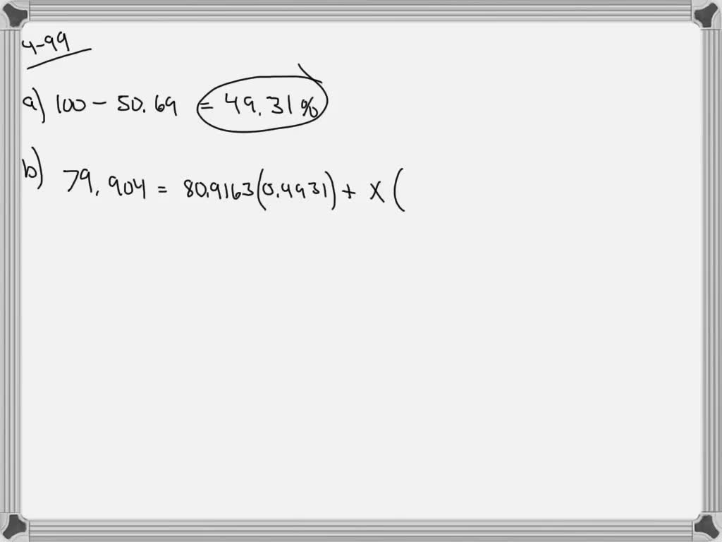
Bromine Has Two Isotopes Br-79 And Br-81 . in terms of structure and bonding explain why the boiling point of bromine is different from that of magnesium. The bromine isotope pattern is seen in the. This is observed in the mass spectrum of bromobenzene shown in figure \(\pageindex{3}\). bromine has two isotopes, 79 br and 81 br, whose masses (78.9183 and 80.9163 amu) and abundances (50.69% and 49.31%). Bromine also has two naturally occurring isotopes, 79 br is the most abundant and 81 br has a relative abundance of 98% which results in a relative intensity for these two peaks of 1:1. bromine has two naturally occurring isotopes and has an average atomic mass of 79.904 amu.
from www.nuclear-power.com
The bromine isotope pattern is seen in the. in terms of structure and bonding explain why the boiling point of bromine is different from that of magnesium. bromine has two naturally occurring isotopes and has an average atomic mass of 79.904 amu. Bromine also has two naturally occurring isotopes, 79 br is the most abundant and 81 br has a relative abundance of 98% which results in a relative intensity for these two peaks of 1:1. This is observed in the mass spectrum of bromobenzene shown in figure \(\pageindex{3}\). bromine has two isotopes, 79 br and 81 br, whose masses (78.9183 and 80.9163 amu) and abundances (50.69% and 49.31%).
Bromine Atomic Number Atomic Mass Density of Bromine nuclear
Bromine Has Two Isotopes Br-79 And Br-81 The bromine isotope pattern is seen in the. The bromine isotope pattern is seen in the. bromine has two naturally occurring isotopes and has an average atomic mass of 79.904 amu. in terms of structure and bonding explain why the boiling point of bromine is different from that of magnesium. This is observed in the mass spectrum of bromobenzene shown in figure \(\pageindex{3}\). Bromine also has two naturally occurring isotopes, 79 br is the most abundant and 81 br has a relative abundance of 98% which results in a relative intensity for these two peaks of 1:1. bromine has two isotopes, 79 br and 81 br, whose masses (78.9183 and 80.9163 amu) and abundances (50.69% and 49.31%).
From www.youtube.com
In bromine , the two isotopes are 49.7_(35)^(79)Br and 50.3 _(35)^(81 Bromine Has Two Isotopes Br-79 And Br-81 Bromine also has two naturally occurring isotopes, 79 br is the most abundant and 81 br has a relative abundance of 98% which results in a relative intensity for these two peaks of 1:1. in terms of structure and bonding explain why the boiling point of bromine is different from that of magnesium. The bromine isotope pattern is seen. Bromine Has Two Isotopes Br-79 And Br-81.
From www.chegg.com
Solved 1. Bromine has two naturally occurring isotopes Bromine Has Two Isotopes Br-79 And Br-81 in terms of structure and bonding explain why the boiling point of bromine is different from that of magnesium. Bromine also has two naturally occurring isotopes, 79 br is the most abundant and 81 br has a relative abundance of 98% which results in a relative intensity for these two peaks of 1:1. bromine has two naturally occurring. Bromine Has Two Isotopes Br-79 And Br-81.
