How Many Amps Does A 3Kw Kettle Use . To calculate how much your kettle costs to boil, you need to follow the following steps: Look at how many watts or kilowatts your kettle uses. One kilowatt (kw) is equal to 1,000 watts. Both watts and kilowatts are si units of power and are the most common units of power used. Whether you have a direct (dc) or alternating (ac) flow of. There are some campsites with just a 5 amp hook up while others have a whopping 16 amp hook up. Discover our amp chart for household appliances so you can make sure your power sources can handle your devices. To determine the amperage, use the formula: The estimations below come from using our household. However, the most common is a 10 amp supply which gives you around 2.3kw. The answer to the question depends on: How many amps does an electric kettle use? How many amps in 3 kilowatts? Running a 3kw kettle depends on your electricity rate, but roughly, at 20 pence per. An electric kettle typically uses around 12.5 amps.
from energytheory.com
To calculate how much your kettle costs to boil, you need to follow the following steps: Discover our amp chart for household appliances so you can make sure your power sources can handle your devices. To determine the amperage, use the formula: One kilowatt (kw) is equal to 1,000 watts. Whether you have a direct (dc) or alternating (ac) flow of. Running a 3kw kettle depends on your electricity rate, but roughly, at 20 pence per. The estimations below come from using our household. However, the most common is a 10 amp supply which gives you around 2.3kw. How much does a 3kw kettle cost to run? Both watts and kilowatts are si units of power and are the most common units of power used.
How Many Amps Does a Kettle Use? Energy Theory
How Many Amps Does A 3Kw Kettle Use Look at how many watts or kilowatts your kettle uses. To calculate how much your kettle costs to boil, you need to follow the following steps: Discover our amp chart for household appliances so you can make sure your power sources can handle your devices. However, the most common is a 10 amp supply which gives you around 2.3kw. Running a 3kw kettle depends on your electricity rate, but roughly, at 20 pence per. The estimations below come from using our household. An electric kettle typically uses around 12.5 amps. How many amps does an electric kettle use? How many amps in 3 kilowatts? The answer to the question depends on: One kilowatt (kw) is equal to 1,000 watts. How much does a 3kw kettle cost to run? Look at how many watts or kilowatts your kettle uses. There are some campsites with just a 5 amp hook up while others have a whopping 16 amp hook up. Whether you have a direct (dc) or alternating (ac) flow of. Both watts and kilowatts are si units of power and are the most common units of power used.
From exogmzaod.blob.core.windows.net
How Many Watts Does Boiling A Kettle Use at Joseph Fournier blog How Many Amps Does A 3Kw Kettle Use How many amps does an electric kettle use? One kilowatt (kw) is equal to 1,000 watts. Look at how many watts or kilowatts your kettle uses. Discover our amp chart for household appliances so you can make sure your power sources can handle your devices. How much does a 3kw kettle cost to run? To calculate how much your kettle. How Many Amps Does A 3Kw Kettle Use.
From exondrgnf.blob.core.windows.net
What Amps Does A Kettle Use at Benny Currin blog How Many Amps Does A 3Kw Kettle Use However, the most common is a 10 amp supply which gives you around 2.3kw. Look at how many watts or kilowatts your kettle uses. The answer to the question depends on: An electric kettle typically uses around 12.5 amps. There are some campsites with just a 5 amp hook up while others have a whopping 16 amp hook up. The. How Many Amps Does A 3Kw Kettle Use.
From energytheory.com
How Many Amps Does a Kettle Use? Energy Theory How Many Amps Does A 3Kw Kettle Use Discover our amp chart for household appliances so you can make sure your power sources can handle your devices. Whether you have a direct (dc) or alternating (ac) flow of. To determine the amperage, use the formula: An electric kettle typically uses around 12.5 amps. The answer to the question depends on: However, the most common is a 10 amp. How Many Amps Does A 3Kw Kettle Use.
