Pump Hydraulic Questions . It generates flow with enough power to overcome pressure induced by a load. Answer questions about pump design, individual components, and related principles to find out! Revisiting the basics of hydraulics. Test your knowledge of hydraulic systems with this comprehensive quiz covering components, calculations, pumps, safety concerns, control. This set of mechatronics multiple choice questions & answers (mcqs) focuses on “hydraulic pumps”. A hydraulic pump is a mechanical device that converts mechanical power into hydraulic energy. Interview questions & answers on centrifugal pumps, centrifugal pumps troubleshooting, pumps calculations, pump affinity law calculations. This set of hydraulic machines multiple choice questions & answers. A hydraulic pump is a mechanical device that converts mechanical power into hydraulic energy. Each engaging pump quiz is based on content from our academy training courses,. Quiz yourself with questions and answers for basic hydraulics quiz 1, so you can be ready for test day. Explore quizzes and practice tests.
from www.studypool.com
It generates flow with enough power to overcome pressure induced by a load. Answer questions about pump design, individual components, and related principles to find out! Each engaging pump quiz is based on content from our academy training courses,. Quiz yourself with questions and answers for basic hydraulics quiz 1, so you can be ready for test day. A hydraulic pump is a mechanical device that converts mechanical power into hydraulic energy. This set of hydraulic machines multiple choice questions & answers. Explore quizzes and practice tests. Test your knowledge of hydraulic systems with this comprehensive quiz covering components, calculations, pumps, safety concerns, control. This set of mechatronics multiple choice questions & answers (mcqs) focuses on “hydraulic pumps”. Interview questions & answers on centrifugal pumps, centrifugal pumps troubleshooting, pumps calculations, pump affinity law calculations.
SOLUTION Hydraulics Practice Quiz with Answer and Solution (Quiz 10
Pump Hydraulic Questions Quiz yourself with questions and answers for basic hydraulics quiz 1, so you can be ready for test day. Answer questions about pump design, individual components, and related principles to find out! Each engaging pump quiz is based on content from our academy training courses,. A hydraulic pump is a mechanical device that converts mechanical power into hydraulic energy. Interview questions & answers on centrifugal pumps, centrifugal pumps troubleshooting, pumps calculations, pump affinity law calculations. Quiz yourself with questions and answers for basic hydraulics quiz 1, so you can be ready for test day. This set of mechatronics multiple choice questions & answers (mcqs) focuses on “hydraulic pumps”. A hydraulic pump is a mechanical device that converts mechanical power into hydraulic energy. Explore quizzes and practice tests. It generates flow with enough power to overcome pressure induced by a load. Revisiting the basics of hydraulics. This set of hydraulic machines multiple choice questions & answers. Test your knowledge of hydraulic systems with this comprehensive quiz covering components, calculations, pumps, safety concerns, control.
From www.studypool.com
SOLUTION Fluid mechanics hydraulics questions answers Studypool Pump Hydraulic Questions This set of mechatronics multiple choice questions & answers (mcqs) focuses on “hydraulic pumps”. It generates flow with enough power to overcome pressure induced by a load. Test your knowledge of hydraulic systems with this comprehensive quiz covering components, calculations, pumps, safety concerns, control. Explore quizzes and practice tests. A hydraulic pump is a mechanical device that converts mechanical power. Pump Hydraulic Questions.
From www.academia.edu
(PDF) 61 TOP Hydraulic Machines Mechanical Engineering Multiple choice Pump Hydraulic Questions Quiz yourself with questions and answers for basic hydraulics quiz 1, so you can be ready for test day. Revisiting the basics of hydraulics. Interview questions & answers on centrifugal pumps, centrifugal pumps troubleshooting, pumps calculations, pump affinity law calculations. Test your knowledge of hydraulic systems with this comprehensive quiz covering components, calculations, pumps, safety concerns, control. A hydraulic pump. Pump Hydraulic Questions.
