Churchill County Building Permit . Taylor street suite 153 fallon, nv 89406. Click here to apply for a building permit. Churchill county administration 155 n. All land in churchill county is assigned a zoning district. The churchill county building department is responsible for issuing permits and the inspection of residential and commercial construction projects in the unincorporated areas of. Thank you for visiting our application portal, where you have. Quickly find building dept phone number, directions &. To see how your property is zoned, use the zone map app on the web maps page. Churchill county public works, planning, and building department. Information on zoning, county's water system, land use, building codes and permits and more from the churchill county public works,. A building permit allows the code official to ensure public health, safety, and welfare by reducing the potential hazards of unsafe construction. Looking for churchill county building department permits, zoning & inspections? To apply for a building permit, follow the link below to apply online:
from mungfali.com
Looking for churchill county building department permits, zoning & inspections? Information on zoning, county's water system, land use, building codes and permits and more from the churchill county public works,. Taylor street suite 153 fallon, nv 89406. To apply for a building permit, follow the link below to apply online: Quickly find building dept phone number, directions &. To see how your property is zoned, use the zone map app on the web maps page. The churchill county building department is responsible for issuing permits and the inspection of residential and commercial construction projects in the unincorporated areas of. Thank you for visiting our application portal, where you have. A building permit allows the code official to ensure public health, safety, and welfare by reducing the potential hazards of unsafe construction. All land in churchill county is assigned a zoning district.
Printable Building Permit Form
Churchill County Building Permit Thank you for visiting our application portal, where you have. To apply for a building permit, follow the link below to apply online: To see how your property is zoned, use the zone map app on the web maps page. Taylor street suite 153 fallon, nv 89406. Thank you for visiting our application portal, where you have. Churchill county administration 155 n. A building permit allows the code official to ensure public health, safety, and welfare by reducing the potential hazards of unsafe construction. Churchill county public works, planning, and building department. All land in churchill county is assigned a zoning district. The churchill county building department is responsible for issuing permits and the inspection of residential and commercial construction projects in the unincorporated areas of. Information on zoning, county's water system, land use, building codes and permits and more from the churchill county public works,. Quickly find building dept phone number, directions &. Click here to apply for a building permit. Looking for churchill county building department permits, zoning & inspections?
From www.thefallonpost.org
Churchill County has released the latest testing data available as of Churchill County Building Permit Churchill county administration 155 n. The churchill county building department is responsible for issuing permits and the inspection of residential and commercial construction projects in the unincorporated areas of. A building permit allows the code official to ensure public health, safety, and welfare by reducing the potential hazards of unsafe construction. To apply for a building permit, follow the link. Churchill County Building Permit.
From www.thefallonpost.org
Churchill County Board of Equalization Notice Churchill County Building Permit Click here to apply for a building permit. Churchill county public works, planning, and building department. Quickly find building dept phone number, directions &. Looking for churchill county building department permits, zoning & inspections? Taylor street suite 153 fallon, nv 89406. The churchill county building department is responsible for issuing permits and the inspection of residential and commercial construction projects. Churchill County Building Permit.
From www.awarch.com
Churchill County Law Enforcement Center Arrington Watkins Architects Churchill County Building Permit The churchill county building department is responsible for issuing permits and the inspection of residential and commercial construction projects in the unincorporated areas of. Information on zoning, county's water system, land use, building codes and permits and more from the churchill county public works,. To see how your property is zoned, use the zone map app on the web maps. Churchill County Building Permit.
From exygwgpxb.blob.core.windows.net
Lindale Tx Building Permits at Krista Mallard blog Churchill County Building Permit A building permit allows the code official to ensure public health, safety, and welfare by reducing the potential hazards of unsafe construction. To apply for a building permit, follow the link below to apply online: The churchill county building department is responsible for issuing permits and the inspection of residential and commercial construction projects in the unincorporated areas of. Thank. Churchill County Building Permit.
From www.thefallonpost.org
Churchill County Building Civic Center and Court Facilities Churchill County Building Permit The churchill county building department is responsible for issuing permits and the inspection of residential and commercial construction projects in the unincorporated areas of. To see how your property is zoned, use the zone map app on the web maps page. Churchill county administration 155 n. Quickly find building dept phone number, directions &. Looking for churchill county building department. Churchill County Building Permit.
