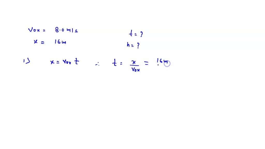
A Soccer Ball Is Kicked Horizontally Off A 22 . The ball lands 35.0 meters away from. In this question we have given a soccer ball that is kicked horizontally of a 22 meter high hill and lands at. Predict the time required for the. We need to find the initial horizontal velocity of a soccer ball that is kicked off a hill.
from www.chegg.com
The ball lands 35.0 meters away from. We need to find the initial horizontal velocity of a soccer ball that is kicked off a hill. In this question we have given a soccer ball that is kicked horizontally of a 22 meter high hill and lands at. Predict the time required for the.
Solved A soccer ball is kicked horizontally off a 15.0 m
A Soccer Ball Is Kicked Horizontally Off A 22 The ball lands 35.0 meters away from. The ball lands 35.0 meters away from. In this question we have given a soccer ball that is kicked horizontally of a 22 meter high hill and lands at. Predict the time required for the. We need to find the initial horizontal velocity of a soccer ball that is kicked off a hill.
From www.numerade.com
SOLVED A soccer ball is kicked from a platform that is IOm above the A Soccer Ball Is Kicked Horizontally Off A 22 The ball lands 35.0 meters away from. We need to find the initial horizontal velocity of a soccer ball that is kicked off a hill. In this question we have given a soccer ball that is kicked horizontally of a 22 meter high hill and lands at. Predict the time required for the. A Soccer Ball Is Kicked Horizontally Off A 22.
From www.chegg.com
Solved A soccer ball is kicked horizontally off a 15.0 m A Soccer Ball Is Kicked Horizontally Off A 22 Predict the time required for the. In this question we have given a soccer ball that is kicked horizontally of a 22 meter high hill and lands at. The ball lands 35.0 meters away from. We need to find the initial horizontal velocity of a soccer ball that is kicked off a hill. A Soccer Ball Is Kicked Horizontally Off A 22.
From www.gauthmath.com
Solved 3. A soccer ball is kicked horizontally off a 22.0m[algebra A Soccer Ball Is Kicked Horizontally Off A 22 The ball lands 35.0 meters away from. Predict the time required for the. We need to find the initial horizontal velocity of a soccer ball that is kicked off a hill. In this question we have given a soccer ball that is kicked horizontally of a 22 meter high hill and lands at. A Soccer Ball Is Kicked Horizontally Off A 22.
From www.numerade.com
SOLVED A soccer ball is kicked horizontally off a 25 m high cliff and A Soccer Ball Is Kicked Horizontally Off A 22 In this question we have given a soccer ball that is kicked horizontally of a 22 meter high hill and lands at. The ball lands 35.0 meters away from. We need to find the initial horizontal velocity of a soccer ball that is kicked off a hill. Predict the time required for the. A Soccer Ball Is Kicked Horizontally Off A 22.
From www.youtube.com
A football is kicked at ground level with a speed at 18.0 m/s at an A Soccer Ball Is Kicked Horizontally Off A 22 The ball lands 35.0 meters away from. We need to find the initial horizontal velocity of a soccer ball that is kicked off a hill. In this question we have given a soccer ball that is kicked horizontally of a 22 meter high hill and lands at. Predict the time required for the. A Soccer Ball Is Kicked Horizontally Off A 22.
From www.chegg.com
Solved Review Constants Part A A soccer ball is kicked A Soccer Ball Is Kicked Horizontally Off A 22 Predict the time required for the. In this question we have given a soccer ball that is kicked horizontally of a 22 meter high hill and lands at. We need to find the initial horizontal velocity of a soccer ball that is kicked off a hill. The ball lands 35.0 meters away from. A Soccer Ball Is Kicked Horizontally Off A 22.
From www.numerade.com
SOLVED A soccer ball is kicked horizontally off a 22.0meter high hill A Soccer Ball Is Kicked Horizontally Off A 22 In this question we have given a soccer ball that is kicked horizontally of a 22 meter high hill and lands at. Predict the time required for the. We need to find the initial horizontal velocity of a soccer ball that is kicked off a hill. The ball lands 35.0 meters away from. A Soccer Ball Is Kicked Horizontally Off A 22.