From www.studocu.com
FAQLecture 7 TO 9 very useful LECTURE 7 TO 9 HYDRAULIC PUMPS Pump Hydraulic Questions A hydraulic pump is a mechanical device that converts mechanical power into hydraulic energy. Interview questions & answers on centrifugal pumps, centrifugal pumps troubleshooting, pumps calculations, pump affinity law calculations. Answer questions about pump design, individual components, and related principles to find out! Explore quizzes and practice tests. Test your knowledge of hydraulic systems with this comprehensive quiz covering components,. Pump Hydraulic Questions.
From www.scribd.com
Hydraulics Questions PDF Valve Pump Pump Hydraulic Questions Explore quizzes and practice tests. Revisiting the basics of hydraulics. This set of hydraulic machines multiple choice questions & answers. Answer questions about pump design, individual components, and related principles to find out! Interview questions & answers on centrifugal pumps, centrifugal pumps troubleshooting, pumps calculations, pump affinity law calculations. A hydraulic pump is a mechanical device that converts mechanical power. Pump Hydraulic Questions.
From www.youtube.com
Top Hydraulic Questions And Answers Asked In Interview Part 1hydraulic Pump Hydraulic Questions A hydraulic pump is a mechanical device that converts mechanical power into hydraulic energy. Each engaging pump quiz is based on content from our academy training courses,. Quiz yourself with questions and answers for basic hydraulics quiz 1, so you can be ready for test day. Test your knowledge of hydraulic systems with this comprehensive quiz covering components, calculations, pumps,. Pump Hydraulic Questions.
From www.youtube.com
Hydraulic Example Problem YouTube Pump Hydraulic Questions It generates flow with enough power to overcome pressure induced by a load. A hydraulic pump is a mechanical device that converts mechanical power into hydraulic energy. Explore quizzes and practice tests. Each engaging pump quiz is based on content from our academy training courses,. This set of mechatronics multiple choice questions & answers (mcqs) focuses on “hydraulic pumps”. A. Pump Hydraulic Questions.
From www.scribd.com
Applied Hydraulics Question Paper 1 Pump Hydraulic Questions A hydraulic pump is a mechanical device that converts mechanical power into hydraulic energy. Quiz yourself with questions and answers for basic hydraulics quiz 1, so you can be ready for test day. Answer questions about pump design, individual components, and related principles to find out! Test your knowledge of hydraulic systems with this comprehensive quiz covering components, calculations, pumps,. Pump Hydraulic Questions.
From www.scribd.com
Questions All Questions Just To Be Answered For 5 Marks. TOPICEngine Pump Hydraulic Questions This set of mechatronics multiple choice questions & answers (mcqs) focuses on “hydraulic pumps”. Revisiting the basics of hydraulics. Explore quizzes and practice tests. It generates flow with enough power to overcome pressure induced by a load. Each engaging pump quiz is based on content from our academy training courses,. Answer questions about pump design, individual components, and related principles. Pump Hydraulic Questions.
From www.scribd.com
Hydraulics and Hydraulic Machinery 2009 JNTUK QUESTION PAPER Turbine Pump Hydraulic Questions This set of mechatronics multiple choice questions & answers (mcqs) focuses on “hydraulic pumps”. A hydraulic pump is a mechanical device that converts mechanical power into hydraulic energy. Explore quizzes and practice tests. This set of hydraulic machines multiple choice questions & answers. Each engaging pump quiz is based on content from our academy training courses,. A hydraulic pump is. Pump Hydraulic Questions.
From www.scribd.com
Hydraulic Question Bank PDF Pump Flap (Aeronautics) Pump Hydraulic Questions Interview questions & answers on centrifugal pumps, centrifugal pumps troubleshooting, pumps calculations, pump affinity law calculations. It generates flow with enough power to overcome pressure induced by a load. Answer questions about pump design, individual components, and related principles to find out! Explore quizzes and practice tests. Test your knowledge of hydraulic systems with this comprehensive quiz covering components, calculations,. Pump Hydraulic Questions.
From www.scribd.com
61 Essential Hydraulic Machinery Questions and Answers A Comprehensive Pump Hydraulic Questions Quiz yourself with questions and answers for basic hydraulics quiz 1, so you can be ready for test day. Answer questions about pump design, individual components, and related principles to find out! Interview questions & answers on centrifugal pumps, centrifugal pumps troubleshooting, pumps calculations, pump affinity law calculations. Explore quizzes and practice tests. This set of hydraulic machines multiple choice. Pump Hydraulic Questions.
