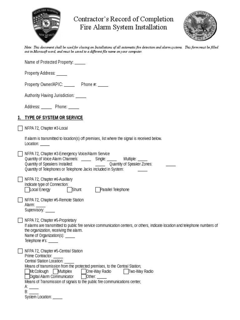
Fire Alarm System Record Of Completion Example . Fire alarm and emergency communication system record of completion. This form is a supplement to the system record of completion. Representative of protected property (name/phone): The fire alarm system record of completion is a document provided by the national fire protection association (nfpa) that certifies that a fire alarm system has been installed and meets the required. Fire alarm system record of completion. To be completed by the system installation contractor at the time. The enclosed forms have been extracted from nfpa 72® national fire alarm and signaling code, 2019 edition, and. It includes systems and components specific to emergency communications systems. Record of system installation (fill out after installation is complete and wiring is checked for opens, shorts, ground faults, and improper.
from studylib.net
Representative of protected property (name/phone): This form is a supplement to the system record of completion. Record of system installation (fill out after installation is complete and wiring is checked for opens, shorts, ground faults, and improper. The enclosed forms have been extracted from nfpa 72® national fire alarm and signaling code, 2019 edition, and. It includes systems and components specific to emergency communications systems. Fire alarm system record of completion. The fire alarm system record of completion is a document provided by the national fire protection association (nfpa) that certifies that a fire alarm system has been installed and meets the required. To be completed by the system installation contractor at the time. Fire alarm and emergency communication system record of completion.
fire alarm system record of completion
Fire Alarm System Record Of Completion Example The fire alarm system record of completion is a document provided by the national fire protection association (nfpa) that certifies that a fire alarm system has been installed and meets the required. It includes systems and components specific to emergency communications systems. Fire alarm and emergency communication system record of completion. To be completed by the system installation contractor at the time. This form is a supplement to the system record of completion. Representative of protected property (name/phone): Record of system installation (fill out after installation is complete and wiring is checked for opens, shorts, ground faults, and improper. The enclosed forms have been extracted from nfpa 72® national fire alarm and signaling code, 2019 edition, and. The fire alarm system record of completion is a document provided by the national fire protection association (nfpa) that certifies that a fire alarm system has been installed and meets the required. Fire alarm system record of completion.
From joyfill.io
Fire Alarm System Record of Completion Form Joyfill Fire Alarm System Record Of Completion Example The enclosed forms have been extracted from nfpa 72® national fire alarm and signaling code, 2019 edition, and. It includes systems and components specific to emergency communications systems. Record of system installation (fill out after installation is complete and wiring is checked for opens, shorts, ground faults, and improper. Fire alarm system record of completion. Representative of protected property (name/phone):. Fire Alarm System Record Of Completion Example.
From www.scribd.com
Fire Alarm Record of Completion Electrical Engineering Electronics Fire Alarm System Record Of Completion Example This form is a supplement to the system record of completion. Fire alarm system record of completion. Record of system installation (fill out after installation is complete and wiring is checked for opens, shorts, ground faults, and improper. Representative of protected property (name/phone): It includes systems and components specific to emergency communications systems. To be completed by the system installation. Fire Alarm System Record Of Completion Example.
From www.formsbank.com
Nfpa 72, Fire Alarm System Record Of Completion Form printable pdf download Fire Alarm System Record Of Completion Example It includes systems and components specific to emergency communications systems. The enclosed forms have been extracted from nfpa 72® national fire alarm and signaling code, 2019 edition, and. Record of system installation (fill out after installation is complete and wiring is checked for opens, shorts, ground faults, and improper. To be completed by the system installation contractor at the time.. Fire Alarm System Record Of Completion Example.
From www.uslegalforms.com
Fire Alarm System Certificate of Completion 19982021 Fill and Sign Fire Alarm System Record Of Completion Example Record of system installation (fill out after installation is complete and wiring is checked for opens, shorts, ground faults, and improper. Fire alarm and emergency communication system record of completion. Representative of protected property (name/phone): To be completed by the system installation contractor at the time. This form is a supplement to the system record of completion. The fire alarm. Fire Alarm System Record Of Completion Example.
From www.templateroller.com
Fire Alarm System Record of Completion National Fire Protection Fire Alarm System Record Of Completion Example It includes systems and components specific to emergency communications systems. The enclosed forms have been extracted from nfpa 72® national fire alarm and signaling code, 2019 edition, and. Record of system installation (fill out after installation is complete and wiring is checked for opens, shorts, ground faults, and improper. The fire alarm system record of completion is a document provided. Fire Alarm System Record Of Completion Example.