From www.chegg.com
Solved 3. Suppose a soccer ball is kicked from ground level A Soccer Ball Is Kicked Horizontally Off A 22 We need to find the initial horizontal velocity of a soccer ball that is kicked off a hill. The ball lands 35.0 meters away from. Predict the time required for the. In this question we have given a soccer ball that is kicked horizontally of a 22 meter high hill and lands at. A Soccer Ball Is Kicked Horizontally Off A 22.
From brainly.com
A soccer ball is kicked horizontally off a 22 m high hill and lands a A Soccer Ball Is Kicked Horizontally Off A 22 In this question we have given a soccer ball that is kicked horizontally of a 22 meter high hill and lands at. Predict the time required for the. The ball lands 35.0 meters away from. We need to find the initial horizontal velocity of a soccer ball that is kicked off a hill. A Soccer Ball Is Kicked Horizontally Off A 22.
From www.chegg.com
Solved A ball is kicked horizontally off the edge of a A Soccer Ball Is Kicked Horizontally Off A 22 The ball lands 35.0 meters away from. We need to find the initial horizontal velocity of a soccer ball that is kicked off a hill. Predict the time required for the. In this question we have given a soccer ball that is kicked horizontally of a 22 meter high hill and lands at. A Soccer Ball Is Kicked Horizontally Off A 22.
From www.numerade.com
SOLVED A soccer ball is kicked horizontally off a 22.0meter high hill A Soccer Ball Is Kicked Horizontally Off A 22 Predict the time required for the. We need to find the initial horizontal velocity of a soccer ball that is kicked off a hill. In this question we have given a soccer ball that is kicked horizontally of a 22 meter high hill and lands at. The ball lands 35.0 meters away from. A Soccer Ball Is Kicked Horizontally Off A 22.
From www.numerade.com
SOLVED A soccer ball kicked horizontally off of a cliff with an A Soccer Ball Is Kicked Horizontally Off A 22 The ball lands 35.0 meters away from. Predict the time required for the. In this question we have given a soccer ball that is kicked horizontally of a 22 meter high hill and lands at. We need to find the initial horizontal velocity of a soccer ball that is kicked off a hill. A Soccer Ball Is Kicked Horizontally Off A 22.
From www.numerade.com
SOLVED A soccer ball is kicked horizontally off a cliff with an A Soccer Ball Is Kicked Horizontally Off A 22 We need to find the initial horizontal velocity of a soccer ball that is kicked off a hill. Predict the time required for the. The ball lands 35.0 meters away from. In this question we have given a soccer ball that is kicked horizontally of a 22 meter high hill and lands at. A Soccer Ball Is Kicked Horizontally Off A 22.
From www.numerade.com
SOLVED A soccer ball is kicked horizontally off a 22.0meter high hill A Soccer Ball Is Kicked Horizontally Off A 22 In this question we have given a soccer ball that is kicked horizontally of a 22 meter high hill and lands at. We need to find the initial horizontal velocity of a soccer ball that is kicked off a hill. The ball lands 35.0 meters away from. Predict the time required for the. A Soccer Ball Is Kicked Horizontally Off A 22.
From www.numerade.com
SOLVED A kicked soccer ball leaves the ground with an initial velocity A Soccer Ball Is Kicked Horizontally Off A 22 Predict the time required for the. The ball lands 35.0 meters away from. In this question we have given a soccer ball that is kicked horizontally of a 22 meter high hill and lands at. We need to find the initial horizontal velocity of a soccer ball that is kicked off a hill. A Soccer Ball Is Kicked Horizontally Off A 22.
From www.numerade.com
SOLVED A soccer ball is kicked HORIZONTALLY off the edge of a cliff 12 A Soccer Ball Is Kicked Horizontally Off A 22 We need to find the initial horizontal velocity of a soccer ball that is kicked off a hill. The ball lands 35.0 meters away from. Predict the time required for the. In this question we have given a soccer ball that is kicked horizontally of a 22 meter high hill and lands at. A Soccer Ball Is Kicked Horizontally Off A 22.