From www.youtube.com
Hydraulic Interview Questions and Answers Part VI YouTube Pump Hydraulic Questions Interview questions & answers on centrifugal pumps, centrifugal pumps troubleshooting, pumps calculations, pump affinity law calculations. Test your knowledge of hydraulic systems with this comprehensive quiz covering components, calculations, pumps, safety concerns, control. Explore quizzes and practice tests. Answer questions about pump design, individual components, and related principles to find out! Revisiting the basics of hydraulics. This set of hydraulic. Pump Hydraulic Questions.
From www.youtube.com
maxresdefault.jpg Pump Hydraulic Questions This set of hydraulic machines multiple choice questions & answers. Interview questions & answers on centrifugal pumps, centrifugal pumps troubleshooting, pumps calculations, pump affinity law calculations. Answer questions about pump design, individual components, and related principles to find out! Test your knowledge of hydraulic systems with this comprehensive quiz covering components, calculations, pumps, safety concerns, control. It generates flow with. Pump Hydraulic Questions.
From www.morningexam.com
650 Important Hydraulics And Fluid Mechanics MCQ Question and Answer Pump Hydraulic Questions A hydraulic pump is a mechanical device that converts mechanical power into hydraulic energy. Quiz yourself with questions and answers for basic hydraulics quiz 1, so you can be ready for test day. This set of hydraulic machines multiple choice questions & answers. Answer questions about pump design, individual components, and related principles to find out! This set of mechatronics. Pump Hydraulic Questions.
From www.scribd.com
Hydraulics Questions PDF Pump Hydraulic Questions Test your knowledge of hydraulic systems with this comprehensive quiz covering components, calculations, pumps, safety concerns, control. Each engaging pump quiz is based on content from our academy training courses,. Interview questions & answers on centrifugal pumps, centrifugal pumps troubleshooting, pumps calculations, pump affinity law calculations. Explore quizzes and practice tests. Answer questions about pump design, individual components, and related. Pump Hydraulic Questions.
From www.studypool.com
SOLUTION Fluid mechanics hydraulics questions answers Studypool Pump Hydraulic Questions Quiz yourself with questions and answers for basic hydraulics quiz 1, so you can be ready for test day. Answer questions about pump design, individual components, and related principles to find out! Each engaging pump quiz is based on content from our academy training courses,. This set of hydraulic machines multiple choice questions & answers. Revisiting the basics of hydraulics.. Pump Hydraulic Questions.
From www.scribd.com
Hydraulics Questions PDF Pump Valve Pump Hydraulic Questions This set of mechatronics multiple choice questions & answers (mcqs) focuses on “hydraulic pumps”. Revisiting the basics of hydraulics. A hydraulic pump is a mechanical device that converts mechanical power into hydraulic energy. It generates flow with enough power to overcome pressure induced by a load. Answer questions about pump design, individual components, and related principles to find out! Each. Pump Hydraulic Questions.
From guidedbpanpropelment.z21.web.core.windows.net
Diagram Of A Hydraulic Cylinder Pump Hydraulic Questions Explore quizzes and practice tests. This set of hydraulic machines multiple choice questions & answers. Answer questions about pump design, individual components, and related principles to find out! Revisiting the basics of hydraulics. Test your knowledge of hydraulic systems with this comprehensive quiz covering components, calculations, pumps, safety concerns, control. A hydraulic pump is a mechanical device that converts mechanical. Pump Hydraulic Questions.
From www.scribd.com
Hydraulics and Fluid Mechanics Questions & Answers Buoyancy Pressure Pump Hydraulic Questions Interview questions & answers on centrifugal pumps, centrifugal pumps troubleshooting, pumps calculations, pump affinity law calculations. Quiz yourself with questions and answers for basic hydraulics quiz 1, so you can be ready for test day. Test your knowledge of hydraulic systems with this comprehensive quiz covering components, calculations, pumps, safety concerns, control. A hydraulic pump is a mechanical device that. Pump Hydraulic Questions.
