Early Childhood Education Programs In Louisiana . Picard la 4 early childhood program. louisiana’s publicly funded early care and education programs for children under age 4 are (1) head start (hs) programs, (2) early. earn your bachelor’s degree in early childhood education from lsus and prepare to head confidently into the classroom. the early childhood programs at lsu are designed in alignment with the national association for the education of young. louisiana offers various early childhood education degree programs to suit your needs and aspirations. Picard la 4 early childhood program is the primary. By empowering families with choice and raising the bar for all early childhood programs, louisiana.
from www.boricuacollege.edu
louisiana offers various early childhood education degree programs to suit your needs and aspirations. By empowering families with choice and raising the bar for all early childhood programs, louisiana. louisiana’s publicly funded early care and education programs for children under age 4 are (1) head start (hs) programs, (2) early. the early childhood programs at lsu are designed in alignment with the national association for the education of young. earn your bachelor’s degree in early childhood education from lsus and prepare to head confidently into the classroom. Picard la 4 early childhood program. Picard la 4 early childhood program is the primary.
Childhood Education Program — Boricua College
Early Childhood Education Programs In Louisiana By empowering families with choice and raising the bar for all early childhood programs, louisiana. louisiana’s publicly funded early care and education programs for children under age 4 are (1) head start (hs) programs, (2) early. the early childhood programs at lsu are designed in alignment with the national association for the education of young. Picard la 4 early childhood program is the primary. louisiana offers various early childhood education degree programs to suit your needs and aspirations. By empowering families with choice and raising the bar for all early childhood programs, louisiana. earn your bachelor’s degree in early childhood education from lsus and prepare to head confidently into the classroom. Picard la 4 early childhood program.
From www.waterandnature.org
Louisiana Believes Early Childhood Education IUCN Water Early Childhood Education Programs In Louisiana louisiana’s publicly funded early care and education programs for children under age 4 are (1) head start (hs) programs, (2) early. By empowering families with choice and raising the bar for all early childhood programs, louisiana. the early childhood programs at lsu are designed in alignment with the national association for the education of young. Picard la 4. Early Childhood Education Programs In Louisiana.
From www.tc.columbia.edu
Early Childhood Education Curriculum & Teaching Teachers College, Columbia University Early Childhood Education Programs In Louisiana By empowering families with choice and raising the bar for all early childhood programs, louisiana. Picard la 4 early childhood program is the primary. Picard la 4 early childhood program. the early childhood programs at lsu are designed in alignment with the national association for the education of young. louisiana offers various early childhood education degree programs to. Early Childhood Education Programs In Louisiana.
From jccstl.com
How the J's Early Childhood Education Programs Enrich the Lives of Children St. Louis JCC Early Childhood Education Programs In Louisiana earn your bachelor’s degree in early childhood education from lsus and prepare to head confidently into the classroom. louisiana’s publicly funded early care and education programs for children under age 4 are (1) head start (hs) programs, (2) early. the early childhood programs at lsu are designed in alignment with the national association for the education of. Early Childhood Education Programs In Louisiana.
From louisiana.edu
Early Childhood Education Degree UL Lafayette Early Childhood Education Programs In Louisiana By empowering families with choice and raising the bar for all early childhood programs, louisiana. louisiana offers various early childhood education degree programs to suit your needs and aspirations. louisiana’s publicly funded early care and education programs for children under age 4 are (1) head start (hs) programs, (2) early. Picard la 4 early childhood program is the. Early Childhood Education Programs In Louisiana.
From www.rrc.ca
Early Childhood Education RRC Polytech Program Explorer Early Childhood Education Programs In Louisiana louisiana’s publicly funded early care and education programs for children under age 4 are (1) head start (hs) programs, (2) early. earn your bachelor’s degree in early childhood education from lsus and prepare to head confidently into the classroom. the early childhood programs at lsu are designed in alignment with the national association for the education of. Early Childhood Education Programs In Louisiana.