From 9gag.com
Race between a 3kW and 1.5kW electric kettle...or 'why fewer Americans How Many Amps Does A 3Kw Kettle Use Whether you have a direct (dc) or alternating (ac) flow of. How many amps does an electric kettle use? Discover our amp chart for household appliances so you can make sure your power sources can handle your devices. The answer to the question depends on: One kilowatt (kw) is equal to 1,000 watts. An electric kettle typically uses around 12.5. How Many Amps Does A 3Kw Kettle Use.
From www.gauthmath.com
Solved The diagram below shows three kettles with their powers and the How Many Amps Does A 3Kw Kettle Use How much does a 3kw kettle cost to run? To determine the amperage, use the formula: However, the most common is a 10 amp supply which gives you around 2.3kw. One kilowatt (kw) is equal to 1,000 watts. An electric kettle typically uses around 12.5 amps. The estimations below come from using our household. There are some campsites with just. How Many Amps Does A 3Kw Kettle Use.
From schematicbaonq6ly6.z13.web.core.windows.net
How Many Solar Panels For 5kva Inverter How Many Amps Does A 3Kw Kettle Use How many amps in 3 kilowatts? To determine the amperage, use the formula: Running a 3kw kettle depends on your electricity rate, but roughly, at 20 pence per. Whether you have a direct (dc) or alternating (ac) flow of. Discover our amp chart for household appliances so you can make sure your power sources can handle your devices. One kilowatt. How Many Amps Does A 3Kw Kettle Use.
From exondrgnf.blob.core.windows.net
What Amps Does A Kettle Use at Benny Currin blog How Many Amps Does A 3Kw Kettle Use How many amps in 3 kilowatts? Both watts and kilowatts are si units of power and are the most common units of power used. Whether you have a direct (dc) or alternating (ac) flow of. One kilowatt (kw) is equal to 1,000 watts. How many amps does an electric kettle use? However, the most common is a 10 amp supply. How Many Amps Does A 3Kw Kettle Use.
From slideplayer.com
Using Electrical Formulae ppt download How Many Amps Does A 3Kw Kettle Use How much does a 3kw kettle cost to run? How many amps does an electric kettle use? How many amps in 3 kilowatts? Running a 3kw kettle depends on your electricity rate, but roughly, at 20 pence per. Whether you have a direct (dc) or alternating (ac) flow of. There are some campsites with just a 5 amp hook up. How Many Amps Does A 3Kw Kettle Use.
From cerlcvff.blob.core.windows.net
How Many Watts Does An Kettle Use at Alton Segura blog How Many Amps Does A 3Kw Kettle Use There are some campsites with just a 5 amp hook up while others have a whopping 16 amp hook up. Running a 3kw kettle depends on your electricity rate, but roughly, at 20 pence per. Both watts and kilowatts are si units of power and are the most common units of power used. Discover our amp chart for household appliances. How Many Amps Does A 3Kw Kettle Use.
From exogopudq.blob.core.windows.net
How Many Amps Does A Oil Filled Heater Pull at Chester Taylor blog How Many Amps Does A 3Kw Kettle Use To determine the amperage, use the formula: How many amps does an electric kettle use? Both watts and kilowatts are si units of power and are the most common units of power used. Look at how many watts or kilowatts your kettle uses. The estimations below come from using our household. To calculate how much your kettle costs to boil,. How Many Amps Does A 3Kw Kettle Use.
From homeapricot.com
How Many Watts Does a Kettle Use? (Answered) HomeApricot How Many Amps Does A 3Kw Kettle Use Discover our amp chart for household appliances so you can make sure your power sources can handle your devices. One kilowatt (kw) is equal to 1,000 watts. However, the most common is a 10 amp supply which gives you around 2.3kw. To calculate how much your kettle costs to boil, you need to follow the following steps: Look at how. How Many Amps Does A 3Kw Kettle Use.