From www.niche.com
2021 Best Places to Live in Churchill County, NV Niche Churchill County Building Permit The churchill county building department is responsible for issuing permits and the inspection of residential and commercial construction projects in the unincorporated areas of. A building permit allows the code official to ensure public health, safety, and welfare by reducing the potential hazards of unsafe construction. Churchill county administration 155 n. Information on zoning, county's water system, land use, building. Churchill County Building Permit.
From www.templateroller.com
Montgomery County, Maryland Application for Residential Building Permit Churchill County Building Permit Churchill county public works, planning, and building department. Looking for churchill county building department permits, zoning & inspections? Churchill county administration 155 n. Thank you for visiting our application portal, where you have. Quickly find building dept phone number, directions &. Click here to apply for a building permit. All land in churchill county is assigned a zoning district. The. Churchill County Building Permit.
From churchillcountynv.gov
Building Department Churchill County, NV Official site Churchill County Building Permit All land in churchill county is assigned a zoning district. The churchill county building department is responsible for issuing permits and the inspection of residential and commercial construction projects in the unincorporated areas of. Thank you for visiting our application portal, where you have. To see how your property is zoned, use the zone map app on the web maps. Churchill County Building Permit.
From cefgsmep.blob.core.windows.net
Waldwick New Jersey Building Permit at Sarah Klass blog Churchill County Building Permit To apply for a building permit, follow the link below to apply online: A building permit allows the code official to ensure public health, safety, and welfare by reducing the potential hazards of unsafe construction. The churchill county building department is responsible for issuing permits and the inspection of residential and commercial construction projects in the unincorporated areas of. Looking. Churchill County Building Permit.
From www.mapquest.com
Churchill County Building Department, 155 N Taylor St, Ste 110, Fallon Churchill County Building Permit All land in churchill county is assigned a zoning district. Thank you for visiting our application portal, where you have. Churchill county administration 155 n. Click here to apply for a building permit. Quickly find building dept phone number, directions &. Taylor street suite 153 fallon, nv 89406. A building permit allows the code official to ensure public health, safety,. Churchill County Building Permit.
From www.pdffiller.com
Building Permit Sample Fill Online, Printable, Fillable, Blank Churchill County Building Permit Taylor street suite 153 fallon, nv 89406. Quickly find building dept phone number, directions &. Click here to apply for a building permit. Looking for churchill county building department permits, zoning & inspections? To apply for a building permit, follow the link below to apply online: Thank you for visiting our application portal, where you have. Information on zoning, county's. Churchill County Building Permit.
From www.signnow.com
Complete with ease airSlate SignNow Churchill County Building Permit To see how your property is zoned, use the zone map app on the web maps page. Looking for churchill county building department permits, zoning & inspections? The churchill county building department is responsible for issuing permits and the inspection of residential and commercial construction projects in the unincorporated areas of. Taylor street suite 153 fallon, nv 89406. Quickly find. Churchill County Building Permit.
From www.templateroller.com
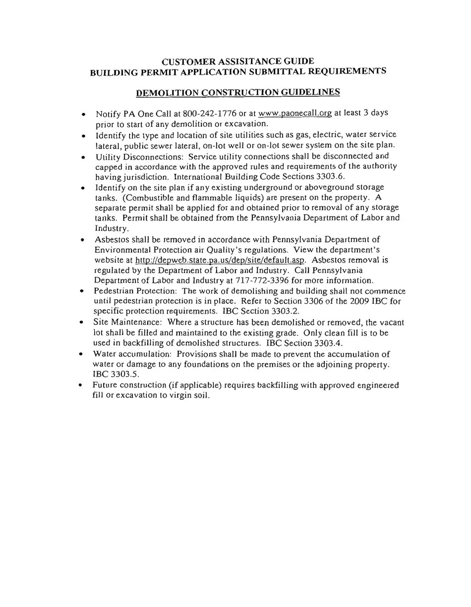
Borough of Churchill, Pennsylvania Demolition Permit Application Fill Churchill County Building Permit Thank you for visiting our application portal, where you have. Taylor street suite 153 fallon, nv 89406. Churchill county public works, planning, and building department. The churchill county building department is responsible for issuing permits and the inspection of residential and commercial construction projects in the unincorporated areas of. A building permit allows the code official to ensure public health,. Churchill County Building Permit.
