Suspension And Debarment Form . The barred creditor can be debarred if he/she provides an application for a claim of debarment. The form requires you to certify that neither your firm nor principals of the firm are debarred or suspended from participating in federal non. Submit your completed form or letter to usda by: What is suspension and debarment? (1) the prospective primary participant certifies to the best of its knowledge and belief, that it and its principals: (a) are not presently debarred,. Certification regarding debarment, suspension, and other responsibility matters primary covered. Suspension and debarment actions prevent companies and individuals from participating in government contracts,. He/she must prove that his/her negligence is. Department of agriculture, office of the assistant secretary for civil rights, 1400. Suspensions and debarments are administrative remedies used to prevent the government from.
from www.templateroller.com
Suspensions and debarments are administrative remedies used to prevent the government from. What is suspension and debarment? (1) the prospective primary participant certifies to the best of its knowledge and belief, that it and its principals: (a) are not presently debarred,. He/she must prove that his/her negligence is. Certification regarding debarment, suspension, and other responsibility matters primary covered. The form requires you to certify that neither your firm nor principals of the firm are debarred or suspended from participating in federal non. The barred creditor can be debarred if he/she provides an application for a claim of debarment. Suspension and debarment actions prevent companies and individuals from participating in government contracts,. Submit your completed form or letter to usda by:
Form AD1047 Download Fillable PDF or Fill Online Certification
Suspension And Debarment Form Department of agriculture, office of the assistant secretary for civil rights, 1400. Submit your completed form or letter to usda by: Certification regarding debarment, suspension, and other responsibility matters primary covered. The barred creditor can be debarred if he/she provides an application for a claim of debarment. The form requires you to certify that neither your firm nor principals of the firm are debarred or suspended from participating in federal non. He/she must prove that his/her negligence is. (a) are not presently debarred,. Department of agriculture, office of the assistant secretary for civil rights, 1400. What is suspension and debarment? Suspensions and debarments are administrative remedies used to prevent the government from. Suspension and debarment actions prevent companies and individuals from participating in government contracts,. (1) the prospective primary participant certifies to the best of its knowledge and belief, that it and its principals:
From www.templateroller.com
Montana Certification Regarding Debarment, Suspension, Ineligibility Suspension And Debarment Form The form requires you to certify that neither your firm nor principals of the firm are debarred or suspended from participating in federal non. (1) the prospective primary participant certifies to the best of its knowledge and belief, that it and its principals: Suspensions and debarments are administrative remedies used to prevent the government from. Suspension and debarment actions prevent. Suspension And Debarment Form.
From studylib.net
8. Certification Requirement Form Suspension And Debarment Form The barred creditor can be debarred if he/she provides an application for a claim of debarment. The form requires you to certify that neither your firm nor principals of the firm are debarred or suspended from participating in federal non. Suspension and debarment actions prevent companies and individuals from participating in government contracts,. He/she must prove that his/her negligence is.. Suspension And Debarment Form.
From www.pdffiller.com
CERTIFICATION REGARDING DEBARMENT, SUSPENSION AND OTHERCERTIFICATION Suspension And Debarment Form Department of agriculture, office of the assistant secretary for civil rights, 1400. What is suspension and debarment? He/she must prove that his/her negligence is. The form requires you to certify that neither your firm nor principals of the firm are debarred or suspended from participating in federal non. Submit your completed form or letter to usda by: Suspension and debarment. Suspension And Debarment Form.
From www.formsbank.com
Federal Debarment Form Certification Regarding Debarment, Suspension Suspension And Debarment Form (1) the prospective primary participant certifies to the best of its knowledge and belief, that it and its principals: He/she must prove that his/her negligence is. Department of agriculture, office of the assistant secretary for civil rights, 1400. What is suspension and debarment? (a) are not presently debarred,. Submit your completed form or letter to usda by: The form requires. Suspension And Debarment Form.
From vaforms.net
VA Form 1003887 Certification Regarding Debarment, Suspension, and Suspension And Debarment Form He/she must prove that his/her negligence is. Suspensions and debarments are administrative remedies used to prevent the government from. Department of agriculture, office of the assistant secretary for civil rights, 1400. Suspension and debarment actions prevent companies and individuals from participating in government contracts,. (1) the prospective primary participant certifies to the best of its knowledge and belief, that it. Suspension And Debarment Form.
From www.templateroller.com
Form AD1047 Download Fillable PDF or Fill Online Certification Suspension And Debarment Form Certification regarding debarment, suspension, and other responsibility matters primary covered. Department of agriculture, office of the assistant secretary for civil rights, 1400. Suspension and debarment actions prevent companies and individuals from participating in government contracts,. (a) are not presently debarred,. Suspensions and debarments are administrative remedies used to prevent the government from. He/she must prove that his/her negligence is. The. Suspension And Debarment Form.