From www.numerade.com
SOLVED Show your solution A soccer ball is kicked horizontally off a A Soccer Ball Is Kicked Horizontally Off A 22 In this question we have given a soccer ball that is kicked horizontally of a 22 meter high hill and lands at. We need to find the initial horizontal velocity of a soccer ball that is kicked off a hill. Predict the time required for the. The ball lands 35.0 meters away from. A Soccer Ball Is Kicked Horizontally Off A 22.
From slideplayer.com
Projectile Motion. ppt download A Soccer Ball Is Kicked Horizontally Off A 22 Predict the time required for the. We need to find the initial horizontal velocity of a soccer ball that is kicked off a hill. The ball lands 35.0 meters away from. In this question we have given a soccer ball that is kicked horizontally of a 22 meter high hill and lands at. A Soccer Ball Is Kicked Horizontally Off A 22.
From poe.com
What is the initial horizontal velocity of a soccer ball kicked A Soccer Ball Is Kicked Horizontally Off A 22 We need to find the initial horizontal velocity of a soccer ball that is kicked off a hill. Predict the time required for the. The ball lands 35.0 meters away from. In this question we have given a soccer ball that is kicked horizontally of a 22 meter high hill and lands at. A Soccer Ball Is Kicked Horizontally Off A 22.
From www.chegg.com
Solved A soccer ball is kicked from the top of one building A Soccer Ball Is Kicked Horizontally Off A 22 In this question we have given a soccer ball that is kicked horizontally of a 22 meter high hill and lands at. The ball lands 35.0 meters away from. Predict the time required for the. We need to find the initial horizontal velocity of a soccer ball that is kicked off a hill. A Soccer Ball Is Kicked Horizontally Off A 22.
From www.numerade.com
SOLVED 'A soccer ball is kicked horizontally off a cliff with an A Soccer Ball Is Kicked Horizontally Off A 22 We need to find the initial horizontal velocity of a soccer ball that is kicked off a hill. In this question we have given a soccer ball that is kicked horizontally of a 22 meter high hill and lands at. The ball lands 35.0 meters away from. Predict the time required for the. A Soccer Ball Is Kicked Horizontally Off A 22.
From slideplayer.com
Projectile Motion. ppt download A Soccer Ball Is Kicked Horizontally Off A 22 The ball lands 35.0 meters away from. In this question we have given a soccer ball that is kicked horizontally of a 22 meter high hill and lands at. We need to find the initial horizontal velocity of a soccer ball that is kicked off a hill. Predict the time required for the. A Soccer Ball Is Kicked Horizontally Off A 22.
From brainly.ph
SOLVE THIS!1. A soccer ball is kicked horizontally of a 22meterhigh A Soccer Ball Is Kicked Horizontally Off A 22 We need to find the initial horizontal velocity of a soccer ball that is kicked off a hill. The ball lands 35.0 meters away from. In this question we have given a soccer ball that is kicked horizontally of a 22 meter high hill and lands at. Predict the time required for the. A Soccer Ball Is Kicked Horizontally Off A 22.
From brainly.ph
A soccer ball is kicked horizontally off a 22.0 meter high hill and A Soccer Ball Is Kicked Horizontally Off A 22 In this question we have given a soccer ball that is kicked horizontally of a 22 meter high hill and lands at. The ball lands 35.0 meters away from. Predict the time required for the. We need to find the initial horizontal velocity of a soccer ball that is kicked off a hill. A Soccer Ball Is Kicked Horizontally Off A 22.
From www.chegg.com
Solved A 0.560 kg soccer ball is kicked and hits a 2.8 kg A Soccer Ball Is Kicked Horizontally Off A 22 The ball lands 35.0 meters away from. We need to find the initial horizontal velocity of a soccer ball that is kicked off a hill. In this question we have given a soccer ball that is kicked horizontally of a 22 meter high hill and lands at. Predict the time required for the. A Soccer Ball Is Kicked Horizontally Off A 22.
From www.chegg.com
Solved A soccer ball is kicked horizontally at v0=13 m/s A Soccer Ball Is Kicked Horizontally Off A 22 We need to find the initial horizontal velocity of a soccer ball that is kicked off a hill. Predict the time required for the. The ball lands 35.0 meters away from. In this question we have given a soccer ball that is kicked horizontally of a 22 meter high hill and lands at. A Soccer Ball Is Kicked Horizontally Off A 22.