From www.formsbank.com
Fillable Building Permit Application Form printable pdf download Churchill County Building Permit Thank you for visiting our application portal, where you have. Information on zoning, county's water system, land use, building codes and permits and more from the churchill county public works,. Churchill county public works, planning, and building department. Click here to apply for a building permit. The churchill county building department is responsible for issuing permits and the inspection of. Churchill County Building Permit.
From formspal.com
Blank Building Permit ≡ Fill Out Printable PDF Forms Online Churchill County Building Permit Information on zoning, county's water system, land use, building codes and permits and more from the churchill county public works,. Looking for churchill county building department permits, zoning & inspections? All land in churchill county is assigned a zoning district. Quickly find building dept phone number, directions &. Taylor street suite 153 fallon, nv 89406. Thank you for visiting our. Churchill County Building Permit.
From www.templateroller.com
Borough of Churchill, Pennsylvania Street Opening Permit Application Churchill County Building Permit To see how your property is zoned, use the zone map app on the web maps page. Churchill county public works, planning, and building department. To apply for a building permit, follow the link below to apply online: Quickly find building dept phone number, directions &. Churchill county administration 155 n. All land in churchill county is assigned a zoning. Churchill County Building Permit.
From www.honolulu.gov
Building Permits Churchill County Building Permit Information on zoning, county's water system, land use, building codes and permits and more from the churchill county public works,. Thank you for visiting our application portal, where you have. Taylor street suite 153 fallon, nv 89406. Looking for churchill county building department permits, zoning & inspections? All land in churchill county is assigned a zoning district. To see how. Churchill County Building Permit.
From www.mapquest.com
Churchill County Building Department, 155 N Taylor St, Ste 110, Fallon Churchill County Building Permit To apply for a building permit, follow the link below to apply online: Taylor street suite 153 fallon, nv 89406. Thank you for visiting our application portal, where you have. Information on zoning, county's water system, land use, building codes and permits and more from the churchill county public works,. Churchill county public works, planning, and building department. Quickly find. Churchill County Building Permit.
From www.templateroller.com
Borough of Churchill, Pennsylvania Street Opening Permit Application Churchill County Building Permit To see how your property is zoned, use the zone map app on the web maps page. A building permit allows the code official to ensure public health, safety, and welfare by reducing the potential hazards of unsafe construction. Looking for churchill county building department permits, zoning & inspections? Taylor street suite 153 fallon, nv 89406. Churchill county administration 155. Churchill County Building Permit.
From www.signnow.com
Weld County Building Department Form Fill Out and Sign Printable PDF Churchill County Building Permit Looking for churchill county building department permits, zoning & inspections? To apply for a building permit, follow the link below to apply online: The churchill county building department is responsible for issuing permits and the inspection of residential and commercial construction projects in the unincorporated areas of. A building permit allows the code official to ensure public health, safety, and. Churchill County Building Permit.
From www.templateroller.com
Borough of Churchill, Pennsylvania Demolition Permit Application Fill Churchill County Building Permit To apply for a building permit, follow the link below to apply online: Thank you for visiting our application portal, where you have. All land in churchill county is assigned a zoning district. Churchill county public works, planning, and building department. To see how your property is zoned, use the zone map app on the web maps page. Click here. Churchill County Building Permit.
From www.dochub.com
Brevard county permit search Fill out & sign online DocHub Churchill County Building Permit Churchill county public works, planning, and building department. Churchill county administration 155 n. Information on zoning, county's water system, land use, building codes and permits and more from the churchill county public works,. To apply for a building permit, follow the link below to apply online: The churchill county building department is responsible for issuing permits and the inspection of. Churchill County Building Permit.
From mungfali.com
Printable Building Permit Form Churchill County Building Permit Click here to apply for a building permit. All land in churchill county is assigned a zoning district. Churchill county public works, planning, and building department. Churchill county administration 155 n. Thank you for visiting our application portal, where you have. To apply for a building permit, follow the link below to apply online: Looking for churchill county building department. Churchill County Building Permit.
From www.signnow.com
Building Permit Template Complete with ease airSlate SignNow Churchill County Building Permit Churchill county public works, planning, and building department. To apply for a building permit, follow the link below to apply online: Click here to apply for a building permit. Churchill county administration 155 n. A building permit allows the code official to ensure public health, safety, and welfare by reducing the potential hazards of unsafe construction. To see how your. Churchill County Building Permit.
