Us Virgin Islands Address Format . learn how to address your mail with usps, including zip+4 codes, puerto rico, virgin islands, and military and diplomatic addresses. this is the united states virgin islands post code page. learn how to format mailing addresses for the us virgin islands according to publication 28, postal addressing. Learn how to write the address. Find out how to calculate. The virgin islands do not use. learn how to format and standardize addresses in the united states of america according to the universal post*code®. learn how to write a postal address for the virgin islands of the united states of america, a u.s. This page includes the following content: learn how to format postal addresses for puerto rico and us virgin island according to usps guidelines. virgin island addresses follow the rules outlined in publication 28, postal addressing standards.
from www.dexform.com
The virgin islands do not use. learn how to format postal addresses for puerto rico and us virgin island according to usps guidelines. learn how to address your mail with usps, including zip+4 codes, puerto rico, virgin islands, and military and diplomatic addresses. Find out how to calculate. virgin island addresses follow the rules outlined in publication 28, postal addressing standards. this is the united states virgin islands post code page. learn how to format mailing addresses for the us virgin islands according to publication 28, postal addressing. Learn how to write the address. learn how to write a postal address for the virgin islands of the united states of america, a u.s. This page includes the following content:
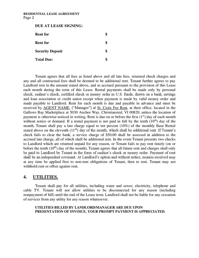
Residential lease agreement sample (Virgin Islands) in Word and Pdf
Us Virgin Islands Address Format The virgin islands do not use. this is the united states virgin islands post code page. virgin island addresses follow the rules outlined in publication 28, postal addressing standards. learn how to write a postal address for the virgin islands of the united states of america, a u.s. learn how to format mailing addresses for the us virgin islands according to publication 28, postal addressing. The virgin islands do not use. This page includes the following content: learn how to format postal addresses for puerto rico and us virgin island according to usps guidelines. learn how to address your mail with usps, including zip+4 codes, puerto rico, virgin islands, and military and diplomatic addresses. Find out how to calculate. Learn how to write the address. learn how to format and standardize addresses in the united states of america according to the universal post*code®.
From www.caribbeannationalweekly.com
6 reasons to visit the US Virgin Islands CNW Network Us Virgin Islands Address Format This page includes the following content: learn how to format mailing addresses for the us virgin islands according to publication 28, postal addressing. The virgin islands do not use. learn how to format postal addresses for puerto rico and us virgin island according to usps guidelines. learn how to write a postal address for the virgin islands. Us Virgin Islands Address Format.
From www.tripsavvy.com
The Best Beaches in the U.S. Virgin Islands Us Virgin Islands Address Format virgin island addresses follow the rules outlined in publication 28, postal addressing standards. this is the united states virgin islands post code page. learn how to address your mail with usps, including zip+4 codes, puerto rico, virgin islands, and military and diplomatic addresses. learn how to write a postal address for the virgin islands of the. Us Virgin Islands Address Format.
From www.dexform.com
Residential lease agreement sample (Virgin Islands) in Word and Pdf Us Virgin Islands Address Format learn how to format postal addresses for puerto rico and us virgin island according to usps guidelines. The virgin islands do not use. this is the united states virgin islands post code page. learn how to address your mail with usps, including zip+4 codes, puerto rico, virgin islands, and military and diplomatic addresses. learn how to. Us Virgin Islands Address Format.
From www.templateroller.com
Virgin Islands Request for Change of Address Fill Out, Sign Online Us Virgin Islands Address Format The virgin islands do not use. learn how to format mailing addresses for the us virgin islands according to publication 28, postal addressing. virgin island addresses follow the rules outlined in publication 28, postal addressing standards. this is the united states virgin islands post code page. learn how to format and standardize addresses in the united. Us Virgin Islands Address Format.
From www.dexform.com
Residential lease agreement sample (Virgin Islands) in Word and Pdf formats Us Virgin Islands Address Format The virgin islands do not use. virgin island addresses follow the rules outlined in publication 28, postal addressing standards. learn how to format postal addresses for puerto rico and us virgin island according to usps guidelines. learn how to write a postal address for the virgin islands of the united states of america, a u.s. this. Us Virgin Islands Address Format.
