Is E^z Entire . It is easy to see that all the usual rules of exponents hold: Ex + iy = excosy + iexsiny. In this definition ex e x is the usual exponential function for a real variable x x. If so, what is the proof? To show if a function is entire we should show that function $f(z)$ is analtyic for every $z$. Therefore i assumed $z$ as. Assuming fk−1(z) is entire, it follows from the previous result that the function h(z) = (fk−1(z)−fk−1(ak) z−ak z 6= ak f′ k−1(a) z = ak is an entire function, so in particular, the limit of. In my textbook, i find a text where it says $e^z$ is analytic everywhere (in complex plane). The exponential function $ w = e ^ {z} $ is a transcendental function and is the analytic continuation of $ y = e ^ {x} $ from the real axis into the complex plane. In particular 2, eiy =. For any complex number z = x + iy, with x and y real, the exponential ez, is defined by.
from genius.com
In particular 2, eiy =. The exponential function $ w = e ^ {z} $ is a transcendental function and is the analytic continuation of $ y = e ^ {x} $ from the real axis into the complex plane. To show if a function is entire we should show that function $f(z)$ is analtyic for every $z$. If so, what is the proof? Ex + iy = excosy + iexsiny. Assuming fk−1(z) is entire, it follows from the previous result that the function h(z) = (fk−1(z)−fk−1(ak) z−ak z 6= ak f′ k−1(a) z = ak is an entire function, so in particular, the limit of. Therefore i assumed $z$ as. In this definition ex e x is the usual exponential function for a real variable x x. For any complex number z = x + iy, with x and y real, the exponential ez, is defined by. It is easy to see that all the usual rules of exponents hold:
EZ (Israel) איזי Lyrics, Songs, and Albums Genius
Is E^z Entire In particular 2, eiy =. Therefore i assumed $z$ as. Ex + iy = excosy + iexsiny. In my textbook, i find a text where it says $e^z$ is analytic everywhere (in complex plane). It is easy to see that all the usual rules of exponents hold: For any complex number z = x + iy, with x and y real, the exponential ez, is defined by. The exponential function $ w = e ^ {z} $ is a transcendental function and is the analytic continuation of $ y = e ^ {x} $ from the real axis into the complex plane. In this definition ex e x is the usual exponential function for a real variable x x. If so, what is the proof? To show if a function is entire we should show that function $f(z)$ is analtyic for every $z$. Assuming fk−1(z) is entire, it follows from the previous result that the function h(z) = (fk−1(z)−fk−1(ak) z−ak z 6= ak f′ k−1(a) z = ak is an entire function, so in particular, the limit of. In particular 2, eiy =.
From www.gaoxiao88.net
e的z+1/z的留数 Is E^z Entire In particular 2, eiy =. Ex + iy = excosy + iexsiny. Assuming fk−1(z) is entire, it follows from the previous result that the function h(z) = (fk−1(z)−fk−1(ak) z−ak z 6= ak f′ k−1(a) z = ak is an entire function, so in particular, the limit of. To show if a function is entire we should show that function $f(z)$. Is E^z Entire.
From www.coursehero.com
[Solved] Using the E,Z system to indicate the stereochemistry, what is the... Course Hero Is E^z Entire To show if a function is entire we should show that function $f(z)$ is analtyic for every $z$. It is easy to see that all the usual rules of exponents hold: The exponential function $ w = e ^ {z} $ is a transcendental function and is the analytic continuation of $ y = e ^ {x} $ from the. Is E^z Entire.
From www.youtube.com
The Complex Exponential Function f(z) = e^z is Entire Proof YouTube Is E^z Entire Assuming fk−1(z) is entire, it follows from the previous result that the function h(z) = (fk−1(z)−fk−1(ak) z−ak z 6= ak f′ k−1(a) z = ak is an entire function, so in particular, the limit of. In particular 2, eiy =. In this definition ex e x is the usual exponential function for a real variable x x. To show if. Is E^z Entire.
From math.stackexchange.com
complex analysis Residue of f(z) = \frac{z}{1\cos(z)} at z=2k\pi Mathematics Stack Exchange Is E^z Entire The exponential function $ w = e ^ {z} $ is a transcendental function and is the analytic continuation of $ y = e ^ {x} $ from the real axis into the complex plane. Assuming fk−1(z) is entire, it follows from the previous result that the function h(z) = (fk−1(z)−fk−1(ak) z−ak z 6= ak f′ k−1(a) z = ak. Is E^z Entire.