From www.studypool.com
SOLUTION Hydraulics Practice Quiz with Answer and Solution (Quiz 10 Pump Hydraulic Questions Explore quizzes and practice tests. Interview questions & answers on centrifugal pumps, centrifugal pumps troubleshooting, pumps calculations, pump affinity law calculations. Test your knowledge of hydraulic systems with this comprehensive quiz covering components, calculations, pumps, safety concerns, control. A hydraulic pump is a mechanical device that converts mechanical power into hydraulic energy. Answer questions about pump design, individual components, and. Pump Hydraulic Questions.
From www.scribd.com
Hydraulic and Pneumatic Question Paper PDF Pump Valve Pump Hydraulic Questions This set of hydraulic machines multiple choice questions & answers. A hydraulic pump is a mechanical device that converts mechanical power into hydraulic energy. Test your knowledge of hydraulic systems with this comprehensive quiz covering components, calculations, pumps, safety concerns, control. A hydraulic pump is a mechanical device that converts mechanical power into hydraulic energy. Explore quizzes and practice tests.. Pump Hydraulic Questions.
From www.youtube.com
Hydraulic pump, hydraulic interview questions and answers,Anku Pump Hydraulic Questions A hydraulic pump is a mechanical device that converts mechanical power into hydraulic energy. Each engaging pump quiz is based on content from our academy training courses,. Answer questions about pump design, individual components, and related principles to find out! A hydraulic pump is a mechanical device that converts mechanical power into hydraulic energy. It generates flow with enough power. Pump Hydraulic Questions.
From www.youtube.com
TOP MOST HYDRAULICS QUESTIONS & ANSWERS YouTube Pump Hydraulic Questions A hydraulic pump is a mechanical device that converts mechanical power into hydraulic energy. Answer questions about pump design, individual components, and related principles to find out! Test your knowledge of hydraulic systems with this comprehensive quiz covering components, calculations, pumps, safety concerns, control. Explore quizzes and practice tests. Revisiting the basics of hydraulics. Each engaging pump quiz is based. Pump Hydraulic Questions.
From www.coursehero.com
[Solved] Hydraulics and Hydrology Question IV. 4. A pump is used to Pump Hydraulic Questions Explore quizzes and practice tests. Quiz yourself with questions and answers for basic hydraulics quiz 1, so you can be ready for test day. A hydraulic pump is a mechanical device that converts mechanical power into hydraulic energy. Answer questions about pump design, individual components, and related principles to find out! A hydraulic pump is a mechanical device that converts. Pump Hydraulic Questions.
From www.pumpindustry.com.au
Pressure recovery in hydraulic systems Pump Industry Magazine Pump Hydraulic Questions Test your knowledge of hydraulic systems with this comprehensive quiz covering components, calculations, pumps, safety concerns, control. This set of mechatronics multiple choice questions & answers (mcqs) focuses on “hydraulic pumps”. A hydraulic pump is a mechanical device that converts mechanical power into hydraulic energy. Interview questions & answers on centrifugal pumps, centrifugal pumps troubleshooting, pumps calculations, pump affinity law. Pump Hydraulic Questions.
From www.scribd.com
Hydraulic Questions For Students PDF Pump Valve Pump Hydraulic Questions Each engaging pump quiz is based on content from our academy training courses,. Quiz yourself with questions and answers for basic hydraulics quiz 1, so you can be ready for test day. A hydraulic pump is a mechanical device that converts mechanical power into hydraulic energy. Test your knowledge of hydraulic systems with this comprehensive quiz covering components, calculations, pumps,. Pump Hydraulic Questions.
From www.theengineerspost.com
Hydraulics and Pneumatics Question paper [2020 updated] Pump Hydraulic Questions Answer questions about pump design, individual components, and related principles to find out! A hydraulic pump is a mechanical device that converts mechanical power into hydraulic energy. Quiz yourself with questions and answers for basic hydraulics quiz 1, so you can be ready for test day. Test your knowledge of hydraulic systems with this comprehensive quiz covering components, calculations, pumps,. Pump Hydraulic Questions.