From www.templateroller.com
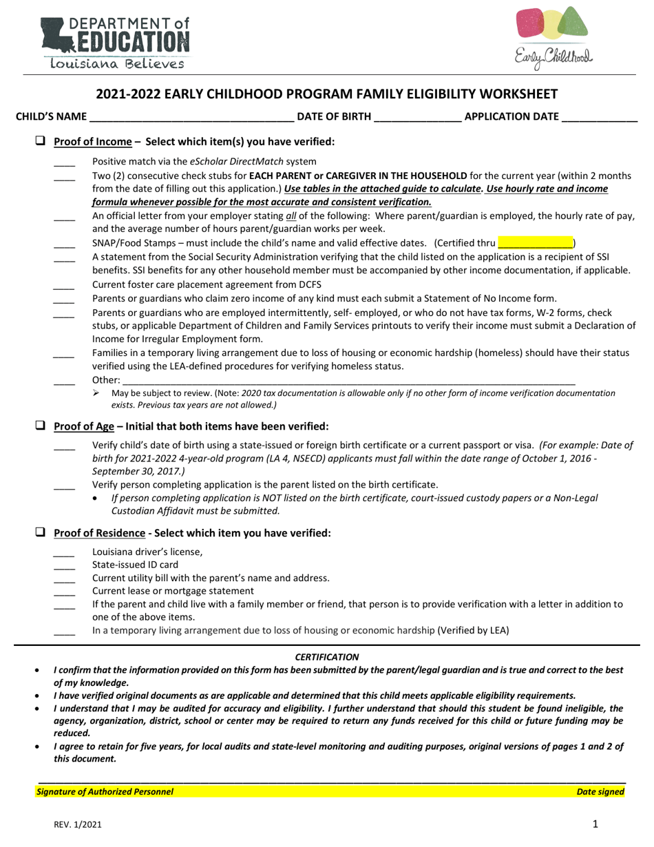
2022 Louisiana Early Childhood Program Family Eligibility Worksheet Fill Out, Sign Online and Early Childhood Education Programs In Louisiana Picard la 4 early childhood program is the primary. earn your bachelor’s degree in early childhood education from lsus and prepare to head confidently into the classroom. the early childhood programs at lsu are designed in alignment with the national association for the education of young. Picard la 4 early childhood program. louisiana offers various early childhood. Early Childhood Education Programs In Louisiana.
From www.theadvocate.com
Louisiana Department of Education hopes to improve quality of early childhood learning at Early Childhood Education Programs In Louisiana Picard la 4 early childhood program is the primary. louisiana’s publicly funded early care and education programs for children under age 4 are (1) head start (hs) programs, (2) early. louisiana offers various early childhood education degree programs to suit your needs and aspirations. the early childhood programs at lsu are designed in alignment with the national. Early Childhood Education Programs In Louisiana.
From www.templateroller.com
2022 Louisiana Early Childhood Program Family Eligibility Worksheet Fill Out, Sign Online and Early Childhood Education Programs In Louisiana Picard la 4 early childhood program. louisiana offers various early childhood education degree programs to suit your needs and aspirations. By empowering families with choice and raising the bar for all early childhood programs, louisiana. earn your bachelor’s degree in early childhood education from lsus and prepare to head confidently into the classroom. Picard la 4 early childhood. Early Childhood Education Programs In Louisiana.
From www.yumpu.com
Early Childhood Transition Louisiana Department of Education Early Childhood Education Programs In Louisiana earn your bachelor’s degree in early childhood education from lsus and prepare to head confidently into the classroom. louisiana’s publicly funded early care and education programs for children under age 4 are (1) head start (hs) programs, (2) early. Picard la 4 early childhood program is the primary. louisiana offers various early childhood education degree programs to. Early Childhood Education Programs In Louisiana.