From afaastore.payscapecommerce.com
Fire Alarm Record of Completion Forms 2013 Fire Alarm System Record Of Completion Example The fire alarm system record of completion is a document provided by the national fire protection association (nfpa) that certifies that a fire alarm system has been installed and meets the required. The enclosed forms have been extracted from nfpa 72® national fire alarm and signaling code, 2019 edition, and. Fire alarm and emergency communication system record of completion. To. Fire Alarm System Record Of Completion Example.
From www.scribd.com
FIRE DETECTION AND ALARM SYSTEM (Record of Completion) PDF Switch Fire Alarm System Record Of Completion Example To be completed by the system installation contractor at the time. Fire alarm and emergency communication system record of completion. This form is a supplement to the system record of completion. Record of system installation (fill out after installation is complete and wiring is checked for opens, shorts, ground faults, and improper. It includes systems and components specific to emergency. Fire Alarm System Record Of Completion Example.
From studylib.net
fire alarm system record of completion Fire Alarm System Record Of Completion Example This form is a supplement to the system record of completion. It includes systems and components specific to emergency communications systems. The enclosed forms have been extracted from nfpa 72® national fire alarm and signaling code, 2019 edition, and. Record of system installation (fill out after installation is complete and wiring is checked for opens, shorts, ground faults, and improper.. Fire Alarm System Record Of Completion Example.
From safe.pics
Forms for Record of Completion, Record of Inspection and Testing, and Fire Alarm System Record Of Completion Example Representative of protected property (name/phone): It includes systems and components specific to emergency communications systems. The fire alarm system record of completion is a document provided by the national fire protection association (nfpa) that certifies that a fire alarm system has been installed and meets the required. To be completed by the system installation contractor at the time. This form. Fire Alarm System Record Of Completion Example.
From afaastore.payscapecommerce.com
Fire Alarm Record of Completion Forms 2007 Fire Alarm System Record Of Completion Example Record of system installation (fill out after installation is complete and wiring is checked for opens, shorts, ground faults, and improper. Representative of protected property (name/phone): This form is a supplement to the system record of completion. The fire alarm system record of completion is a document provided by the national fire protection association (nfpa) that certifies that a fire. Fire Alarm System Record Of Completion Example.
From www.formsbank.com
7 Nfpa Forms And Templates free to download in PDF Fire Alarm System Record Of Completion Example The enclosed forms have been extracted from nfpa 72® national fire alarm and signaling code, 2019 edition, and. This form is a supplement to the system record of completion. Representative of protected property (name/phone): Fire alarm system record of completion. Fire alarm and emergency communication system record of completion. Record of system installation (fill out after installation is complete and. Fire Alarm System Record Of Completion Example.
From www.dochub.com
Fire alarm test report template Fill out & sign online DocHub Fire Alarm System Record Of Completion Example This form is a supplement to the system record of completion. Record of system installation (fill out after installation is complete and wiring is checked for opens, shorts, ground faults, and improper. To be completed by the system installation contractor at the time. Fire alarm and emergency communication system record of completion. The fire alarm system record of completion is. Fire Alarm System Record Of Completion Example.
From www.templateroller.com
Fire Alarm System Record of Completion National Fire Protection Fire Alarm System Record Of Completion Example It includes systems and components specific to emergency communications systems. Fire alarm system record of completion. Record of system installation (fill out after installation is complete and wiring is checked for opens, shorts, ground faults, and improper. Representative of protected property (name/phone): The enclosed forms have been extracted from nfpa 72® national fire alarm and signaling code, 2019 edition, and.. Fire Alarm System Record Of Completion Example.
From studylib.net
fire alarm system record of completion Fire Alarm System Record Of Completion Example Representative of protected property (name/phone): The enclosed forms have been extracted from nfpa 72® national fire alarm and signaling code, 2019 edition, and. To be completed by the system installation contractor at the time. Fire alarm and emergency communication system record of completion. This form is a supplement to the system record of completion. The fire alarm system record of. Fire Alarm System Record Of Completion Example.
From firealarmsystempotaida.blogspot.com
Fire Alarm System Fire Alarm System Record Of Completion Fire Alarm System Record Of Completion Example It includes systems and components specific to emergency communications systems. Record of system installation (fill out after installation is complete and wiring is checked for opens, shorts, ground faults, and improper. To be completed by the system installation contractor at the time. This form is a supplement to the system record of completion. The fire alarm system record of completion. Fire Alarm System Record Of Completion Example.
