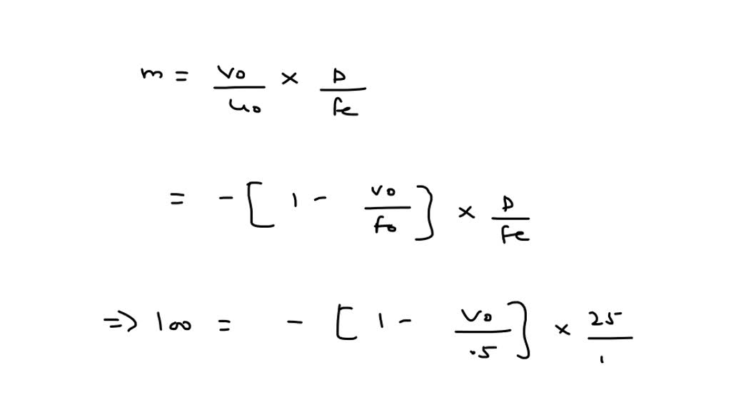
A Compound Microscope Has A Magnifying Power Of 100 . Step by step video, text & image solution for a compound microscope has a magnifying power of 100 when the image is. A compound microscope has a magnifying power of 100 when the image is formed at infinity. A compound microscope has a magnifying power of 100 when the image is formed at infinity. The objective has a focal length of 0.5 cm and. The compound microscope is a magnifier of close objects with a high angular magnification, generally more than \(30 \times\). The first element of the compound microscope is an objective (in figure \(\pageindex{1}\) a simple positive lens) which makes a real. The objective has a focal length of 0.5 cm and the. For a compound microscope with the image formed at infinity, the magnifying power is given by: The objective has a focal. The objective has a focal length of 0.5 cm and the tube length is 6.5 cm. A compound microscope has a magnifying power of 100 when the image is formed at infinity. A compound microscope has a magnifying power of 100 when the image is formed at infinity. It was invented by zacharias janssen in middelburg in 1590 (this claim is disputed). The objective has a focal length of 0.5 cm and the. A compound microscope has a magnifying power of 100 when the image is formed at infinity.
from www.doubtnut.com
The objective has a focal. The objective has a focal length of 0.5 cm and the. For a compound microscope with the image formed at infinity, the magnifying power is given by: A compound microscope has a magnifying power of 100 when the image is formed at infinity. A compound microscope has a magnifying power of 100 when the image is formed at infinity. The compound microscope is a magnifier of close objects with a high angular magnification, generally more than \(30 \times\). A compound microscope has a magnifying power of 100 when the image is formed at infinity. A compound microscope has a magnifying power of 100 when the image is formed at infinity. The objective has a focal length of 0.5 cm and the tube length is 6.5 cm. Step by step video, text & image solution for a compound microscope has a magnifying power of 100 when the image is.
The compound microscope is of magnifying power is 100.The magnifying
A Compound Microscope Has A Magnifying Power Of 100 The first element of the compound microscope is an objective (in figure \(\pageindex{1}\) a simple positive lens) which makes a real. The compound microscope is a magnifier of close objects with a high angular magnification, generally more than \(30 \times\). It was invented by zacharias janssen in middelburg in 1590 (this claim is disputed). The objective has a focal length of 0.5 cm and. The objective has a focal length of 0.5 cm and the tube length is 6.5 cm. For a compound microscope with the image formed at infinity, the magnifying power is given by: A compound microscope has a magnifying power of 100 when the image is formed at infinity. A compound microscope has a magnifying power of 100 when the image is formed at infinity. A compound microscope has a magnifying power of 100 when the image is formed at infinity. A compound microscope has a magnifying power of 100 when the image is formed at infinity. The first element of the compound microscope is an objective (in figure \(\pageindex{1}\) a simple positive lens) which makes a real. Step by step video, text & image solution for a compound microscope has a magnifying power of 100 when the image is. The objective has a focal length of 0.5 cm and the. The objective has a focal. The objective has a focal length of 0.5 cm and the. A compound microscope has a magnifying power of 100 when the image is formed at infinity.