From www.chegg.com
Solved A soccer ball is kicked horizontally from the roof a A Soccer Ball Is Kicked Horizontally Off A 22 We need to find the initial horizontal velocity of a soccer ball that is kicked off a hill. Predict the time required for the. In this question we have given a soccer ball that is kicked horizontally of a 22 meter high hill and lands at. The ball lands 35.0 meters away from. A Soccer Ball Is Kicked Horizontally Off A 22.
From www.chegg.com
Solved 3) A soccer ball is kicked horizontally from a height A Soccer Ball Is Kicked Horizontally Off A 22 The ball lands 35.0 meters away from. We need to find the initial horizontal velocity of a soccer ball that is kicked off a hill. Predict the time required for the. In this question we have given a soccer ball that is kicked horizontally of a 22 meter high hill and lands at. A Soccer Ball Is Kicked Horizontally Off A 22.
From www.numerade.com
A soccer ball is kicked horizontally off a 22.0meter high hill and A Soccer Ball Is Kicked Horizontally Off A 22 Predict the time required for the. In this question we have given a soccer ball that is kicked horizontally of a 22 meter high hill and lands at. The ball lands 35.0 meters away from. We need to find the initial horizontal velocity of a soccer ball that is kicked off a hill. A Soccer Ball Is Kicked Horizontally Off A 22.
From slideplayer.com
Projectile Motion Horizontally ppt download A Soccer Ball Is Kicked Horizontally Off A 22 We need to find the initial horizontal velocity of a soccer ball that is kicked off a hill. In this question we have given a soccer ball that is kicked horizontally of a 22 meter high hill and lands at. Predict the time required for the. The ball lands 35.0 meters away from. A Soccer Ball Is Kicked Horizontally Off A 22.
From www.numerade.com
A soccer ball is kicked horizontally off a 22.0meter high hill and A Soccer Ball Is Kicked Horizontally Off A 22 The ball lands 35.0 meters away from. We need to find the initial horizontal velocity of a soccer ball that is kicked off a hill. Predict the time required for the. In this question we have given a soccer ball that is kicked horizontally of a 22 meter high hill and lands at. A Soccer Ball Is Kicked Horizontally Off A 22.
From www.numerade.com
SOLVED A soccer ball is kicked horizontally off a 22.0meter high hill A Soccer Ball Is Kicked Horizontally Off A 22 Predict the time required for the. In this question we have given a soccer ball that is kicked horizontally of a 22 meter high hill and lands at. We need to find the initial horizontal velocity of a soccer ball that is kicked off a hill. The ball lands 35.0 meters away from. A Soccer Ball Is Kicked Horizontally Off A 22.
From www.chegg.com
Solved A soccer ball is kicked along a flat portion of A Soccer Ball Is Kicked Horizontally Off A 22 In this question we have given a soccer ball that is kicked horizontally of a 22 meter high hill and lands at. The ball lands 35.0 meters away from. Predict the time required for the. We need to find the initial horizontal velocity of a soccer ball that is kicked off a hill. A Soccer Ball Is Kicked Horizontally Off A 22.
From www.numerade.com
SOLVED Need help ASAP!! A soccer ball is kicked from the ground. After A Soccer Ball Is Kicked Horizontally Off A 22 The ball lands 35.0 meters away from. Predict the time required for the. In this question we have given a soccer ball that is kicked horizontally of a 22 meter high hill and lands at. We need to find the initial horizontal velocity of a soccer ball that is kicked off a hill. A Soccer Ball Is Kicked Horizontally Off A 22.
From www.chegg.com
Solved A ball is rolled horizontally off of the edge of a A Soccer Ball Is Kicked Horizontally Off A 22 We need to find the initial horizontal velocity of a soccer ball that is kicked off a hill. In this question we have given a soccer ball that is kicked horizontally of a 22 meter high hill and lands at. Predict the time required for the. The ball lands 35.0 meters away from. A Soccer Ball Is Kicked Horizontally Off A 22.