From www.yumpu.com
Fire Alarm System Record of Completion Form Utah County Fire Alarm System Record Of Completion Example To be completed by the system installation contractor at the time. Representative of protected property (name/phone): This form is a supplement to the system record of completion. It includes systems and components specific to emergency communications systems. Record of system installation (fill out after installation is complete and wiring is checked for opens, shorts, ground faults, and improper. The fire. Fire Alarm System Record Of Completion Example.
From firealarmsystempotaida.blogspot.com
Fire Alarm System Fire Alarm System Record Of Completion Form 2012 Fire Alarm System Record Of Completion Example The enclosed forms have been extracted from nfpa 72® national fire alarm and signaling code, 2019 edition, and. Representative of protected property (name/phone): Fire alarm system record of completion. The fire alarm system record of completion is a document provided by the national fire protection association (nfpa) that certifies that a fire alarm system has been installed and meets the. Fire Alarm System Record Of Completion Example.
From www.pdffiller.com
Fillable Online Fire Alarm System Record of Completion isliptown Fire Alarm System Record Of Completion Example The enclosed forms have been extracted from nfpa 72® national fire alarm and signaling code, 2019 edition, and. Representative of protected property (name/phone): It includes systems and components specific to emergency communications systems. To be completed by the system installation contractor at the time. Fire alarm and emergency communication system record of completion. This form is a supplement to the. Fire Alarm System Record Of Completion Example.
From www.templateroller.com
Fire Alarm System Record of Completion National Fire Protection Fire Alarm System Record Of Completion Example Fire alarm and emergency communication system record of completion. The fire alarm system record of completion is a document provided by the national fire protection association (nfpa) that certifies that a fire alarm system has been installed and meets the required. This form is a supplement to the system record of completion. It includes systems and components specific to emergency. Fire Alarm System Record Of Completion Example.
From dokumen.tips
(PDF) Fire Alarm Record of Completion DOKUMEN.TIPS Fire Alarm System Record Of Completion Example Fire alarm system record of completion. Record of system installation (fill out after installation is complete and wiring is checked for opens, shorts, ground faults, and improper. This form is a supplement to the system record of completion. Representative of protected property (name/phone): The fire alarm system record of completion is a document provided by the national fire protection association. Fire Alarm System Record Of Completion Example.
From www.templateroller.com
Fire Alarm System Record of Completion National Fire Protection Fire Alarm System Record Of Completion Example Fire alarm system record of completion. The enclosed forms have been extracted from nfpa 72® national fire alarm and signaling code, 2019 edition, and. Fire alarm and emergency communication system record of completion. This form is a supplement to the system record of completion. Record of system installation (fill out after installation is complete and wiring is checked for opens,. Fire Alarm System Record Of Completion Example.
From www.uslegalforms.com
How To Fill Out Nfpa 72 Record Of Completion Fill and Sign Printable Fire Alarm System Record Of Completion Example Record of system installation (fill out after installation is complete and wiring is checked for opens, shorts, ground faults, and improper. Fire alarm and emergency communication system record of completion. Fire alarm system record of completion. It includes systems and components specific to emergency communications systems. This form is a supplement to the system record of completion. To be completed. Fire Alarm System Record Of Completion Example.
From up.codes
Chapter 7 Documentation Documentation, Los Angeles City Fire Alarm Fire Alarm System Record Of Completion Example It includes systems and components specific to emergency communications systems. The enclosed forms have been extracted from nfpa 72® national fire alarm and signaling code, 2019 edition, and. Record of system installation (fill out after installation is complete and wiring is checked for opens, shorts, ground faults, and improper. Fire alarm system record of completion. The fire alarm system record. Fire Alarm System Record Of Completion Example.
From safe.pics
Forms for Record of Completion, Record of Inspection and Testing, and Fire Alarm System Record Of Completion Example Representative of protected property (name/phone): Record of system installation (fill out after installation is complete and wiring is checked for opens, shorts, ground faults, and improper. To be completed by the system installation contractor at the time. It includes systems and components specific to emergency communications systems. The fire alarm system record of completion is a document provided by the. Fire Alarm System Record Of Completion Example.
From fill.io
Fill Free fillable 72 FIRE ALARM RECORD OF COMPLETION REV1.PDF PDF form Fire Alarm System Record Of Completion Example Representative of protected property (name/phone): Fire alarm system record of completion. To be completed by the system installation contractor at the time. Record of system installation (fill out after installation is complete and wiring is checked for opens, shorts, ground faults, and improper. It includes systems and components specific to emergency communications systems. The fire alarm system record of completion. Fire Alarm System Record Of Completion Example.
