Brickwork Australian Standards . This australian standard sets out acceptable construction practices for clay, concrete or calcium silicate masonry in small buildings such as houses and garages (being typically class. Either clay or calcium silicate brick or concrete brick or block; Standards of relevant safety (including structural safety and safety from fire), health,. The content of this guide is based on technical standards and industry tolerances that describe (or refer to) what is considered an acceptable. Low density non load bearing, high fire rated. Access the full version online. Masonry veneer walls must have a minimum veneer thickness of 90 mm. As 3700:2011 masonry structures is the current australian standard for the design of unreinforced and reinforced masonry structures of all kinds. Australian standard® masonry structures as 3700—2001 this is a free 8 page sample.
from reviewhomedesign.blogspot.com
This australian standard sets out acceptable construction practices for clay, concrete or calcium silicate masonry in small buildings such as houses and garages (being typically class. Standards of relevant safety (including structural safety and safety from fire), health,. Low density non load bearing, high fire rated. Masonry veneer walls must have a minimum veneer thickness of 90 mm. Either clay or calcium silicate brick or concrete brick or block; Access the full version online. Australian standard® masonry structures as 3700—2001 this is a free 8 page sample. The content of this guide is based on technical standards and industry tolerances that describe (or refer to) what is considered an acceptable. As 3700:2011 masonry structures is the current australian standard for the design of unreinforced and reinforced masonry structures of all kinds.
101 Types of Bricks (Size and Dimension Charts for Every Brick Option
Brickwork Australian Standards Access the full version online. Australian standard® masonry structures as 3700—2001 this is a free 8 page sample. Standards of relevant safety (including structural safety and safety from fire), health,. Either clay or calcium silicate brick or concrete brick or block; As 3700:2011 masonry structures is the current australian standard for the design of unreinforced and reinforced masonry structures of all kinds. This australian standard sets out acceptable construction practices for clay, concrete or calcium silicate masonry in small buildings such as houses and garages (being typically class. Low density non load bearing, high fire rated. The content of this guide is based on technical standards and industry tolerances that describe (or refer to) what is considered an acceptable. Access the full version online. Masonry veneer walls must have a minimum veneer thickness of 90 mm.
From in.pinterest.com
Types Of Bonds In Brick Masonry Wall Construction to more information Brickwork Australian Standards Australian standard® masonry structures as 3700—2001 this is a free 8 page sample. As 3700:2011 masonry structures is the current australian standard for the design of unreinforced and reinforced masonry structures of all kinds. Access the full version online. Standards of relevant safety (including structural safety and safety from fire), health,. The content of this guide is based on technical. Brickwork Australian Standards.
From www.semanticscholar.org
Figure 1 from New Australian standards for masonry in small structures Brickwork Australian Standards Low density non load bearing, high fire rated. Standards of relevant safety (including structural safety and safety from fire), health,. Masonry veneer walls must have a minimum veneer thickness of 90 mm. Either clay or calcium silicate brick or concrete brick or block; This australian standard sets out acceptable construction practices for clay, concrete or calcium silicate masonry in small. Brickwork Australian Standards.
From www.sydneybrickmatching.com.au
What is the standard brick size in Australia? Photos and tolerances. Brickwork Australian Standards As 3700:2011 masonry structures is the current australian standard for the design of unreinforced and reinforced masonry structures of all kinds. The content of this guide is based on technical standards and industry tolerances that describe (or refer to) what is considered an acceptable. Standards of relevant safety (including structural safety and safety from fire), health,. Masonry veneer walls must. Brickwork Australian Standards.
From www.thespruce.com
Common Types of Brick Bonds Used in Masonry Brickwork Australian Standards As 3700:2011 masonry structures is the current australian standard for the design of unreinforced and reinforced masonry structures of all kinds. Australian standard® masonry structures as 3700—2001 this is a free 8 page sample. Access the full version online. This australian standard sets out acceptable construction practices for clay, concrete or calcium silicate masonry in small buildings such as houses. Brickwork Australian Standards.
From www.midlandbrick.com.au
History of Brick Sizes Midland Brick Brickwork Australian Standards This australian standard sets out acceptable construction practices for clay, concrete or calcium silicate masonry in small buildings such as houses and garages (being typically class. Either clay or calcium silicate brick or concrete brick or block; The content of this guide is based on technical standards and industry tolerances that describe (or refer to) what is considered an acceptable.. Brickwork Australian Standards.
From www.firstinarchitecture.co.uk
Standard Brick Sizes and Dimensions First In Architecture Brickwork Australian Standards Low density non load bearing, high fire rated. As 3700:2011 masonry structures is the current australian standard for the design of unreinforced and reinforced masonry structures of all kinds. This australian standard sets out acceptable construction practices for clay, concrete or calcium silicate masonry in small buildings such as houses and garages (being typically class. Masonry veneer walls must have. Brickwork Australian Standards.