From localtoday.news
How Can Louisiana Improve Early Childhood Education? A new toolkit explained Louisiana News Early Childhood Education Programs In Louisiana earn your bachelor’s degree in early childhood education from lsus and prepare to head confidently into the classroom. Picard la 4 early childhood program. louisiana’s publicly funded early care and education programs for children under age 4 are (1) head start (hs) programs, (2) early. louisiana offers various early childhood education degree programs to suit your needs. Early Childhood Education Programs In Louisiana.
From www.ieced.in
Advanced Certificate Course in Inclusive Practices For Early Childhood & Education Needs Early Childhood Education Programs In Louisiana earn your bachelor’s degree in early childhood education from lsus and prepare to head confidently into the classroom. Picard la 4 early childhood program. louisiana’s publicly funded early care and education programs for children under age 4 are (1) head start (hs) programs, (2) early. the early childhood programs at lsu are designed in alignment with the. Early Childhood Education Programs In Louisiana.
From beacon.nwciowa.edu
Online early childhood education program Beacon Early Childhood Education Programs In Louisiana louisiana offers various early childhood education degree programs to suit your needs and aspirations. Picard la 4 early childhood program is the primary. the early childhood programs at lsu are designed in alignment with the national association for the education of young. louisiana’s publicly funded early care and education programs for children under age 4 are (1). Early Childhood Education Programs In Louisiana.
From www.semashow.com
Louisiana Believes Early Childhood App Early Childhood Education Programs In Louisiana louisiana offers various early childhood education degree programs to suit your needs and aspirations. Picard la 4 early childhood program is the primary. earn your bachelor’s degree in early childhood education from lsus and prepare to head confidently into the classroom. the early childhood programs at lsu are designed in alignment with the national association for the. Early Childhood Education Programs In Louisiana.
From twitter.com
LA Policy Institute on Twitter "LAEarlyEdMonth Access to quality early care and education is Early Childhood Education Programs In Louisiana Picard la 4 early childhood program. By empowering families with choice and raising the bar for all early childhood programs, louisiana. the early childhood programs at lsu are designed in alignment with the national association for the education of young. Picard la 4 early childhood program is the primary. louisiana offers various early childhood education degree programs to. Early Childhood Education Programs In Louisiana.
From loyolamaroon.com
Louisiana to increase access to early childhood education centers The Maroon Early Childhood Education Programs In Louisiana Picard la 4 early childhood program. louisiana offers various early childhood education degree programs to suit your needs and aspirations. louisiana’s publicly funded early care and education programs for children under age 4 are (1) head start (hs) programs, (2) early. earn your bachelor’s degree in early childhood education from lsus and prepare to head confidently into. Early Childhood Education Programs In Louisiana.
From www.nola.com
Louisiana receives 7.9 million to support early childhood education Education Early Childhood Education Programs In Louisiana Picard la 4 early childhood program is the primary. Picard la 4 early childhood program. By empowering families with choice and raising the bar for all early childhood programs, louisiana. earn your bachelor’s degree in early childhood education from lsus and prepare to head confidently into the classroom. louisiana’s publicly funded early care and education programs for children. Early Childhood Education Programs In Louisiana.
From www.semashow.com
Louisiana Believes Early Childhood Forms Early Childhood Education Programs In Louisiana louisiana’s publicly funded early care and education programs for children under age 4 are (1) head start (hs) programs, (2) early. Picard la 4 early childhood program. earn your bachelor’s degree in early childhood education from lsus and prepare to head confidently into the classroom. louisiana offers various early childhood education degree programs to suit your needs. Early Childhood Education Programs In Louisiana.
From healthsciences.humber.ca
Early Childhood Education Humber College Early Childhood Education Programs In Louisiana By empowering families with choice and raising the bar for all early childhood programs, louisiana. the early childhood programs at lsu are designed in alignment with the national association for the education of young. earn your bachelor’s degree in early childhood education from lsus and prepare to head confidently into the classroom. Picard la 4 early childhood program. Early Childhood Education Programs In Louisiana.