From www.numerade.com
SOLVEDA compound microscope has a magnifying power of 100 when the A Compound Microscope Has A Magnifying Power Of 100 A compound microscope has a magnifying power of 100 when the image is formed at infinity. A compound microscope has a magnifying power of 100 when the image is formed at infinity. The objective has a focal length of 0.5 cm and the. It was invented by zacharias janssen in middelburg in 1590 (this claim is disputed). A compound microscope. A Compound Microscope Has A Magnifying Power Of 100.
From www.emedicalpictures.com
Parts of a Compound Microscope Labeled (with diagrams) Medical A Compound Microscope Has A Magnifying Power Of 100 The compound microscope is a magnifier of close objects with a high angular magnification, generally more than \(30 \times\). A compound microscope has a magnifying power of 100 when the image is formed at infinity. The objective has a focal length of 0.5 cm and the tube length is 6.5 cm. The first element of the compound microscope is an. A Compound Microscope Has A Magnifying Power Of 100.
From www.toppr.com
A compound microscope is of magnifying power 100. The magnifying power A Compound Microscope Has A Magnifying Power Of 100 A compound microscope has a magnifying power of 100 when the image is formed at infinity. The compound microscope is a magnifier of close objects with a high angular magnification, generally more than \(30 \times\). The objective has a focal. The objective has a focal length of 0.5 cm and the. The objective has a focal length of 0.5 cm. A Compound Microscope Has A Magnifying Power Of 100.
From www.toppr.com
(a) Draw the labelled ray diagram the formation of image by a compound A Compound Microscope Has A Magnifying Power Of 100 The objective has a focal. A compound microscope has a magnifying power of 100 when the image is formed at infinity. A compound microscope has a magnifying power of 100 when the image is formed at infinity. The objective has a focal length of 0.5 cm and. A compound microscope has a magnifying power of 100 when the image is. A Compound Microscope Has A Magnifying Power Of 100.
From www.toppr.com
A compound microscope having magnifying power 35 with its eye piece A Compound Microscope Has A Magnifying Power Of 100 A compound microscope has a magnifying power of 100 when the image is formed at infinity. A compound microscope has a magnifying power of 100 when the image is formed at infinity. The objective has a focal length of 0.5 cm and the. The objective has a focal length of 0.5 cm and. A compound microscope has a magnifying power. A Compound Microscope Has A Magnifying Power Of 100.
From www.toppr.com
A compound microscope is of magnifying power 100. The magnifying power A Compound Microscope Has A Magnifying Power Of 100 For a compound microscope with the image formed at infinity, the magnifying power is given by: The first element of the compound microscope is an objective (in figure \(\pageindex{1}\) a simple positive lens) which makes a real. The objective has a focal length of 0.5 cm and the. The objective has a focal length of 0.5 cm and the tube. A Compound Microscope Has A Magnifying Power Of 100.
From textbolem.web.fc2.com
Microscope Magnification A Compound Microscope Has A Magnifying Power Of 100 A compound microscope has a magnifying power of 100 when the image is formed at infinity. The objective has a focal length of 0.5 cm and. Step by step video, text & image solution for a compound microscope has a magnifying power of 100 when the image is. The first element of the compound microscope is an objective (in figure. A Compound Microscope Has A Magnifying Power Of 100.
From www.microscopeclub.com
Parts of A Compound Microscope » Microscope Club A Compound Microscope Has A Magnifying Power Of 100 The objective has a focal length of 0.5 cm and. The compound microscope is a magnifier of close objects with a high angular magnification, generally more than \(30 \times\). A compound microscope has a magnifying power of 100 when the image is formed at infinity. A compound microscope has a magnifying power of 100 when the image is formed at. A Compound Microscope Has A Magnifying Power Of 100.
From www.toppr.com
A compound microscope is of magnifying power 100. The magnifying power A Compound Microscope Has A Magnifying Power Of 100 The first element of the compound microscope is an objective (in figure \(\pageindex{1}\) a simple positive lens) which makes a real. A compound microscope has a magnifying power of 100 when the image is formed at infinity. The compound microscope is a magnifier of close objects with a high angular magnification, generally more than \(30 \times\). The objective has a. A Compound Microscope Has A Magnifying Power Of 100.