From campfiremag.co.uk
How Many Amps In A Kettle? Campfire Magazine How Many Amps Does A 3Kw Kettle Use One kilowatt (kw) is equal to 1,000 watts. How many amps does an electric kettle use? There are some campsites with just a 5 amp hook up while others have a whopping 16 amp hook up. Whether you have a direct (dc) or alternating (ac) flow of. The answer to the question depends on: Running a 3kw kettle depends on. How Many Amps Does A 3Kw Kettle Use.
From klapfdxcl.blob.core.windows.net
Why Do Kettles Use So Much Energy at Dorie Spillman blog How Many Amps Does A 3Kw Kettle Use Whether you have a direct (dc) or alternating (ac) flow of. How much does a 3kw kettle cost to run? Both watts and kilowatts are si units of power and are the most common units of power used. The estimations below come from using our household. How many amps does an electric kettle use? One kilowatt (kw) is equal to. How Many Amps Does A 3Kw Kettle Use.
From circuitschneidler0521.z4.web.core.windows.net
How Much Amps Is 120 Volts How Many Amps Does A 3Kw Kettle Use How much does a 3kw kettle cost to run? Discover our amp chart for household appliances so you can make sure your power sources can handle your devices. Whether you have a direct (dc) or alternating (ac) flow of. One kilowatt (kw) is equal to 1,000 watts. An electric kettle typically uses around 12.5 amps. There are some campsites with. How Many Amps Does A 3Kw Kettle Use.
From handytooler.com
How Many Amps Does a 220 Air Compressor Use How Many Amps Does A 3Kw Kettle Use How many amps does an electric kettle use? To calculate how much your kettle costs to boil, you need to follow the following steps: The estimations below come from using our household. The answer to the question depends on: Whether you have a direct (dc) or alternating (ac) flow of. An electric kettle typically uses around 12.5 amps. How many. How Many Amps Does A 3Kw Kettle Use.
From www.numerade.com
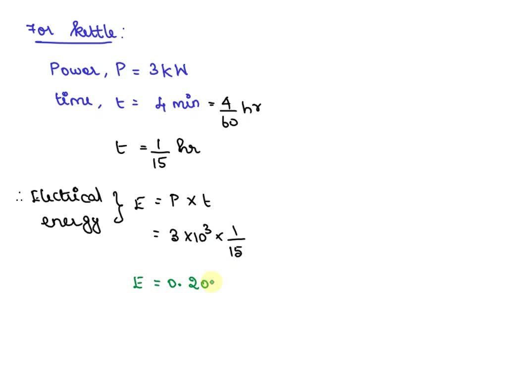
SOLVED A 3kW kettle boils water in 4 minutes. Does this use more How Many Amps Does A 3Kw Kettle Use Both watts and kilowatts are si units of power and are the most common units of power used. There are some campsites with just a 5 amp hook up while others have a whopping 16 amp hook up. Look at how many watts or kilowatts your kettle uses. Whether you have a direct (dc) or alternating (ac) flow of. One. How Many Amps Does A 3Kw Kettle Use.
From guidediagramcoppola.z14.web.core.windows.net
How To Wire A Water Heater 240v How Many Amps Does A 3Kw Kettle Use How much does a 3kw kettle cost to run? However, the most common is a 10 amp supply which gives you around 2.3kw. An electric kettle typically uses around 12.5 amps. Discover our amp chart for household appliances so you can make sure your power sources can handle your devices. Both watts and kilowatts are si units of power and. How Many Amps Does A 3Kw Kettle Use.
From theteacupoflife.com
Best Electric Kettles for Tea Time The Cup of Life How Many Amps Does A 3Kw Kettle Use The answer to the question depends on: To calculate how much your kettle costs to boil, you need to follow the following steps: Both watts and kilowatts are si units of power and are the most common units of power used. Discover our amp chart for household appliances so you can make sure your power sources can handle your devices.. How Many Amps Does A 3Kw Kettle Use.