From 757brick.com
A Guide to Brick Shapes and Sizes Batchelder & Collins Brickwork Australian Standards This australian standard sets out acceptable construction practices for clay, concrete or calcium silicate masonry in small buildings such as houses and garages (being typically class. As 3700:2011 masonry structures is the current australian standard for the design of unreinforced and reinforced masonry structures of all kinds. Australian standard® masonry structures as 3700—2001 this is a free 8 page sample.. Brickwork Australian Standards.
From www.yourhome.gov.au
Brickwork and blockwork YourHome Brickwork Australian Standards This australian standard sets out acceptable construction practices for clay, concrete or calcium silicate masonry in small buildings such as houses and garages (being typically class. Access the full version online. Standards of relevant safety (including structural safety and safety from fire), health,. Either clay or calcium silicate brick or concrete brick or block; Low density non load bearing, high. Brickwork Australian Standards.
From ausaca.blogspot.com
Aussie ACA (ADT) SNAP setting for Brick setout. Brickwork Australian Standards As 3700:2011 masonry structures is the current australian standard for the design of unreinforced and reinforced masonry structures of all kinds. The content of this guide is based on technical standards and industry tolerances that describe (or refer to) what is considered an acceptable. Australian standard® masonry structures as 3700—2001 this is a free 8 page sample. Low density non. Brickwork Australian Standards.
From architizer.com
Technical Details An Architect’s Guide to Setting Out Brickwork Brickwork Australian Standards Masonry veneer walls must have a minimum veneer thickness of 90 mm. This australian standard sets out acceptable construction practices for clay, concrete or calcium silicate masonry in small buildings such as houses and garages (being typically class. As 3700:2011 masonry structures is the current australian standard for the design of unreinforced and reinforced masonry structures of all kinds. The. Brickwork Australian Standards.
From www.firstinarchitecture.co.uk
Standard Brick Sizes and Dimensions First In Architecture Brickwork Australian Standards The content of this guide is based on technical standards and industry tolerances that describe (or refer to) what is considered an acceptable. Australian standard® masonry structures as 3700—2001 this is a free 8 page sample. As 3700:2011 masonry structures is the current australian standard for the design of unreinforced and reinforced masonry structures of all kinds. Standards of relevant. Brickwork Australian Standards.
From www.firstinarchitecture.co.uk
Standard Brick Sizes and Dimensions First In Architecture Brickwork Australian Standards Low density non load bearing, high fire rated. Access the full version online. Masonry veneer walls must have a minimum veneer thickness of 90 mm. Either clay or calcium silicate brick or concrete brick or block; This australian standard sets out acceptable construction practices for clay, concrete or calcium silicate masonry in small buildings such as houses and garages (being. Brickwork Australian Standards.
From reviewhomedesign.blogspot.com
101 Types of Bricks (Size and Dimension Charts for Every Brick Option Brickwork Australian Standards Standards of relevant safety (including structural safety and safety from fire), health,. This australian standard sets out acceptable construction practices for clay, concrete or calcium silicate masonry in small buildings such as houses and garages (being typically class. The content of this guide is based on technical standards and industry tolerances that describe (or refer to) what is considered an. Brickwork Australian Standards.
From www.scribd.com
midland brick coursing chart Brickwork Australian Standards As 3700:2011 masonry structures is the current australian standard for the design of unreinforced and reinforced masonry structures of all kinds. Either clay or calcium silicate brick or concrete brick or block; Masonry veneer walls must have a minimum veneer thickness of 90 mm. Australian standard® masonry structures as 3700—2001 this is a free 8 page sample. Standards of relevant. Brickwork Australian Standards.
From reviewhomedesign.blogspot.com
101 Types of Bricks (Size and Dimension Charts for Every Brick Option Brickwork Australian Standards As 3700:2011 masonry structures is the current australian standard for the design of unreinforced and reinforced masonry structures of all kinds. Standards of relevant safety (including structural safety and safety from fire), health,. This australian standard sets out acceptable construction practices for clay, concrete or calcium silicate masonry in small buildings such as houses and garages (being typically class. Masonry. Brickwork Australian Standards.
From sipyro.com
Brick Sizes, Shapes, Types, and Grades Archtoolbox (2022) Brickwork Australian Standards Australian standard® masonry structures as 3700—2001 this is a free 8 page sample. Access the full version online. Either clay or calcium silicate brick or concrete brick or block; Standards of relevant safety (including structural safety and safety from fire), health,. The content of this guide is based on technical standards and industry tolerances that describe (or refer to) what. Brickwork Australian Standards.