From www.doubtnut.com
A compound microscope has a magnifying power of 100 when the image is A Compound Microscope Has A Magnifying Power Of 100 A compound microscope has a magnifying power of 100 when the image is formed at infinity. The objective has a focal length of 0.5 cm and the. The compound microscope is a magnifier of close objects with a high angular magnification, generally more than \(30 \times\). The objective has a focal length of 0.5 cm and the tube length is. A Compound Microscope Has A Magnifying Power Of 100.
From microscopy4kids.org
Compound microscope their parts and function Microscopy4kids A Compound Microscope Has A Magnifying Power Of 100 The objective has a focal length of 0.5 cm and the. The objective has a focal length of 0.5 cm and. A compound microscope has a magnifying power of 100 when the image is formed at infinity. For a compound microscope with the image formed at infinity, the magnifying power is given by: A compound microscope has a magnifying power. A Compound Microscope Has A Magnifying Power Of 100.
From www.aakash.ac.in
Compound Microscope Diagram, Parts, Working & Magnification AESL A Compound Microscope Has A Magnifying Power Of 100 A compound microscope has a magnifying power of 100 when the image is formed at infinity. A compound microscope has a magnifying power of 100 when the image is formed at infinity. A compound microscope has a magnifying power of 100 when the image is formed at infinity. Step by step video, text & image solution for a compound microscope. A Compound Microscope Has A Magnifying Power Of 100.
From www.toppr.com
A compound microscope has a magnifying power of 100 when the image is A Compound Microscope Has A Magnifying Power Of 100 For a compound microscope with the image formed at infinity, the magnifying power is given by: A compound microscope has a magnifying power of 100 when the image is formed at infinity. A compound microscope has a magnifying power of 100 when the image is formed at infinity. The objective has a focal length of 0.5 cm and the. The. A Compound Microscope Has A Magnifying Power Of 100.
From www.toppr.com
A compound microscope has a magnifying power of 100 when the image is A Compound Microscope Has A Magnifying Power Of 100 The first element of the compound microscope is an objective (in figure \(\pageindex{1}\) a simple positive lens) which makes a real. A compound microscope has a magnifying power of 100 when the image is formed at infinity. For a compound microscope with the image formed at infinity, the magnifying power is given by: The objective has a focal length of. A Compound Microscope Has A Magnifying Power Of 100.
From www.toppr.com
Define the magnifying power of a compound microscope when the final A Compound Microscope Has A Magnifying Power Of 100 A compound microscope has a magnifying power of 100 when the image is formed at infinity. The objective has a focal length of 0.5 cm and. The objective has a focal length of 0.5 cm and the. The objective has a focal. The objective has a focal length of 0.5 cm and the tube length is 6.5 cm. The first. A Compound Microscope Has A Magnifying Power Of 100.
From shellysavonlea.net
Magnifying Power Of Compound Light Microscope Shelly Lighting A Compound Microscope Has A Magnifying Power Of 100 The objective has a focal length of 0.5 cm and the tube length is 6.5 cm. It was invented by zacharias janssen in middelburg in 1590 (this claim is disputed). For a compound microscope with the image formed at infinity, the magnifying power is given by: The compound microscope is a magnifier of close objects with a high angular magnification,. A Compound Microscope Has A Magnifying Power Of 100.
From kunduz.com
[ANSWERED] 51 A compound microscope has a magnifying power of 100 when A Compound Microscope Has A Magnifying Power Of 100 Step by step video, text & image solution for a compound microscope has a magnifying power of 100 when the image is. A compound microscope has a magnifying power of 100 when the image is formed at infinity. A compound microscope has a magnifying power of 100 when the image is formed at infinity. The objective has a focal length. A Compound Microscope Has A Magnifying Power Of 100.
From www.aakash.ac.in
Compound Microscope Diagram, Parts, Working & Magnification AESL A Compound Microscope Has A Magnifying Power Of 100 The objective has a focal length of 0.5 cm and the tube length is 6.5 cm. A compound microscope has a magnifying power of 100 when the image is formed at infinity. The first element of the compound microscope is an objective (in figure \(\pageindex{1}\) a simple positive lens) which makes a real. The objective has a focal. The compound. A Compound Microscope Has A Magnifying Power Of 100.