From quizgrouchiest.z4.web.core.windows.net
How Many Amps Does 1500 Watts Draw How Many Amps Does A 3Kw Kettle Use One kilowatt (kw) is equal to 1,000 watts. The answer to the question depends on: However, the most common is a 10 amp supply which gives you around 2.3kw. There are some campsites with just a 5 amp hook up while others have a whopping 16 amp hook up. Look at how many watts or kilowatts your kettle uses. To. How Many Amps Does A 3Kw Kettle Use.
From kettlesboiler.com
How Much Electricity Does A Kettle Use How Many Amps Does A 3Kw Kettle Use However, the most common is a 10 amp supply which gives you around 2.3kw. Whether you have a direct (dc) or alternating (ac) flow of. To calculate how much your kettle costs to boil, you need to follow the following steps: To determine the amperage, use the formula: One kilowatt (kw) is equal to 1,000 watts. There are some campsites. How Many Amps Does A 3Kw Kettle Use.
From exopbbnoc.blob.core.windows.net
How Many Amps Is A Table Fan at Perry Adkins blog How Many Amps Does A 3Kw Kettle Use An electric kettle typically uses around 12.5 amps. One kilowatt (kw) is equal to 1,000 watts. The answer to the question depends on: How much does a 3kw kettle cost to run? Look at how many watts or kilowatts your kettle uses. The estimations below come from using our household. How many amps does an electric kettle use? Discover our. How Many Amps Does A 3Kw Kettle Use.
From energytheory.com
How Many Amps Does a Kettle Use? Energy Theory How Many Amps Does A 3Kw Kettle Use To determine the amperage, use the formula: How much does a 3kw kettle cost to run? Look at how many watts or kilowatts your kettle uses. The answer to the question depends on: Discover our amp chart for household appliances so you can make sure your power sources can handle your devices. Both watts and kilowatts are si units of. How Many Amps Does A 3Kw Kettle Use.
From exobfzcna.blob.core.windows.net
Electric Tea Kettle Amps at Luther Smith blog How Many Amps Does A 3Kw Kettle Use Running a 3kw kettle depends on your electricity rate, but roughly, at 20 pence per. There are some campsites with just a 5 amp hook up while others have a whopping 16 amp hook up. The estimations below come from using our household. Whether you have a direct (dc) or alternating (ac) flow of. The answer to the question depends. How Many Amps Does A 3Kw Kettle Use.
From powerupcook.com
How Many Amps Does A Toaster Oven Use Power Up Cook How Many Amps Does A 3Kw Kettle Use Look at how many watts or kilowatts your kettle uses. Discover our amp chart for household appliances so you can make sure your power sources can handle your devices. There are some campsites with just a 5 amp hook up while others have a whopping 16 amp hook up. Both watts and kilowatts are si units of power and are. How Many Amps Does A 3Kw Kettle Use.
From wiringdbtynfw1.z22.web.core.windows.net
How Many Amps Can 12 Ga Wire Carry How Many Amps Does A 3Kw Kettle Use Running a 3kw kettle depends on your electricity rate, but roughly, at 20 pence per. To calculate how much your kettle costs to boil, you need to follow the following steps: Whether you have a direct (dc) or alternating (ac) flow of. An electric kettle typically uses around 12.5 amps. However, the most common is a 10 amp supply which. How Many Amps Does A 3Kw Kettle Use.
From teahow.com
New Kettle Instructions Do it Right, Helpful Guide with Pictures How Many Amps Does A 3Kw Kettle Use The estimations below come from using our household. An electric kettle typically uses around 12.5 amps. Look at how many watts or kilowatts your kettle uses. There are some campsites with just a 5 amp hook up while others have a whopping 16 amp hook up. How many amps does an electric kettle use? However, the most common is a. How Many Amps Does A 3Kw Kettle Use.
From www.walmart.com
Sencor SWK1771GR Stainless Electric Kettle, 1.7L, Green How Many Amps Does A 3Kw Kettle Use How many amps in 3 kilowatts? However, the most common is a 10 amp supply which gives you around 2.3kw. Look at how many watts or kilowatts your kettle uses. How many amps does an electric kettle use? How much does a 3kw kettle cost to run? The estimations below come from using our household. Both watts and kilowatts are. How Many Amps Does A 3Kw Kettle Use.