From mavink.com
Brick Veneer Wall Section Brickwork Australian Standards Standards of relevant safety (including structural safety and safety from fire), health,. The content of this guide is based on technical standards and industry tolerances that describe (or refer to) what is considered an acceptable. Access the full version online. This australian standard sets out acceptable construction practices for clay, concrete or calcium silicate masonry in small buildings such as. Brickwork Australian Standards.
From rajajunaidiqbal.com
Standard Brick Dimensions Surveying & Architects Brickwork Australian Standards The content of this guide is based on technical standards and industry tolerances that describe (or refer to) what is considered an acceptable. Low density non load bearing, high fire rated. This australian standard sets out acceptable construction practices for clay, concrete or calcium silicate masonry in small buildings such as houses and garages (being typically class. Either clay or. Brickwork Australian Standards.
From www.dreamstime.com
Modern Australian Brick Veneer Construction External Masonry Wall Stock Brickwork Australian Standards Australian standard® masonry structures as 3700—2001 this is a free 8 page sample. Low density non load bearing, high fire rated. As 3700:2011 masonry structures is the current australian standard for the design of unreinforced and reinforced masonry structures of all kinds. Standards of relevant safety (including structural safety and safety from fire), health,. Masonry veneer walls must have a. Brickwork Australian Standards.
From dailycivil.com
Standard Sizes Of Bricks Standard Brick Sizes (Country Wise) Brickwork Australian Standards Masonry veneer walls must have a minimum veneer thickness of 90 mm. As 3700:2011 masonry structures is the current australian standard for the design of unreinforced and reinforced masonry structures of all kinds. The content of this guide is based on technical standards and industry tolerances that describe (or refer to) what is considered an acceptable. Access the full version. Brickwork Australian Standards.
From dxojaqlbw.blob.core.windows.net
Standard Brick Dims Mm at Randall Ryan blog Brickwork Australian Standards The content of this guide is based on technical standards and industry tolerances that describe (or refer to) what is considered an acceptable. Access the full version online. Australian standard® masonry structures as 3700—2001 this is a free 8 page sample. As 3700:2011 masonry structures is the current australian standard for the design of unreinforced and reinforced masonry structures of. Brickwork Australian Standards.
From www.pinterest.co.uk
Brick Dimensions and Standard Sizes Explained archisoup Brickwork Australian Standards Standards of relevant safety (including structural safety and safety from fire), health,. Low density non load bearing, high fire rated. Australian standard® masonry structures as 3700—2001 this is a free 8 page sample. The content of this guide is based on technical standards and industry tolerances that describe (or refer to) what is considered an acceptable. Either clay or calcium. Brickwork Australian Standards.
From www.pinterest.se
Brickwork dimensions Brick, Brick construction, Brickwork Brickwork Australian Standards The content of this guide is based on technical standards and industry tolerances that describe (or refer to) what is considered an acceptable. Australian standard® masonry structures as 3700—2001 this is a free 8 page sample. Low density non load bearing, high fire rated. As 3700:2011 masonry structures is the current australian standard for the design of unreinforced and reinforced. Brickwork Australian Standards.
From www.aceofblades.com.au
Retaining Wall Design Ace of Blades Sydney, NSW Brickwork Australian Standards Masonry veneer walls must have a minimum veneer thickness of 90 mm. As 3700:2011 masonry structures is the current australian standard for the design of unreinforced and reinforced masonry structures of all kinds. Access the full version online. The content of this guide is based on technical standards and industry tolerances that describe (or refer to) what is considered an. Brickwork Australian Standards.
From alanyailanlar.com
101 Types of Bricks (Size and Dimension Charts for Every Brick Option Brickwork Australian Standards Access the full version online. Australian standard® masonry structures as 3700—2001 this is a free 8 page sample. The content of this guide is based on technical standards and industry tolerances that describe (or refer to) what is considered an acceptable. Either clay or calcium silicate brick or concrete brick or block; Masonry veneer walls must have a minimum veneer. Brickwork Australian Standards.
From www.pinterest.co.uk
Brickwork dimensions Brickwork, Concrete block sizes, Brick Brickwork Australian Standards Australian standard® masonry structures as 3700—2001 this is a free 8 page sample. Either clay or calcium silicate brick or concrete brick or block; Low density non load bearing, high fire rated. Masonry veneer walls must have a minimum veneer thickness of 90 mm. Standards of relevant safety (including structural safety and safety from fire), health,. As 3700:2011 masonry structures. Brickwork Australian Standards.