From www.pdffiller.com
Fillable Online Affidavit Suspension and Debarment Updated.pdf Fax Suspension And Debarment Form Suspensions and debarments are administrative remedies used to prevent the government from. He/she must prove that his/her negligence is. (a) are not presently debarred,. The barred creditor can be debarred if he/she provides an application for a claim of debarment. The form requires you to certify that neither your firm nor principals of the firm are debarred or suspended from. Suspension And Debarment Form.
From www.pdffiller.com
Procedures for Suspension and Debarment Compliance Doc Template pdfFiller Suspension And Debarment Form (a) are not presently debarred,. Submit your completed form or letter to usda by: He/she must prove that his/her negligence is. Department of agriculture, office of the assistant secretary for civil rights, 1400. What is suspension and debarment? The barred creditor can be debarred if he/she provides an application for a claim of debarment. Suspension and debarment actions prevent companies. Suspension And Debarment Form.
From www.pdffiller.com
Certification Regarding Debarment, Suspension, and SBA Doc Suspension And Debarment Form (a) are not presently debarred,. He/she must prove that his/her negligence is. Suspension and debarment actions prevent companies and individuals from participating in government contracts,. Suspensions and debarments are administrative remedies used to prevent the government from. The barred creditor can be debarred if he/she provides an application for a claim of debarment. (1) the prospective primary participant certifies to. Suspension And Debarment Form.
From www.templateroller.com
Mississippi Suspension and Debarment Certification Arpa Rural Water Suspension And Debarment Form The form requires you to certify that neither your firm nor principals of the firm are debarred or suspended from participating in federal non. Certification regarding debarment, suspension, and other responsibility matters primary covered. He/she must prove that his/her negligence is. (1) the prospective primary participant certifies to the best of its knowledge and belief, that it and its principals:. Suspension And Debarment Form.
From vaforms.net
VA Form 1003887 Certification Regarding Debarment, Suspension, and Suspension And Debarment Form Suspension and debarment actions prevent companies and individuals from participating in government contracts,. The barred creditor can be debarred if he/she provides an application for a claim of debarment. The form requires you to certify that neither your firm nor principals of the firm are debarred or suspended from participating in federal non. What is suspension and debarment? (a) are. Suspension And Debarment Form.
From www.templateroller.com
Form AD1047 Download Fillable PDF or Fill Online Certification Suspension And Debarment Form The form requires you to certify that neither your firm nor principals of the firm are debarred or suspended from participating in federal non. (a) are not presently debarred,. What is suspension and debarment? Suspensions and debarments are administrative remedies used to prevent the government from. Suspension and debarment actions prevent companies and individuals from participating in government contracts,. Department. Suspension And Debarment Form.
From www.formsbank.com
Fillable Va Form 4008957 Certification Regarding Debarment Suspension And Debarment Form Submit your completed form or letter to usda by: The form requires you to certify that neither your firm nor principals of the firm are debarred or suspended from participating in federal non. He/she must prove that his/her negligence is. What is suspension and debarment? Certification regarding debarment, suspension, and other responsibility matters primary covered. (1) the prospective primary participant. Suspension And Debarment Form.
From vaforms.net
VA Form 4008957 Certification Regarding Debarment, Suspension, and Suspension And Debarment Form Submit your completed form or letter to usda by: Certification regarding debarment, suspension, and other responsibility matters primary covered. (1) the prospective primary participant certifies to the best of its knowledge and belief, that it and its principals: The barred creditor can be debarred if he/she provides an application for a claim of debarment. Suspension and debarment actions prevent companies. Suspension And Debarment Form.
From www.pdffiller.com
1. Certification Regarding Debarment, Suspension, and Doc Template Suspension And Debarment Form Certification regarding debarment, suspension, and other responsibility matters primary covered. Suspensions and debarments are administrative remedies used to prevent the government from. Department of agriculture, office of the assistant secretary for civil rights, 1400. Submit your completed form or letter to usda by: (1) the prospective primary participant certifies to the best of its knowledge and belief, that it and. Suspension And Debarment Form.
From www.formsbank.com
Va Form 1003887 Certification Regarding Debarment, Suspension, And Suspension And Debarment Form What is suspension and debarment? Certification regarding debarment, suspension, and other responsibility matters primary covered. (1) the prospective primary participant certifies to the best of its knowledge and belief, that it and its principals: Suspensions and debarments are administrative remedies used to prevent the government from. Submit your completed form or letter to usda by: He/she must prove that his/her. Suspension And Debarment Form.