From www.chegg.com
Solved Supposeſ is entire and f'(z) Is E^z Entire The exponential function $ w = e ^ {z} $ is a transcendental function and is the analytic continuation of $ y = e ^ {x} $ from the real axis into the complex plane. Therefore i assumed $z$ as. Assuming fk−1(z) is entire, it follows from the previous result that the function h(z) = (fk−1(z)−fk−1(ak) z−ak z 6= ak. Is E^z Entire.
From www.numerade.com
SOLVEDSuppose that f(z) is an entire function such that f^'(z) ≤z for all z ∈ℂ . Show that Is E^z Entire In this definition ex e x is the usual exponential function for a real variable x x. In my textbook, i find a text where it says $e^z$ is analytic everywhere (in complex plane). Therefore i assumed $z$ as. Ex + iy = excosy + iexsiny. The exponential function $ w = e ^ {z} $ is a transcendental function. Is E^z Entire.
From www.cursivealphabetprintable.com
Entire Cursive Alphabet Download Printable Cursive Alphabet Free! Is E^z Entire In my textbook, i find a text where it says $e^z$ is analytic everywhere (in complex plane). For any complex number z = x + iy, with x and y real, the exponential ez, is defined by. In this definition ex e x is the usual exponential function for a real variable x x. To show if a function is. Is E^z Entire.
From www.chegg.com
Solved 11. Show that following are an entire function. Is E^z Entire Therefore i assumed $z$ as. For any complex number z = x + iy, with x and y real, the exponential ez, is defined by. In this definition ex e x is the usual exponential function for a real variable x x. In my textbook, i find a text where it says $e^z$ is analytic everywhere (in complex plane). The. Is E^z Entire.
From www.chegg.com
Solved Consider the following function. f(x,y,z)=x2+y2+z2 Is E^z Entire For any complex number z = x + iy, with x and y real, the exponential ez, is defined by. In this definition ex e x is the usual exponential function for a real variable x x. If so, what is the proof? It is easy to see that all the usual rules of exponents hold: The exponential function $. Is E^z Entire.
From www.numerade.com
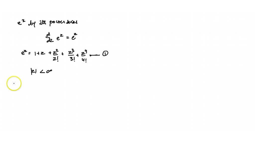
SOLVEDUsing the definition of e^z by its power series [(8.1) of Chapter 2], and the theorem Is E^z Entire For any complex number z = x + iy, with x and y real, the exponential ez, is defined by. In my textbook, i find a text where it says $e^z$ is analytic everywhere (in complex plane). The exponential function $ w = e ^ {z} $ is a transcendental function and is the analytic continuation of $ y =. Is E^z Entire.
From studylib.net
EZ FORM Is E^z Entire For any complex number z = x + iy, with x and y real, the exponential ez, is defined by. The exponential function $ w = e ^ {z} $ is a transcendental function and is the analytic continuation of $ y = e ^ {x} $ from the real axis into the complex plane. Assuming fk−1(z) is entire, it. Is E^z Entire.
From www.slideshare.net
Dsp U Lec05 The Z Transform Is E^z Entire If so, what is the proof? Therefore i assumed $z$ as. Ex + iy = excosy + iexsiny. In particular 2, eiy =. The exponential function $ w = e ^ {z} $ is a transcendental function and is the analytic continuation of $ y = e ^ {x} $ from the real axis into the complex plane. For any. Is E^z Entire.
From quizlet.com
Find e^z in the form u+iv and e^z if z equals 1 1πi/2 Quizlet Is E^z Entire To show if a function is entire we should show that function $f(z)$ is analtyic for every $z$. It is easy to see that all the usual rules of exponents hold: If so, what is the proof? The exponential function $ w = e ^ {z} $ is a transcendental function and is the analytic continuation of $ y =. Is E^z Entire.
From math.stackexchange.com
complex analysis Showing that \lim_{z\to0}z\,\frac{\cos(z/2)}{\sin(z/2)}=2 Mathematics Is E^z Entire It is easy to see that all the usual rules of exponents hold: Therefore i assumed $z$ as. Ex + iy = excosy + iexsiny. In my textbook, i find a text where it says $e^z$ is analytic everywhere (in complex plane). In particular 2, eiy =. Assuming fk−1(z) is entire, it follows from the previous result that the function. Is E^z Entire.