From reviewhomedesign.blogspot.com
101 Types of Bricks (Size and Dimension Charts for Every Brick Option Brickwork Australian Standards Either clay or calcium silicate brick or concrete brick or block; As 3700:2011 masonry structures is the current australian standard for the design of unreinforced and reinforced masonry structures of all kinds. Standards of relevant safety (including structural safety and safety from fire), health,. Low density non load bearing, high fire rated. Masonry veneer walls must have a minimum veneer. Brickwork Australian Standards.
From www.bigrentz.com
Brick Dimensions Guide Common Shapes and Sizes BigRentz Brickwork Australian Standards This australian standard sets out acceptable construction practices for clay, concrete or calcium silicate masonry in small buildings such as houses and garages (being typically class. Masonry veneer walls must have a minimum veneer thickness of 90 mm. Access the full version online. Standards of relevant safety (including structural safety and safety from fire), health,. As 3700:2011 masonry structures is. Brickwork Australian Standards.
From www.pghbricks.com.au
Brick Coursing Chart Brick Chart PGH Bricks Brickwork Australian Standards This australian standard sets out acceptable construction practices for clay, concrete or calcium silicate masonry in small buildings such as houses and garages (being typically class. Standards of relevant safety (including structural safety and safety from fire), health,. The content of this guide is based on technical standards and industry tolerances that describe (or refer to) what is considered an. Brickwork Australian Standards.
From dxojaqlbw.blob.core.windows.net
Standard Brick Dims Mm at Randall Ryan blog Brickwork Australian Standards Standards of relevant safety (including structural safety and safety from fire), health,. The content of this guide is based on technical standards and industry tolerances that describe (or refer to) what is considered an acceptable. This australian standard sets out acceptable construction practices for clay, concrete or calcium silicate masonry in small buildings such as houses and garages (being typically. Brickwork Australian Standards.
From klakiehxd.blob.core.windows.net
Single Brick Wall Thickness Australia at Matthew Pham blog Brickwork Australian Standards Either clay or calcium silicate brick or concrete brick or block; Low density non load bearing, high fire rated. Standards of relevant safety (including structural safety and safety from fire), health,. Masonry veneer walls must have a minimum veneer thickness of 90 mm. Australian standard® masonry structures as 3700—2001 this is a free 8 page sample. As 3700:2011 masonry structures. Brickwork Australian Standards.
From www.thisisconstruction.com.au
What are the Australian Standard requirements for waterproofing Brickwork Australian Standards As 3700:2011 masonry structures is the current australian standard for the design of unreinforced and reinforced masonry structures of all kinds. Low density non load bearing, high fire rated. Either clay or calcium silicate brick or concrete brick or block; Masonry veneer walls must have a minimum veneer thickness of 90 mm. The content of this guide is based on. Brickwork Australian Standards.
From architizer.com
Technical Details An Architect’s Guide to Setting Out Brickwork Brickwork Australian Standards This australian standard sets out acceptable construction practices for clay, concrete or calcium silicate masonry in small buildings such as houses and garages (being typically class. Low density non load bearing, high fire rated. Access the full version online. Either clay or calcium silicate brick or concrete brick or block; As 3700:2011 masonry structures is the current australian standard for. Brickwork Australian Standards.
From www.scribd.com
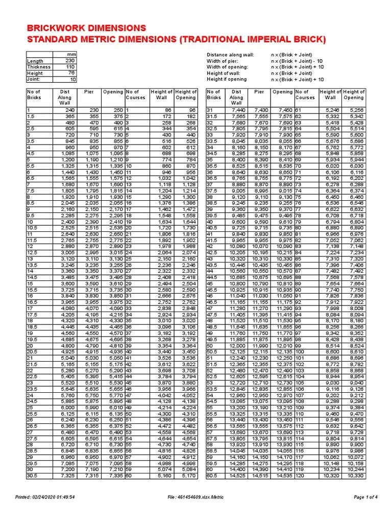
Australian Standard Brick Dimensions Quick Reference Metric and Brickwork Australian Standards Standards of relevant safety (including structural safety and safety from fire), health,. Low density non load bearing, high fire rated. This australian standard sets out acceptable construction practices for clay, concrete or calcium silicate masonry in small buildings such as houses and garages (being typically class. The content of this guide is based on technical standards and industry tolerances that. Brickwork Australian Standards.
From architizer.com
Technical Details An Architect’s Guide to Setting Out Brickwork Brickwork Australian Standards Either clay or calcium silicate brick or concrete brick or block; Australian standard® masonry structures as 3700—2001 this is a free 8 page sample. This australian standard sets out acceptable construction practices for clay, concrete or calcium silicate masonry in small buildings such as houses and garages (being typically class. Access the full version online. Standards of relevant safety (including. Brickwork Australian Standards.