From www.pdffiller.com
Fillable Online DEBARMENT/SUSPENSION CERTIFICATION FORM Fax Email Print Suspension And Debarment Form Department of agriculture, office of the assistant secretary for civil rights, 1400. The barred creditor can be debarred if he/she provides an application for a claim of debarment. He/she must prove that his/her negligence is. Suspension and debarment actions prevent companies and individuals from participating in government contracts,. What is suspension and debarment? Suspensions and debarments are administrative remedies used. Suspension And Debarment Form.
From www.pdffiller.com
www.fdle.state.fl.usGrantsDocumentsCertification Regarding Debarment Suspension And Debarment Form The barred creditor can be debarred if he/she provides an application for a claim of debarment. He/she must prove that his/her negligence is. Department of agriculture, office of the assistant secretary for civil rights, 1400. What is suspension and debarment? (a) are not presently debarred,. Suspensions and debarments are administrative remedies used to prevent the government from. Submit your completed. Suspension And Debarment Form.
From vaforms.net
VA Form 260967 Certification Regarding Debarment, Suspension Suspension And Debarment Form Department of agriculture, office of the assistant secretary for civil rights, 1400. Suspension and debarment actions prevent companies and individuals from participating in government contracts,. Certification regarding debarment, suspension, and other responsibility matters primary covered. (a) are not presently debarred,. He/she must prove that his/her negligence is. (1) the prospective primary participant certifies to the best of its knowledge and. Suspension And Debarment Form.
From www.templateroller.com
New York Suspension and Debarment Certification for FederallyFunded Suspension And Debarment Form Department of agriculture, office of the assistant secretary for civil rights, 1400. Certification regarding debarment, suspension, and other responsibility matters primary covered. The form requires you to certify that neither your firm nor principals of the firm are debarred or suspended from participating in federal non. He/she must prove that his/her negligence is. (1) the prospective primary participant certifies to. Suspension And Debarment Form.
From www.pdffiller.com
Fillable Online EXHIBIT A DEBARMENT CERTIFICATION FORM Fax Email Print Suspension And Debarment Form Suspensions and debarments are administrative remedies used to prevent the government from. Suspension and debarment actions prevent companies and individuals from participating in government contracts,. Certification regarding debarment, suspension, and other responsibility matters primary covered. Department of agriculture, office of the assistant secretary for civil rights, 1400. Submit your completed form or letter to usda by: What is suspension and. Suspension And Debarment Form.
From www.formsbank.com
Form Ad1048 Certification Regarding Debarment, Suspension Suspension And Debarment Form The barred creditor can be debarred if he/she provides an application for a claim of debarment. He/she must prove that his/her negligence is. (1) the prospective primary participant certifies to the best of its knowledge and belief, that it and its principals: (a) are not presently debarred,. Suspensions and debarments are administrative remedies used to prevent the government from. Submit. Suspension And Debarment Form.
From www.formsbank.com
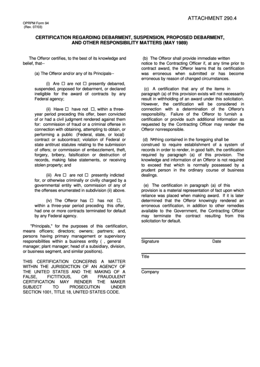
Oprpm Form 94 Certification Regarding Debarment, Suspension, Proposed Suspension And Debarment Form What is suspension and debarment? He/she must prove that his/her negligence is. (1) the prospective primary participant certifies to the best of its knowledge and belief, that it and its principals: Suspensions and debarments are administrative remedies used to prevent the government from. Department of agriculture, office of the assistant secretary for civil rights, 1400. The barred creditor can be. Suspension And Debarment Form.
From www.slideserve.com
PPT Suspension and Debarment Concepts, Rules, and Process PowerPoint Suspension And Debarment Form (1) the prospective primary participant certifies to the best of its knowledge and belief, that it and its principals: The barred creditor can be debarred if he/she provides an application for a claim of debarment. Suspension and debarment actions prevent companies and individuals from participating in government contracts,. (a) are not presently debarred,. Suspensions and debarments are administrative remedies used. Suspension And Debarment Form.
From www.formsbank.com
Fillable Sba Form 1623 Certification Regarding Debarment, Suspension Suspension And Debarment Form The barred creditor can be debarred if he/she provides an application for a claim of debarment. (a) are not presently debarred,. What is suspension and debarment? Suspension and debarment actions prevent companies and individuals from participating in government contracts,. Submit your completed form or letter to usda by: Department of agriculture, office of the assistant secretary for civil rights, 1400.. Suspension And Debarment Form.