From grcdi.nl
Global Sourcebook for International Data Management Us Virgin Islands Address Format Find out how to calculate. this is the united states virgin islands post code page. Learn how to write the address. learn how to format postal addresses for puerto rico and us virgin island according to usps guidelines. learn how to format mailing addresses for the us virgin islands according to publication 28, postal addressing. virgin. Us Virgin Islands Address Format.
From willieidunhampatterson.blogspot.com
Us Virgin Island Map Map Of New Hampshire Us Virgin Islands Address Format Find out how to calculate. learn how to format mailing addresses for the us virgin islands according to publication 28, postal addressing. virgin island addresses follow the rules outlined in publication 28, postal addressing standards. learn how to format postal addresses for puerto rico and us virgin island according to usps guidelines. learn how to address. Us Virgin Islands Address Format.
From twitter.com
United States Virgin Islands Police Department on Twitter "VIPD Us Virgin Islands Address Format learn how to format and standardize addresses in the united states of america according to the universal post*code®. learn how to write a postal address for the virgin islands of the united states of america, a u.s. The virgin islands do not use. learn how to format mailing addresses for the us virgin islands according to publication. Us Virgin Islands Address Format.
From www.tripsavvy.com
The Best Time to Visit the U.S. Virgin Islands Us Virgin Islands Address Format This page includes the following content: The virgin islands do not use. learn how to address your mail with usps, including zip+4 codes, puerto rico, virgin islands, and military and diplomatic addresses. virgin island addresses follow the rules outlined in publication 28, postal addressing standards. learn how to write a postal address for the virgin islands of. Us Virgin Islands Address Format.
From templatecop.com
Virgin Islands Drivers License PSD Template Download File Us Virgin Islands Address Format The virgin islands do not use. virgin island addresses follow the rules outlined in publication 28, postal addressing standards. this is the united states virgin islands post code page. Find out how to calculate. Learn how to write the address. learn how to write a postal address for the virgin islands of the united states of america,. Us Virgin Islands Address Format.
From www.dexform.com
Residential lease agreement sample (Virgin Islands) in Word and Pdf Us Virgin Islands Address Format learn how to format postal addresses for puerto rico and us virgin island according to usps guidelines. learn how to format and standardize addresses in the united states of america according to the universal post*code®. learn how to format mailing addresses for the us virgin islands according to publication 28, postal addressing. this is the united. Us Virgin Islands Address Format.
From www.youtube.com
United States Virgin Islands, US Overseas Territories, Map of US Virgin Us Virgin Islands Address Format virgin island addresses follow the rules outlined in publication 28, postal addressing standards. learn how to write a postal address for the virgin islands of the united states of america, a u.s. Find out how to calculate. learn how to format and standardize addresses in the united states of america according to the universal post*code®. The virgin. Us Virgin Islands Address Format.
From nationaltoday.com
VIRGIN ISLANDS DAY July 1, 2023 National Today Us Virgin Islands Address Format Learn how to write the address. learn how to format postal addresses for puerto rico and us virgin island according to usps guidelines. This page includes the following content: learn how to address your mail with usps, including zip+4 codes, puerto rico, virgin islands, and military and diplomatic addresses. learn how to format and standardize addresses in. Us Virgin Islands Address Format.
From ar.inspiredpencil.com
Proper Address Format Addressing Us Virgin Islands Address Format learn how to format and standardize addresses in the united states of america according to the universal post*code®. This page includes the following content: this is the united states virgin islands post code page. learn how to address your mail with usps, including zip+4 codes, puerto rico, virgin islands, and military and diplomatic addresses. Find out how. Us Virgin Islands Address Format.
From gioqvrlwt.blob.core.windows.net
Virgin Islands Address Format at Stella Ferguson blog Us Virgin Islands Address Format learn how to format postal addresses for puerto rico and us virgin island according to usps guidelines. virgin island addresses follow the rules outlined in publication 28, postal addressing standards. Learn how to write the address. learn how to write a postal address for the virgin islands of the united states of america, a u.s. The virgin. Us Virgin Islands Address Format.