From www.toppr.com
A compound microscope has a magnifying power of 100 when the image is A Compound Microscope Has A Magnifying Power Of 100 The objective has a focal. It was invented by zacharias janssen in middelburg in 1590 (this claim is disputed). For a compound microscope with the image formed at infinity, the magnifying power is given by: Step by step video, text & image solution for a compound microscope has a magnifying power of 100 when the image is. A compound microscope. A Compound Microscope Has A Magnifying Power Of 100.
From www.numerade.com
SOLVED A compound microscope has two lenses. The magnifying power of A Compound Microscope Has A Magnifying Power Of 100 The objective has a focal. A compound microscope has a magnifying power of 100 when the image is formed at infinity. A compound microscope has a magnifying power of 100 when the image is formed at infinity. The objective has a focal length of 0.5 cm and. The objective has a focal length of 0.5 cm and the tube length. A Compound Microscope Has A Magnifying Power Of 100.
From guidelibstoitering.z21.web.core.windows.net
Microscope Diagram And Labels A Compound Microscope Has A Magnifying Power Of 100 The first element of the compound microscope is an objective (in figure \(\pageindex{1}\) a simple positive lens) which makes a real. The objective has a focal. The objective has a focal length of 0.5 cm and the. A compound microscope has a magnifying power of 100 when the image is formed at infinity. A compound microscope has a magnifying power. A Compound Microscope Has A Magnifying Power Of 100.
From www.embibe.com
With the help of a labelled ray diagram show the image formation by a A Compound Microscope Has A Magnifying Power Of 100 The compound microscope is a magnifier of close objects with a high angular magnification, generally more than \(30 \times\). A compound microscope has a magnifying power of 100 when the image is formed at infinity. The objective has a focal length of 0.5 cm and the. The objective has a focal length of 0.5 cm and the. The objective has. A Compound Microscope Has A Magnifying Power Of 100.
From www.scribd.com
Magnifying Power of A Compound Microscope PDF A Compound Microscope Has A Magnifying Power Of 100 A compound microscope has a magnifying power of 100 when the image is formed at infinity. A compound microscope has a magnifying power of 100 when the image is formed at infinity. A compound microscope has a magnifying power of 100 when the image is formed at infinity. The objective has a focal length of 0.5 cm and the tube. A Compound Microscope Has A Magnifying Power Of 100.
From askfilo.com
1. Define the magnifying power of a compound microscope when the final im.. A Compound Microscope Has A Magnifying Power Of 100 The objective has a focal length of 0.5 cm and. The objective has a focal. A compound microscope has a magnifying power of 100 when the image is formed at infinity. A compound microscope has a magnifying power of 100 when the image is formed at infinity. The objective has a focal length of 0.5 cm and the. A compound. A Compound Microscope Has A Magnifying Power Of 100.
From www.doubtnut.com
The compound microscope is of magnifying power is 100.The magnifying A Compound Microscope Has A Magnifying Power Of 100 Step by step video, text & image solution for a compound microscope has a magnifying power of 100 when the image is. A compound microscope has a magnifying power of 100 when the image is formed at infinity. The objective has a focal length of 0.5 cm and. The compound microscope is a magnifier of close objects with a high. A Compound Microscope Has A Magnifying Power Of 100.
From www.aakash.ac.in
Compound Microscope Diagram, Parts, Working & Magnification AESL A Compound Microscope Has A Magnifying Power Of 100 The objective has a focal length of 0.5 cm and the tube length is 6.5 cm. A compound microscope has a magnifying power of 100 when the image is formed at infinity. The objective has a focal length of 0.5 cm and the. The objective has a focal. A compound microscope has a magnifying power of 100 when the image. A Compound Microscope Has A Magnifying Power Of 100.