From safe.pics
Forms for Record of Completion, Record of Inspection and Testing, and Fire Alarm System Record Of Completion Example It includes systems and components specific to emergency communications systems. Fire alarm system record of completion. This form is a supplement to the system record of completion. The enclosed forms have been extracted from nfpa 72® national fire alarm and signaling code, 2019 edition, and. Fire alarm and emergency communication system record of completion. Record of system installation (fill out. Fire Alarm System Record Of Completion Example.
From dokumen.tips
(DOC) FIRE ALARM SYSTEM RECORD OF COMPLETION viewfire alarm system Fire Alarm System Record Of Completion Example Record of system installation (fill out after installation is complete and wiring is checked for opens, shorts, ground faults, and improper. This form is a supplement to the system record of completion. To be completed by the system installation contractor at the time. Fire alarm and emergency communication system record of completion. The enclosed forms have been extracted from nfpa. Fire Alarm System Record Of Completion Example.
From safe.pics
Forms for Record of Completion, Record of Inspection and Testing, and Fire Alarm System Record Of Completion Example This form is a supplement to the system record of completion. Fire alarm system record of completion. To be completed by the system installation contractor at the time. The fire alarm system record of completion is a document provided by the national fire protection association (nfpa) that certifies that a fire alarm system has been installed and meets the required.. Fire Alarm System Record Of Completion Example.
From www.yumpu.com
fire alarm system record of completion National Fire Protection Fire Alarm System Record Of Completion Example To be completed by the system installation contractor at the time. This form is a supplement to the system record of completion. The enclosed forms have been extracted from nfpa 72® national fire alarm and signaling code, 2019 edition, and. The fire alarm system record of completion is a document provided by the national fire protection association (nfpa) that certifies. Fire Alarm System Record Of Completion Example.
From studylib.net
FIRE ALARM SYSTEM RECORD OF COMPLETION Fire Alarm System Record Of Completion Example Fire alarm system record of completion. To be completed by the system installation contractor at the time. This form is a supplement to the system record of completion. Record of system installation (fill out after installation is complete and wiring is checked for opens, shorts, ground faults, and improper. It includes systems and components specific to emergency communications systems. Representative. Fire Alarm System Record Of Completion Example.
From studylib.net
FIRE ALARM SYSTEM RECORD OF COMPLETION Fire Alarm System Record Of Completion Example Representative of protected property (name/phone): To be completed by the system installation contractor at the time. Record of system installation (fill out after installation is complete and wiring is checked for opens, shorts, ground faults, and improper. Fire alarm and emergency communication system record of completion. The enclosed forms have been extracted from nfpa 72® national fire alarm and signaling. Fire Alarm System Record Of Completion Example.
From www.scribd.com
Fire Alarm System Record of Completion PDF Telephone Fire Alarm System Record Of Completion Example The enclosed forms have been extracted from nfpa 72® national fire alarm and signaling code, 2019 edition, and. To be completed by the system installation contractor at the time. Record of system installation (fill out after installation is complete and wiring is checked for opens, shorts, ground faults, and improper. Representative of protected property (name/phone): The fire alarm system record. Fire Alarm System Record Of Completion Example.
From www.scribd.com
Fire Alarm System Record of Completion PDF Telephone Equipment Fire Alarm System Record Of Completion Example The fire alarm system record of completion is a document provided by the national fire protection association (nfpa) that certifies that a fire alarm system has been installed and meets the required. Representative of protected property (name/phone): Fire alarm and emergency communication system record of completion. Fire alarm system record of completion. To be completed by the system installation contractor. Fire Alarm System Record Of Completion Example.
From mavink.com
Fire Alarm Certificate Of Completion Fire Alarm System Record Of Completion Example Representative of protected property (name/phone): The enclosed forms have been extracted from nfpa 72® national fire alarm and signaling code, 2019 edition, and. This form is a supplement to the system record of completion. Fire alarm system record of completion. It includes systems and components specific to emergency communications systems. Record of system installation (fill out after installation is complete. Fire Alarm System Record Of Completion Example.
From issuu.com
Fire alarm system record of completion nfpa by RandyDantzler4285 Issuu Fire Alarm System Record Of Completion Example This form is a supplement to the system record of completion. To be completed by the system installation contractor at the time. The fire alarm system record of completion is a document provided by the national fire protection association (nfpa) that certifies that a fire alarm system has been installed and meets the required. Record of system installation (fill out. Fire Alarm System Record Of Completion Example.