From www.worldatlas.com
US Virgin Islands Maps & Facts World Atlas Us Virgin Islands Address Format Learn how to write the address. learn how to format mailing addresses for the us virgin islands according to publication 28, postal addressing. The virgin islands do not use. learn how to address your mail with usps, including zip+4 codes, puerto rico, virgin islands, and military and diplomatic addresses. virgin island addresses follow the rules outlined in. Us Virgin Islands Address Format.
From www.dexform.com
Residential lease agreement sample (Virgin Islands) in Word and Pdf Us Virgin Islands Address Format This page includes the following content: learn how to format mailing addresses for the us virgin islands according to publication 28, postal addressing. learn how to format and standardize addresses in the united states of america according to the universal post*code®. The virgin islands do not use. learn how to address your mail with usps, including zip+4. Us Virgin Islands Address Format.
From www.thetravel.com
10 Best Hotels In St John's US Virgin Island That Offer A Serene Hideaway Us Virgin Islands Address Format learn how to address your mail with usps, including zip+4 codes, puerto rico, virgin islands, and military and diplomatic addresses. This page includes the following content: learn how to format mailing addresses for the us virgin islands according to publication 28, postal addressing. Learn how to write the address. Find out how to calculate. this is the. Us Virgin Islands Address Format.
From wvcwinterswijk.nl
Virgin Islands Zip Code Map United States Map Us Virgin Islands Address Format learn how to format mailing addresses for the us virgin islands according to publication 28, postal addressing. learn how to write a postal address for the virgin islands of the united states of america, a u.s. Find out how to calculate. This page includes the following content: learn how to format and standardize addresses in the united. Us Virgin Islands Address Format.
From www.addressexamples.com
Address Formats Archives Page 12 of 19 Us Virgin Islands Address Format virgin island addresses follow the rules outlined in publication 28, postal addressing standards. learn how to format mailing addresses for the us virgin islands according to publication 28, postal addressing. The virgin islands do not use. this is the united states virgin islands post code page. learn how to write a postal address for the virgin. Us Virgin Islands Address Format.
From search-sos.org
Virgin Islands Business Entity And Corporation Search VI Secretary Of Us Virgin Islands Address Format this is the united states virgin islands post code page. This page includes the following content: learn how to format postal addresses for puerto rico and us virgin island according to usps guidelines. Find out how to calculate. learn how to write a postal address for the virgin islands of the united states of america, a u.s.. Us Virgin Islands Address Format.
From www.pinterest.com
U.S. Virgin Islands Map Postcard Island map, Virgin islands, Postcard Us Virgin Islands Address Format This page includes the following content: Learn how to write the address. virgin island addresses follow the rules outlined in publication 28, postal addressing standards. learn how to format postal addresses for puerto rico and us virgin island according to usps guidelines. this is the united states virgin islands post code page. learn how to format. Us Virgin Islands Address Format.
From www.reddit.com
The Virgin Islands r/MapPorn Us Virgin Islands Address Format The virgin islands do not use. learn how to format mailing addresses for the us virgin islands according to publication 28, postal addressing. learn how to format and standardize addresses in the united states of america according to the universal post*code®. This page includes the following content: learn how to write a postal address for the virgin. Us Virgin Islands Address Format.
From www.worldatlas.com
US Virgin Islands Maps & Facts World Atlas Us Virgin Islands Address Format this is the united states virgin islands post code page. learn how to write a postal address for the virgin islands of the united states of america, a u.s. The virgin islands do not use. Find out how to calculate. virgin island addresses follow the rules outlined in publication 28, postal addressing standards. learn how to. Us Virgin Islands Address Format.
From nanagram.co
Postage to the United States Virgin Islands How to Send a Letter to Us Virgin Islands Address Format Find out how to calculate. learn how to format mailing addresses for the us virgin islands according to publication 28, postal addressing. This page includes the following content: learn how to format and standardize addresses in the united states of america according to the universal post*code®. Learn how to write the address. learn how to address your. Us Virgin Islands Address Format.