From www.doubtnut.com
The magnifying power of compound microscope in terms of the magnificat A Compound Microscope Has A Magnifying Power Of 100 Step by step video, text & image solution for a compound microscope has a magnifying power of 100 when the image is. A compound microscope has a magnifying power of 100 when the image is formed at infinity. The compound microscope is a magnifier of close objects with a high angular magnification, generally more than \(30 \times\). The objective has. A Compound Microscope Has A Magnifying Power Of 100.
From www.youtube.com
A compound microscope has a magnifying power of 100 when the image is A Compound Microscope Has A Magnifying Power Of 100 A compound microscope has a magnifying power of 100 when the image is formed at infinity. The first element of the compound microscope is an objective (in figure \(\pageindex{1}\) a simple positive lens) which makes a real. The objective has a focal length of 0.5 cm and the. The compound microscope is a magnifier of close objects with a high. A Compound Microscope Has A Magnifying Power Of 100.
From www.toppr.com
A compound microscope is of magnifying power 100. The magnifying power A Compound Microscope Has A Magnifying Power Of 100 For a compound microscope with the image formed at infinity, the magnifying power is given by: The objective has a focal. A compound microscope has a magnifying power of 100 when the image is formed at infinity. It was invented by zacharias janssen in middelburg in 1590 (this claim is disputed). The objective has a focal length of 0.5 cm. A Compound Microscope Has A Magnifying Power Of 100.
From shellysavonlea.net
Compound Light Microscope Magnification Calculation Shelly Lighting A Compound Microscope Has A Magnifying Power Of 100 Step by step video, text & image solution for a compound microscope has a magnifying power of 100 when the image is. The objective has a focal length of 0.5 cm and the. A compound microscope has a magnifying power of 100 when the image is formed at infinity. The objective has a focal. The objective has a focal length. A Compound Microscope Has A Magnifying Power Of 100.
From www.doubtnut.com
A compound microscope has two lenses. The magnifying power of one is 5 A Compound Microscope Has A Magnifying Power Of 100 A compound microscope has a magnifying power of 100 when the image is formed at infinity. A compound microscope has a magnifying power of 100 when the image is formed at infinity. It was invented by zacharias janssen in middelburg in 1590 (this claim is disputed). The objective has a focal. For a compound microscope with the image formed at. A Compound Microscope Has A Magnifying Power Of 100.
From www.doubtnut.com
A compound microscope has a magnifying power of 100 when the image is A Compound Microscope Has A Magnifying Power Of 100 A compound microscope has a magnifying power of 100 when the image is formed at infinity. A compound microscope has a magnifying power of 100 when the image is formed at infinity. A compound microscope has a magnifying power of 100 when the image is formed at infinity. The objective has a focal length of 0.5 cm and the. Step. A Compound Microscope Has A Magnifying Power Of 100.
From www.toppr.com
A compound microscope is of magnifying power 100. The magnifying power A Compound Microscope Has A Magnifying Power Of 100 The objective has a focal length of 0.5 cm and. The objective has a focal length of 0.5 cm and the tube length is 6.5 cm. For a compound microscope with the image formed at infinity, the magnifying power is given by: A compound microscope has a magnifying power of 100 when the image is formed at infinity. The objective. A Compound Microscope Has A Magnifying Power Of 100.
From www.toppr.com
A compound microscope has a magnifying power of 100 when the image is A Compound Microscope Has A Magnifying Power Of 100 The objective has a focal length of 0.5 cm and the tube length is 6.5 cm. The compound microscope is a magnifier of close objects with a high angular magnification, generally more than \(30 \times\). A compound microscope has a magnifying power of 100 when the image is formed at infinity. For a compound microscope with the image formed at. A Compound Microscope Has A Magnifying Power Of 100.
From www.toppr.com
A compound microscope has a magnifying power of 100 when the image is A Compound Microscope Has A Magnifying Power Of 100 The first element of the compound microscope is an objective (in figure \(\pageindex{1}\) a simple positive lens) which makes a real. The objective has a focal length of 0.5 cm and the. The objective has a focal. The objective has a focal length of 0.5 cm and the. A compound microscope has a magnifying power of 100 when the image. A Compound Microscope Has A Magnifying Power Of 100.