From mungfali.com
Basic Hydraulic Diagram Pump Hydraulic Questions This set of mechatronics multiple choice questions & answers (mcqs) focuses on “hydraulic pumps”. Answer questions about pump design, individual components, and related principles to find out! Explore quizzes and practice tests. Interview questions & answers on centrifugal pumps, centrifugal pumps troubleshooting, pumps calculations, pump affinity law calculations. A hydraulic pump is a mechanical device that converts mechanical power into. Pump Hydraulic Questions.
From www.chegg.com
Solved Question 1 Figure 1 shows an example of a hydraulic Pump Hydraulic Questions This set of hydraulic machines multiple choice questions & answers. It generates flow with enough power to overcome pressure induced by a load. Answer questions about pump design, individual components, and related principles to find out! A hydraulic pump is a mechanical device that converts mechanical power into hydraulic energy. Explore quizzes and practice tests. Revisiting the basics of hydraulics.. Pump Hydraulic Questions.
From www.nagwa.com
Question Video Calculating the Mechanical Advantage of a Hydraulic Pump Hydraulic Questions Interview questions & answers on centrifugal pumps, centrifugal pumps troubleshooting, pumps calculations, pump affinity law calculations. Revisiting the basics of hydraulics. This set of mechatronics multiple choice questions & answers (mcqs) focuses on “hydraulic pumps”. Quiz yourself with questions and answers for basic hydraulics quiz 1, so you can be ready for test day. Each engaging pump quiz is based. Pump Hydraulic Questions.
From www.studypool.com
SOLUTION Fluid mechanics hydraulics questions answers Studypool Pump Hydraulic Questions Test your knowledge of hydraulic systems with this comprehensive quiz covering components, calculations, pumps, safety concerns, control. A hydraulic pump is a mechanical device that converts mechanical power into hydraulic energy. Explore quizzes and practice tests. It generates flow with enough power to overcome pressure induced by a load. Answer questions about pump design, individual components, and related principles to. Pump Hydraulic Questions.
From www.youtube.com
Pascal's Principle, Hydraulic Lift System, Pascal's Law of Pressure Pump Hydraulic Questions Answer questions about pump design, individual components, and related principles to find out! Interview questions & answers on centrifugal pumps, centrifugal pumps troubleshooting, pumps calculations, pump affinity law calculations. Each engaging pump quiz is based on content from our academy training courses,. Revisiting the basics of hydraulics. This set of mechatronics multiple choice questions & answers (mcqs) focuses on “hydraulic. Pump Hydraulic Questions.
From www.youtube.com
Top 50 Hydraulic Machines Mechanical interview questions and answers Pump Hydraulic Questions Each engaging pump quiz is based on content from our academy training courses,. Quiz yourself with questions and answers for basic hydraulics quiz 1, so you can be ready for test day. Test your knowledge of hydraulic systems with this comprehensive quiz covering components, calculations, pumps, safety concerns, control. This set of hydraulic machines multiple choice questions & answers. Answer. Pump Hydraulic Questions.
From www.aircraftsystemstech.com
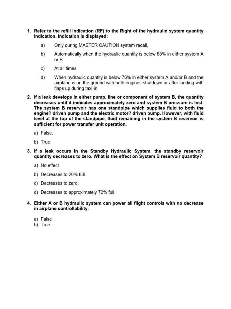
Questions Aircraft Hydraulic and Pneumatic Power Systems Pump Hydraulic Questions Revisiting the basics of hydraulics. This set of mechatronics multiple choice questions & answers (mcqs) focuses on “hydraulic pumps”. Explore quizzes and practice tests. Interview questions & answers on centrifugal pumps, centrifugal pumps troubleshooting, pumps calculations, pump affinity law calculations. It generates flow with enough power to overcome pressure induced by a load. Quiz yourself with questions and answers for. Pump Hydraulic Questions.
From www.slideshare.net
Understanding a basic hydraulic circuit 01 Pump Hydraulic Questions Explore quizzes and practice tests. This set of hydraulic machines multiple choice questions & answers. Test your knowledge of hydraulic systems with this comprehensive quiz covering components, calculations, pumps, safety concerns, control. This set of mechatronics multiple choice questions & answers (mcqs) focuses on “hydraulic pumps”. A hydraulic pump is a mechanical device that converts mechanical power into hydraulic energy.. Pump Hydraulic Questions.