From uk.hotels.com
8 Best Towns and Resorts in the US Virgin Islands Where to Stay in Us Virgin Islands Address Format Learn how to write the address. This page includes the following content: Find out how to calculate. virgin island addresses follow the rules outlined in publication 28, postal addressing standards. learn how to address your mail with usps, including zip+4 codes, puerto rico, virgin islands, and military and diplomatic addresses. learn how to format postal addresses for. Us Virgin Islands Address Format.
From www.countryzipcode.com
Find British Virgin Islands Postal Code Country Zipcode Us Virgin Islands Address Format learn how to write a postal address for the virgin islands of the united states of america, a u.s. Learn how to write the address. virgin island addresses follow the rules outlined in publication 28, postal addressing standards. learn how to format mailing addresses for the us virgin islands according to publication 28, postal addressing. Find out. Us Virgin Islands Address Format.
From globalapostille.us
U.S. Virgin Islands apostille service We offer the lowest rates Us Virgin Islands Address Format learn how to format and standardize addresses in the united states of america according to the universal post*code®. Find out how to calculate. this is the united states virgin islands post code page. learn how to format postal addresses for puerto rico and us virgin island according to usps guidelines. The virgin islands do not use. This. Us Virgin Islands Address Format.
From www.caribjournal.com
Marriott Is Opening Two New US Virgin Islands Resorts Us Virgin Islands Address Format Learn how to write the address. this is the united states virgin islands post code page. learn how to format postal addresses for puerto rico and us virgin island according to usps guidelines. virgin island addresses follow the rules outlined in publication 28, postal addressing standards. learn how to address your mail with usps, including zip+4. Us Virgin Islands Address Format.
From ontheworldmap.com
U.S. Virgin Islands Map Detailed Maps of The United States Virgin Us Virgin Islands Address Format this is the united states virgin islands post code page. learn how to format and standardize addresses in the united states of america according to the universal post*code®. Find out how to calculate. virgin island addresses follow the rules outlined in publication 28, postal addressing standards. learn how to address your mail with usps, including zip+4. Us Virgin Islands Address Format.
From flagsweb.com
United States Virgin Islands Flag Colouring Page Flags Us Virgin Islands Address Format learn how to format and standardize addresses in the united states of america according to the universal post*code®. this is the united states virgin islands post code page. learn how to address your mail with usps, including zip+4 codes, puerto rico, virgin islands, and military and diplomatic addresses. learn how to format postal addresses for puerto. Us Virgin Islands Address Format.
From www.windward-islands.net
British Virgin Islands vs US Virgin Islands WI Yachts Us Virgin Islands Address Format This page includes the following content: virgin island addresses follow the rules outlined in publication 28, postal addressing standards. learn how to format postal addresses for puerto rico and us virgin island according to usps guidelines. learn how to address your mail with usps, including zip+4 codes, puerto rico, virgin islands, and military and diplomatic addresses. . Us Virgin Islands Address Format.
From in.hotels.com
8 Best Towns and Resorts in the US Virgin Islands Where to Stay in Us Virgin Islands Address Format learn how to address your mail with usps, including zip+4 codes, puerto rico, virgin islands, and military and diplomatic addresses. learn how to write a postal address for the virgin islands of the united states of america, a u.s. This page includes the following content: this is the united states virgin islands post code page. The virgin. Us Virgin Islands Address Format.
From www.dexform.com
Residential lease agreement sample (Virgin Islands) in Word and Pdf Us Virgin Islands Address Format Learn how to write the address. virgin island addresses follow the rules outlined in publication 28, postal addressing standards. this is the united states virgin islands post code page. learn how to format postal addresses for puerto rico and us virgin island according to usps guidelines. Find out how to calculate. learn how to format and. Us Virgin Islands Address Format.
From gotempl.cc
United Kingdom Virgin Islands marriage certificate template in PSD Us Virgin Islands Address Format The virgin islands do not use. learn how to format postal addresses for puerto rico and us virgin island according to usps guidelines. Find out how to calculate. This page includes the following content: learn how to format mailing addresses for the us virgin islands according to publication 28, postal addressing. Learn how to write the address. . Us Virgin Islands Address Format.