From wiringdb2leve1nexn.z4.web.core.windows.net
How To Know Amperage Of Outlet How Many Amps Does A 3Kw Kettle Use How much does a 3kw kettle cost to run? However, the most common is a 10 amp supply which gives you around 2.3kw. The estimations below come from using our household. Running a 3kw kettle depends on your electricity rate, but roughly, at 20 pence per. Discover our amp chart for household appliances so you can make sure your power. How Many Amps Does A 3Kw Kettle Use.
From www.pinterest.com
Top 5 Reasons Americans Need to Get an Electric Kettle ASAP Top5 How Many Amps Does A 3Kw Kettle Use Look at how many watts or kilowatts your kettle uses. Whether you have a direct (dc) or alternating (ac) flow of. To calculate how much your kettle costs to boil, you need to follow the following steps: How much does a 3kw kettle cost to run? One kilowatt (kw) is equal to 1,000 watts. To determine the amperage, use the. How Many Amps Does A 3Kw Kettle Use.
From circuitablacyjny3r.z13.web.core.windows.net
110 Volts Equal How Many Amps How Many Amps Does A 3Kw Kettle Use One kilowatt (kw) is equal to 1,000 watts. There are some campsites with just a 5 amp hook up while others have a whopping 16 amp hook up. To calculate how much your kettle costs to boil, you need to follow the following steps: Both watts and kilowatts are si units of power and are the most common units of. How Many Amps Does A 3Kw Kettle Use.
From exogmzaod.blob.core.windows.net
How Many Watts Does Boiling A Kettle Use at Joseph Fournier blog How Many Amps Does A 3Kw Kettle Use Running a 3kw kettle depends on your electricity rate, but roughly, at 20 pence per. The answer to the question depends on: How much does a 3kw kettle cost to run? How many amps in 3 kilowatts? How many amps does an electric kettle use? One kilowatt (kw) is equal to 1,000 watts. Both watts and kilowatts are si units. How Many Amps Does A 3Kw Kettle Use.
From repairfixheadpigeon2f.z4.web.core.windows.net
How Many Amps Alternator Do I Need How Many Amps Does A 3Kw Kettle Use Running a 3kw kettle depends on your electricity rate, but roughly, at 20 pence per. To determine the amperage, use the formula: Both watts and kilowatts are si units of power and are the most common units of power used. How many amps does an electric kettle use? The estimations below come from using our household. To calculate how much. How Many Amps Does A 3Kw Kettle Use.
From schematicbaonq6ly6.z13.web.core.windows.net
Amps 8 Gauge Wire Will Carry How Many Amps Does A 3Kw Kettle Use The estimations below come from using our household. Running a 3kw kettle depends on your electricity rate, but roughly, at 20 pence per. There are some campsites with just a 5 amp hook up while others have a whopping 16 amp hook up. However, the most common is a 10 amp supply which gives you around 2.3kw. Both watts and. How Many Amps Does A 3Kw Kettle Use.
From energytheory.com
How Many Amps Does a Kettle Use? Energy Theory How Many Amps Does A 3Kw Kettle Use Whether you have a direct (dc) or alternating (ac) flow of. Both watts and kilowatts are si units of power and are the most common units of power used. The answer to the question depends on: How many amps does an electric kettle use? How much does a 3kw kettle cost to run? How many amps in 3 kilowatts? One. How Many Amps Does A 3Kw Kettle Use.
From www.smeg.com
New Smeg Whistling Kettle Retro Revival How Many Amps Does A 3Kw Kettle Use How many amps in 3 kilowatts? To calculate how much your kettle costs to boil, you need to follow the following steps: However, the most common is a 10 amp supply which gives you around 2.3kw. The estimations below come from using our household. How much does a 3kw kettle cost to run? Whether you have a direct (dc) or. How Many Amps Does A 3Kw Kettle Use.