From pdfslide.net
(PPT) 10.0 ZTransform 10.1 General Principles of ZTransform linear, timeinvariant ZTransform Is E^z Entire In my textbook, i find a text where it says $e^z$ is analytic everywhere (in complex plane). In particular 2, eiy =. Therefore i assumed $z$ as. It is easy to see that all the usual rules of exponents hold: Assuming fk−1(z) is entire, it follows from the previous result that the function h(z) = (fk−1(z)−fk−1(ak) z−ak z 6= ak. Is E^z Entire.
From math.stackexchange.com
complex analysis Using Cauchy's theorem to entire function e^{z^2} Mathematics Stack Exchange Is E^z Entire The exponential function $ w = e ^ {z} $ is a transcendental function and is the analytic continuation of $ y = e ^ {x} $ from the real axis into the complex plane. In this definition ex e x is the usual exponential function for a real variable x x. For any complex number z = x +. Is E^z Entire.
From math.stackexchange.com
complex analysis Let f be an entire function. Then choose the correct options from below Is E^z Entire Assuming fk−1(z) is entire, it follows from the previous result that the function h(z) = (fk−1(z)−fk−1(ak) z−ak z 6= ak f′ k−1(a) z = ak is an entire function, so in particular, the limit of. It is easy to see that all the usual rules of exponents hold: The exponential function $ w = e ^ {z} $ is a. Is E^z Entire.
From math.stackexchange.com
complex analysis Why does the graph of e^{1/z} look like a dipole? Mathematics Stack Exchange Is E^z Entire Assuming fk−1(z) is entire, it follows from the previous result that the function h(z) = (fk−1(z)−fk−1(ak) z−ak z 6= ak f′ k−1(a) z = ak is an entire function, so in particular, the limit of. For any complex number z = x + iy, with x and y real, the exponential ez, is defined by. In my textbook, i find. Is E^z Entire.
From www.chegg.com
A current filament lies along the entire zaxis and Is E^z Entire For any complex number z = x + iy, with x and y real, the exponential ez, is defined by. To show if a function is entire we should show that function $f(z)$ is analtyic for every $z$. Assuming fk−1(z) is entire, it follows from the previous result that the function h(z) = (fk−1(z)−fk−1(ak) z−ak z 6= ak f′ k−1(a). Is E^z Entire.
From www.capterra.co.uk
EZ Schedule Pricing, Cost & Reviews Capterra UK 2023 Is E^z Entire It is easy to see that all the usual rules of exponents hold: Assuming fk−1(z) is entire, it follows from the previous result that the function h(z) = (fk−1(z)−fk−1(ak) z−ak z 6= ak f′ k−1(a) z = ak is an entire function, so in particular, the limit of. For any complex number z = x + iy, with x and. Is E^z Entire.
From www.chegg.com
Solved PROBLEM 12.3* Consider an LTI system whose system Is E^z Entire In this definition ex e x is the usual exponential function for a real variable x x. Therefore i assumed $z$ as. Assuming fk−1(z) is entire, it follows from the previous result that the function h(z) = (fk−1(z)−fk−1(ak) z−ak z 6= ak f′ k−1(a) z = ak is an entire function, so in particular, the limit of. Ex + iy. Is E^z Entire.
From genius.com
EZ (Israel) איזי Lyrics, Songs, and Albums Genius Is E^z Entire It is easy to see that all the usual rules of exponents hold: For any complex number z = x + iy, with x and y real, the exponential ez, is defined by. If so, what is the proof? In my textbook, i find a text where it says $e^z$ is analytic everywhere (in complex plane). To show if a. Is E^z Entire.
From www.pinterest.com
The Complex Exponential Function f(z) = e^z is Entire Proof Exponential functions, Exponential Is E^z Entire To show if a function is entire we should show that function $f(z)$ is analtyic for every $z$. Assuming fk−1(z) is entire, it follows from the previous result that the function h(z) = (fk−1(z)−fk−1(ak) z−ak z 6= ak f′ k−1(a) z = ak is an entire function, so in particular, the limit of. In my textbook, i find a text. Is E^z Entire.
From www.slideserve.com
PPT Z transforms PowerPoint Presentation, free download ID837106 Is E^z Entire To show if a function is entire we should show that function $f(z)$ is analtyic for every $z$. For any complex number z = x + iy, with x and y real, the exponential ez, is defined by. In this definition ex e x is the usual exponential function for a real variable x x. In my textbook, i find. Is E^z Entire.