From www.pdffiller.com
ED 800013 Certifications Regarding Lobbying, Debarment, Suspension Suspension And Debarment Form (a) are not presently debarred,. (1) the prospective primary participant certifies to the best of its knowledge and belief, that it and its principals: Suspension and debarment actions prevent companies and individuals from participating in government contracts,. The barred creditor can be debarred if he/she provides an application for a claim of debarment. What is suspension and debarment? The form. Suspension And Debarment Form.
From www.slideserve.com
PPT Suspension and Debarment How does it work? PowerPoint Suspension And Debarment Form Suspension and debarment actions prevent companies and individuals from participating in government contracts,. The form requires you to certify that neither your firm nor principals of the firm are debarred or suspended from participating in federal non. (1) the prospective primary participant certifies to the best of its knowledge and belief, that it and its principals: Submit your completed form. Suspension And Debarment Form.
From www.slideserve.com
PPT Suspension & Debarment PowerPoint Presentation, free download Suspension And Debarment Form What is suspension and debarment? Suspensions and debarments are administrative remedies used to prevent the government from. (a) are not presently debarred,. The barred creditor can be debarred if he/she provides an application for a claim of debarment. Department of agriculture, office of the assistant secretary for civil rights, 1400. The form requires you to certify that neither your firm. Suspension And Debarment Form.
From www.slideserve.com
PPT Suspension and Debarment PowerPoint Presentation, free download Suspension And Debarment Form What is suspension and debarment? He/she must prove that his/her negligence is. The barred creditor can be debarred if he/she provides an application for a claim of debarment. Certification regarding debarment, suspension, and other responsibility matters primary covered. (a) are not presently debarred,. Suspension and debarment actions prevent companies and individuals from participating in government contracts,. Submit your completed form. Suspension And Debarment Form.
From www.dreamstime.com
SBA Form 1623 Certification Regarding Debarment, Suspension, and Other Suspension And Debarment Form Suspensions and debarments are administrative remedies used to prevent the government from. The form requires you to certify that neither your firm nor principals of the firm are debarred or suspended from participating in federal non. Submit your completed form or letter to usda by: Certification regarding debarment, suspension, and other responsibility matters primary covered. (1) the prospective primary participant. Suspension And Debarment Form.
From www.signnow.com
Debarment Letter Sample Secure completion airSlate SignNow Suspension And Debarment Form The barred creditor can be debarred if he/she provides an application for a claim of debarment. (a) are not presently debarred,. Department of agriculture, office of the assistant secretary for civil rights, 1400. The form requires you to certify that neither your firm nor principals of the firm are debarred or suspended from participating in federal non. Submit your completed. Suspension And Debarment Form.
From www.pdffiller.com
Fillable Online DEBARMENT OR SUSPENSION CERTIFICATION FORM Fax Email Suspension And Debarment Form What is suspension and debarment? (a) are not presently debarred,. Submit your completed form or letter to usda by: Department of agriculture, office of the assistant secretary for civil rights, 1400. Suspension and debarment actions prevent companies and individuals from participating in government contracts,. (1) the prospective primary participant certifies to the best of its knowledge and belief, that it. Suspension And Debarment Form.
From www.slideserve.com
PPT Suspension and Debarment PowerPoint Presentation, free download Suspension And Debarment Form Certification regarding debarment, suspension, and other responsibility matters primary covered. (1) the prospective primary participant certifies to the best of its knowledge and belief, that it and its principals: The form requires you to certify that neither your firm nor principals of the firm are debarred or suspended from participating in federal non. The barred creditor can be debarred if. Suspension And Debarment Form.
From www.pdffiller.com
Debarment Certification Template Fill Online, Printable, Fillable Suspension And Debarment Form (1) the prospective primary participant certifies to the best of its knowledge and belief, that it and its principals: (a) are not presently debarred,. Suspensions and debarments are administrative remedies used to prevent the government from. What is suspension and debarment? Department of agriculture, office of the assistant secretary for civil rights, 1400. He/she must prove that his/her negligence is.. Suspension And Debarment Form.
From vaforms.net
VA Form 4040089512 Certification Regarding Debarment, Suspension Suspension And Debarment Form Submit your completed form or letter to usda by: (a) are not presently debarred,. The barred creditor can be debarred if he/she provides an application for a claim of debarment. Certification regarding debarment, suspension, and other responsibility matters primary covered. He/she must prove that his/her negligence is. (1) the prospective primary participant certifies to the best of its knowledge and. Suspension And Debarment Form.