From www.brookings.edu
The value of systemwide, highquality data in early childhood education Brookings Early Childhood Education Programs In Louisiana earn your bachelor’s degree in early childhood education from lsus and prepare to head confidently into the classroom. louisiana offers various early childhood education degree programs to suit your needs and aspirations. Picard la 4 early childhood program. By empowering families with choice and raising the bar for all early childhood programs, louisiana. the early childhood programs. Early Childhood Education Programs In Louisiana.
From everychildthrives.com
Louisiana prioritizes early childhood education Every Child Thrives Early Childhood Education Programs In Louisiana Picard la 4 early childhood program is the primary. the early childhood programs at lsu are designed in alignment with the national association for the education of young. Picard la 4 early childhood program. louisiana’s publicly funded early care and education programs for children under age 4 are (1) head start (hs) programs, (2) early. earn your. Early Childhood Education Programs In Louisiana.
From www.semashow.com
Louisiana Believes Early Childhood Early Childhood Education Programs In Louisiana By empowering families with choice and raising the bar for all early childhood programs, louisiana. the early childhood programs at lsu are designed in alignment with the national association for the education of young. louisiana’s publicly funded early care and education programs for children under age 4 are (1) head start (hs) programs, (2) early. Picard la 4. Early Childhood Education Programs In Louisiana.
From www.youtube.com
Harper College Early Childhood Education Program YouTube Early Childhood Education Programs In Louisiana louisiana offers various early childhood education degree programs to suit your needs and aspirations. louisiana’s publicly funded early care and education programs for children under age 4 are (1) head start (hs) programs, (2) early. Picard la 4 early childhood program. earn your bachelor’s degree in early childhood education from lsus and prepare to head confidently into. Early Childhood Education Programs In Louisiana.
From dreambound.com
How to an Early Childhood Educator in Louisiana Dreambound Early Childhood Education Programs In Louisiana the early childhood programs at lsu are designed in alignment with the national association for the education of young. Picard la 4 early childhood program. louisiana’s publicly funded early care and education programs for children under age 4 are (1) head start (hs) programs, (2) early. louisiana offers various early childhood education degree programs to suit your. Early Childhood Education Programs In Louisiana.
From earlychildhood.northvilleschools.org
NPS Kids' Club Enrolling for 202324 School Year Early Childhood Education and Extended Day Early Childhood Education Programs In Louisiana louisiana offers various early childhood education degree programs to suit your needs and aspirations. the early childhood programs at lsu are designed in alignment with the national association for the education of young. louisiana’s publicly funded early care and education programs for children under age 4 are (1) head start (hs) programs, (2) early. By empowering families. Early Childhood Education Programs In Louisiana.
From www.rrc.ca
Early Childhood Education RRC Polytech Program Explorer Early Childhood Education Programs In Louisiana Picard la 4 early childhood program is the primary. the early childhood programs at lsu are designed in alignment with the national association for the education of young. earn your bachelor’s degree in early childhood education from lsus and prepare to head confidently into the classroom. By empowering families with choice and raising the bar for all early. Early Childhood Education Programs In Louisiana.
From www.slideserve.com
PPT EARLY CHILDHOOD EDUCATION PROGRAM PowerPoint Presentation, free download ID776406 Early Childhood Education Programs In Louisiana louisiana’s publicly funded early care and education programs for children under age 4 are (1) head start (hs) programs, (2) early. Picard la 4 early childhood program. the early childhood programs at lsu are designed in alignment with the national association for the education of young. earn your bachelor’s degree in early childhood education from lsus and. Early Childhood Education Programs In Louisiana.
From educationinindia.in
Top Early Childhood Education Programs Guide Early Childhood Education Programs In Louisiana Picard la 4 early childhood program. louisiana offers various early childhood education degree programs to suit your needs and aspirations. earn your bachelor’s degree in early childhood education from lsus and prepare to head confidently into the classroom. louisiana’s publicly funded early care and education programs for children under age 4 are (1) head start (hs) programs,. Early Childhood Education Programs In Louisiana.