From slideplayer.com
Z Scores & Correlation. ppt download Is E^z Entire If so, what is the proof? It is easy to see that all the usual rules of exponents hold: For any complex number z = x + iy, with x and y real, the exponential ez, is defined by. Ex + iy = excosy + iexsiny. The exponential function $ w = e ^ {z} $ is a transcendental function. Is E^z Entire.
From byjus.com
7. how will the sequence rule (for E Z system) be used for a group having multiple bond ?eg COOH Is E^z Entire Ex + iy = excosy + iexsiny. To show if a function is entire we should show that function $f(z)$ is analtyic for every $z$. Therefore i assumed $z$ as. The exponential function $ w = e ^ {z} $ is a transcendental function and is the analytic continuation of $ y = e ^ {x} $ from the real. Is E^z Entire.
From www.chegg.com
Solved 1. Show that the following functions are entire (a) Is E^z Entire If so, what is the proof? It is easy to see that all the usual rules of exponents hold: In this definition ex e x is the usual exponential function for a real variable x x. The exponential function $ w = e ^ {z} $ is a transcendental function and is the analytic continuation of $ y = e. Is E^z Entire.
From edutized.com
Z score Table or Z score chart Edutized Is E^z Entire To show if a function is entire we should show that function $f(z)$ is analtyic for every $z$. Assuming fk−1(z) is entire, it follows from the previous result that the function h(z) = (fk−1(z)−fk−1(ak) z−ak z 6= ak f′ k−1(a) z = ak is an entire function, so in particular, the limit of. If so, what is the proof? In. Is E^z Entire.
From www.youtube.com
How To Create New Xchangeon💱 Account In Best Version/A To Z Full Process in This Video YouTube Is E^z Entire The exponential function $ w = e ^ {z} $ is a transcendental function and is the analytic continuation of $ y = e ^ {x} $ from the real axis into the complex plane. Assuming fk−1(z) is entire, it follows from the previous result that the function h(z) = (fk−1(z)−fk−1(ak) z−ak z 6= ak f′ k−1(a) z = ak. Is E^z Entire.
From www.dummies.com
How to Use the ZTable dummies Is E^z Entire For any complex number z = x + iy, with x and y real, the exponential ez, is defined by. To show if a function is entire we should show that function $f(z)$ is analtyic for every $z$. The exponential function $ w = e ^ {z} $ is a transcendental function and is the analytic continuation of $ y. Is E^z Entire.
From www.chegg.com
Solved Consider complex functions f(z) = cos z where z = Is E^z Entire It is easy to see that all the usual rules of exponents hold: The exponential function $ w = e ^ {z} $ is a transcendental function and is the analytic continuation of $ y = e ^ {x} $ from the real axis into the complex plane. For any complex number z = x + iy, with x and. Is E^z Entire.
From www.chegg.com
Solved Q1. Show that the function f(z) = ez? is entire. Thus Is E^z Entire In particular 2, eiy =. In my textbook, i find a text where it says $e^z$ is analytic everywhere (in complex plane). To show if a function is entire we should show that function $f(z)$ is analtyic for every $z$. In this definition ex e x is the usual exponential function for a real variable x x. Assuming fk−1(z) is. Is E^z Entire.
From www.pinterest.com
Direct Image of a Set under The Complex Exponential f(z) = e^z Exampl... Circle math, Math Is E^z Entire In my textbook, i find a text where it says $e^z$ is analytic everywhere (in complex plane). Assuming fk−1(z) is entire, it follows from the previous result that the function h(z) = (fk−1(z)−fk−1(ak) z−ak z 6= ak f′ k−1(a) z = ak is an entire function, so in particular, the limit of. If so, what is the proof? To show. Is E^z Entire.
From www.chegg.com
Solved We define the improper integral (over the entire Is E^z Entire Ex + iy = excosy + iexsiny. For any complex number z = x + iy, with x and y real, the exponential ez, is defined by. If so, what is the proof? In this definition ex e x is the usual exponential function for a real variable x x. It is easy to see that all the usual rules. Is E^z Entire.
From physics-ref.blogspot.com
Complex Analysis 29 Order of Entire Function Physics Reference Is E^z Entire Assuming fk−1(z) is entire, it follows from the previous result that the function h(z) = (fk−1(z)−fk−1(ak) z−ak z 6= ak f′ k−1(a) z = ak is an entire function, so in particular, the limit of. It is easy to see that all the usual rules of exponents hold: Ex + iy = excosy + iexsiny. In this definition ex e. Is E^z Entire.