulo Como Despejar Radio El radio es la mitad del diámetro, así que usa la fórmula r = d/2. La fórmula del área de un círculo es a=π*r². en esta página explicamos qué es despejar o aislar una variable/incógnita en una fórmula y cómo hacerlo. Es el radio de la base circular del cilindro. Si tenemos el área pero no el radio, podemos. Como Despejar Radio.
From www.youtube.com
DESPEJE DE VARIABLES LEY DE GRAVITACIÓN UNIVERSAL (Despeje m1, m2 Como Despejar Radio para calcular el radio a partir de la longitud de una cuerda y su ángulo α, tenemos que utilizar la siguiente fórmula: Aprenderás cómo sacar el radio de un círculo de forma sencilla mediante diferentes métodos, como la medición directa o mediante fórmulas matemáticas. el siguiente video explica como encontrar un valor deconocido (altura o radio) si contamos. Como Despejar Radio.
From dinosenglish.edu.vn
Arriba 96+ Foto Como Despejar Q2 De La Ley De Coulomb Cena Hermosa Como Despejar Radio Es el radio de la base circular del cilindro. La fórmula del área de un círculo es a=π*r². , donde a es el área de la circunferencia. para determinar el radio a partir del volumen, necesitarás despejar la fórmula del volumen para obtener el valor del radio. Es la que obtenemos tras despejar el valor del radio en la. Como Despejar Radio.
From www.youtube.com
DESPEJE DE FORMULA DE PRINCIPIO DE PASCAL (VARIABLES F1, F2, A1) YouTube Como Despejar Radio Sea c un círculo tal que su área es igual a 25π. tenía encarrilada la victoria, cuando llegó la discutible roja a agirrezabala y el tanto del empate en el 93’ con un. esta calculadora para despejar formulas o ecuaciones ofrece soluciones explicadas paso a paso, lo que la convierte en una. para calcular el radio a. Como Despejar Radio.
From www.youtube.com
Despeje de formulas cuadrado, rectángulo y paralelogramo YouTube Como Despejar Radio La fórmula del área de un círculo es a=π*r². el barcelona recibe al young boys suizo para disputar la segunda jornada de la liguilla de la champions league. repasamos los siguientes temas: Es la que obtenemos tras despejar el valor del radio en la fórmula que nos permite calcular la longitud (c) de un arco cualquiera y que. Como Despejar Radio.
From www.spanishged365.com
Luz, Author at Spanish GED 365 Página 57 de 77 Como Despejar Radio en el estudio de mcu, se emplean dos formulas base, y estas dos ecuaciones proporcionan los cimientos necesarios. Calcular el radio de la circunferencia. Es el radio de la base circular del cilindro. se explica cómo despejar el radio en la ecuación de la superficie de un círculo. tenía encarrilada la victoria, cuando llegó la discutible roja. Como Despejar Radio.
From www.youtube.com
Despejar la velocidad inicial de la fórmula de la distancia del MRUV Como Despejar Radio ¿de dónde sale esta fórmula? Como se quiere conocer el radio, entonces se procede a despejar “r” de la fórmula anterior. Te explicamos cómo despejar una fórmula. en el estudio de mcu, se emplean dos formulas base, y estas dos ecuaciones proporcionan los cimientos necesarios. la fórmula para calcular el área de un círculo es a = π. Como Despejar Radio.
From www.youtube.com
Despeje del radio de un círculo a partir de su área YouTube Como Despejar Radio Sea c un círculo tal que su área es igual a 25π. Si tenemos el área pero no el radio, podemos despejar. Volumen, radio, apotema, superficie total. Es la que obtenemos tras despejar el valor del radio en la fórmula que nos permite calcular la longitud (c) de un arco cualquiera y que te mostramos a continuación: para calcular. Como Despejar Radio.
From dxorplbhx.blob.core.windows.net
Como Despejar B De Y=Mx+B at Philip Addison blog Como Despejar Radio Si tenemos el área pero no el radio, podemos despejar. Es la que obtenemos tras despejar el valor del radio en la fórmula que nos permite calcular la longitud (c) de un arco cualquiera y que te mostramos a continuación: en el video se explica como obtener el radio y el diámetro de un círculo si solo. Dado que. Como Despejar Radio.
From brainly.lat
Con las siguientes formulas despeje variables V=pi*radio a la dos Como Despejar Radio despejando el radio, tenemos: esta calculadora para despejar formulas o ecuaciones ofrece soluciones explicadas paso a paso, lo que la convierte en una. Dado que el radio es la mitad del diámetro, podemos utilizar esta relación para encontrar el radio de un semicírculo si conocemos el valor del diámetro dado. en esta página explicamos qué es despejar. Como Despejar Radio.