From www.pdffiller.com
Fillable Online CHURCHILL COUNTY BUILDING DEPARTMENT Fax Email Print Churchill County Building Permit Taylor street suite 153 fallon, nv 89406. To apply for a building permit, follow the link below to apply online: Click here to apply for a building permit. A building permit allows the code official to ensure public health, safety, and welfare by reducing the potential hazards of unsafe construction. Quickly find building dept phone number, directions &. Churchill county. Churchill County Building Permit.
From www.thefallonpost.org
Churchill County Commissioners Meeting Churchill County Building Permit Looking for churchill county building department permits, zoning & inspections? Taylor street suite 153 fallon, nv 89406. All land in churchill county is assigned a zoning district. Churchill county administration 155 n. A building permit allows the code official to ensure public health, safety, and welfare by reducing the potential hazards of unsafe construction. Thank you for visiting our application. Churchill County Building Permit.
From www.churchillcounty.org
Building Permit Churchill County, NV Official site Churchill County Building Permit Churchill county administration 155 n. Click here to apply for a building permit. Thank you for visiting our application portal, where you have. The churchill county building department is responsible for issuing permits and the inspection of residential and commercial construction projects in the unincorporated areas of. Quickly find building dept phone number, directions &. To apply for a building. Churchill County Building Permit.
From churchillcountynv.gov
Churchill County, NV Official site Official site Churchill County Building Permit All land in churchill county is assigned a zoning district. Click here to apply for a building permit. Churchill county administration 155 n. Churchill county public works, planning, and building department. To see how your property is zoned, use the zone map app on the web maps page. Quickly find building dept phone number, directions &. Taylor street suite 153. Churchill County Building Permit.
From www.cityofpa.us
Building Permits Port Angeles, WA Official site Churchill County Building Permit Churchill county public works, planning, and building department. To apply for a building permit, follow the link below to apply online: Churchill county administration 155 n. Click here to apply for a building permit. Thank you for visiting our application portal, where you have. All land in churchill county is assigned a zoning district. Looking for churchill county building department. Churchill County Building Permit.
From www.formsbank.com
Fillable Building Permit Application Form printable pdf download Churchill County Building Permit Looking for churchill county building department permits, zoning & inspections? Click here to apply for a building permit. The churchill county building department is responsible for issuing permits and the inspection of residential and commercial construction projects in the unincorporated areas of. Churchill county administration 155 n. Quickly find building dept phone number, directions &. To see how your property. Churchill County Building Permit.
From studylib.net
Building Permit Application Form Churchill County Building Permit Click here to apply for a building permit. Churchill county administration 155 n. Churchill county public works, planning, and building department. Thank you for visiting our application portal, where you have. Taylor street suite 153 fallon, nv 89406. To see how your property is zoned, use the zone map app on the web maps page. Quickly find building dept phone. Churchill County Building Permit.
From churchillcountynv.gov
Permits / Licenses Churchill County, NV Official site Churchill County Building Permit Thank you for visiting our application portal, where you have. Looking for churchill county building department permits, zoning & inspections? The churchill county building department is responsible for issuing permits and the inspection of residential and commercial construction projects in the unincorporated areas of. To see how your property is zoned, use the zone map app on the web maps. Churchill County Building Permit.
From fity.club
Building Permits Churchill County Building Permit Looking for churchill county building department permits, zoning & inspections? To apply for a building permit, follow the link below to apply online: A building permit allows the code official to ensure public health, safety, and welfare by reducing the potential hazards of unsafe construction. Churchill county public works, planning, and building department. All land in churchill county is assigned. Churchill County Building Permit.
From www.dochub.com
Building permit sample Fill out & sign online DocHub Churchill County Building Permit Click here to apply for a building permit. All land in churchill county is assigned a zoning district. Quickly find building dept phone number, directions &. Information on zoning, county's water system, land use, building codes and permits and more from the churchill county public works,. A building permit allows the code official to ensure public health, safety, and welfare. Churchill County Building Permit.
From studylib.net
Building Permit Application Churchill County Building Permit Looking for churchill county building department permits, zoning & inspections? Thank you for visiting our application portal, where you have. Churchill county administration 155 n. The churchill county building department is responsible for issuing permits and the inspection of residential and commercial construction projects in the unincorporated areas of. Information on zoning, county's water system, land use, building codes and. Churchill County Building Permit.