From earlychildhoodeducationdegree.org
Early Childhood Education Degrees In New Orleans, Louisiana Early Childhood Education Degree Early Childhood Education Programs In Louisiana earn your bachelor’s degree in early childhood education from lsus and prepare to head confidently into the classroom. Picard la 4 early childhood program is the primary. louisiana’s publicly funded early care and education programs for children under age 4 are (1) head start (hs) programs, (2) early. Picard la 4 early childhood program. louisiana offers various. Early Childhood Education Programs In Louisiana.
From www.pinterest.com
Online registration for NAEYC's 2015 National Institute for Early Childhood Professional Devel Early Childhood Education Programs In Louisiana Picard la 4 early childhood program is the primary. By empowering families with choice and raising the bar for all early childhood programs, louisiana. louisiana’s publicly funded early care and education programs for children under age 4 are (1) head start (hs) programs, (2) early. the early childhood programs at lsu are designed in alignment with the national. Early Childhood Education Programs In Louisiana.
From louisianaradionetwork.com
Louisiana Legislature makes historic investment towards early childhood education Early Childhood Education Programs In Louisiana louisiana’s publicly funded early care and education programs for children under age 4 are (1) head start (hs) programs, (2) early. earn your bachelor’s degree in early childhood education from lsus and prepare to head confidently into the classroom. Picard la 4 early childhood program is the primary. By empowering families with choice and raising the bar for. Early Childhood Education Programs In Louisiana.
From www.boricuacollege.edu
Childhood Education Program — Boricua College Early Childhood Education Programs In Louisiana louisiana’s publicly funded early care and education programs for children under age 4 are (1) head start (hs) programs, (2) early. the early childhood programs at lsu are designed in alignment with the national association for the education of young. Picard la 4 early childhood program is the primary. earn your bachelor’s degree in early childhood education. Early Childhood Education Programs In Louisiana.
From bharti-axagi.co.in
Early Childhood Education 2024 Offered Courses, Eligibility, Benefits, Job Options & More Early Childhood Education Programs In Louisiana Picard la 4 early childhood program is the primary. Picard la 4 early childhood program. louisiana offers various early childhood education degree programs to suit your needs and aspirations. By empowering families with choice and raising the bar for all early childhood programs, louisiana. earn your bachelor’s degree in early childhood education from lsus and prepare to head. Early Childhood Education Programs In Louisiana.
From www.robeson.edu
RCC’s Early Childhood Education program selected to participate in National Project with UNC Early Childhood Education Programs In Louisiana By empowering families with choice and raising the bar for all early childhood programs, louisiana. louisiana’s publicly funded early care and education programs for children under age 4 are (1) head start (hs) programs, (2) early. earn your bachelor’s degree in early childhood education from lsus and prepare to head confidently into the classroom. Picard la 4 early. Early Childhood Education Programs In Louisiana.
From www.tandfonline.com
Teacher Education and the Quality of TeacherChild Interactions New Evidence from the Universe Early Childhood Education Programs In Louisiana louisiana’s publicly funded early care and education programs for children under age 4 are (1) head start (hs) programs, (2) early. louisiana offers various early childhood education degree programs to suit your needs and aspirations. the early childhood programs at lsu are designed in alignment with the national association for the education of young. Picard la 4. Early Childhood Education Programs In Louisiana.
From storymaps.arcgis.com
Early Childhood Education in New Orleans Early Childhood Education Programs In Louisiana louisiana offers various early childhood education degree programs to suit your needs and aspirations. earn your bachelor’s degree in early childhood education from lsus and prepare to head confidently into the classroom. louisiana’s publicly funded early care and education programs for children under age 4 are (1) head start (hs) programs, (2) early. the early childhood. Early Childhood Education Programs In Louisiana.