From studiousguy.com
Bromine (Br) Properties & Uses StudiousGuy Bromine Has Two Isotopes Br-79 And Br-81 bromine has two naturally occurring isotopes and has an average atomic mass of 79.904 amu. The bromine isotope pattern is seen in the. bromine has two isotopes, 79 br and 81 br, whose masses (78.9183 and 80.9163 amu) and abundances (50.69% and 49.31%). This is observed in the mass spectrum of bromobenzene shown in figure \(\pageindex{3}\). Bromine also. Bromine Has Two Isotopes Br-79 And Br-81.
From www.nuclear-power.com
Bromine Atomic Number Atomic Mass Density of Bromine nuclear Bromine Has Two Isotopes Br-79 And Br-81 Bromine also has two naturally occurring isotopes, 79 br is the most abundant and 81 br has a relative abundance of 98% which results in a relative intensity for these two peaks of 1:1. This is observed in the mass spectrum of bromobenzene shown in figure \(\pageindex{3}\). The bromine isotope pattern is seen in the. in terms of structure. Bromine Has Two Isotopes Br-79 And Br-81.
From hinative.com
Bromine has two isotopes. One has a mass number of 81 and the other has Bromine Has Two Isotopes Br-79 And Br-81 This is observed in the mass spectrum of bromobenzene shown in figure \(\pageindex{3}\). bromine has two isotopes, 79 br and 81 br, whose masses (78.9183 and 80.9163 amu) and abundances (50.69% and 49.31%). Bromine also has two naturally occurring isotopes, 79 br is the most abundant and 81 br has a relative abundance of 98% which results in a. Bromine Has Two Isotopes Br-79 And Br-81.
From www.chegg.com
Solved 8 Bromine (Br) has two isotopes, with masses of Bromine Has Two Isotopes Br-79 And Br-81 in terms of structure and bonding explain why the boiling point of bromine is different from that of magnesium. Bromine also has two naturally occurring isotopes, 79 br is the most abundant and 81 br has a relative abundance of 98% which results in a relative intensity for these two peaks of 1:1. bromine has two naturally occurring. Bromine Has Two Isotopes Br-79 And Br-81.
From www.numerade.com
SOLVEDBromine has two naturally occurring isotopes. One of them Bromine Has Two Isotopes Br-79 And Br-81 The bromine isotope pattern is seen in the. in terms of structure and bonding explain why the boiling point of bromine is different from that of magnesium. bromine has two isotopes, 79 br and 81 br, whose masses (78.9183 and 80.9163 amu) and abundances (50.69% and 49.31%). This is observed in the mass spectrum of bromobenzene shown in. Bromine Has Two Isotopes Br-79 And Br-81.
From www.chegg.com
Solved Practice Bromide has two isotopes (Br79 and Br81) Bromine Has Two Isotopes Br-79 And Br-81 This is observed in the mass spectrum of bromobenzene shown in figure \(\pageindex{3}\). bromine has two naturally occurring isotopes and has an average atomic mass of 79.904 amu. in terms of structure and bonding explain why the boiling point of bromine is different from that of magnesium. Bromine also has two naturally occurring isotopes, 79 br is the. Bromine Has Two Isotopes Br-79 And Br-81.
From www.numerade.com
SOLVEDThe element bromine, Br (atomic number 35), has two major Bromine Has Two Isotopes Br-79 And Br-81 in terms of structure and bonding explain why the boiling point of bromine is different from that of magnesium. Bromine also has two naturally occurring isotopes, 79 br is the most abundant and 81 br has a relative abundance of 98% which results in a relative intensity for these two peaks of 1:1. bromine has two isotopes, 79. Bromine Has Two Isotopes Br-79 And Br-81.
From www.chegg.com
Solved 2. Bromine has two naturally occurring isotopes Br Bromine Has Two Isotopes Br-79 And Br-81 The bromine isotope pattern is seen in the. bromine has two isotopes, 79 br and 81 br, whose masses (78.9183 and 80.9163 amu) and abundances (50.69% and 49.31%). in terms of structure and bonding explain why the boiling point of bromine is different from that of magnesium. This is observed in the mass spectrum of bromobenzene shown in. Bromine Has Two Isotopes Br-79 And Br-81.
From www.numerade.com
SOLVEDBromine has two naturally occurring isotopes (Br79 and Br81 Bromine Has Two Isotopes Br-79 And Br-81 The bromine isotope pattern is seen in the. Bromine also has two naturally occurring isotopes, 79 br is the most abundant and 81 br has a relative abundance of 98% which results in a relative intensity for these two peaks of 1:1. This is observed in the mass spectrum of bromobenzene shown in figure \(\pageindex{3}\). in terms of structure. Bromine Has Two Isotopes Br-79 And Br-81.
From www.researchgate.net
Chlorine/bromine isotope ratios (IR 37 Cl/ 35 Cl or 81 Br/ 79 Br) of Bromine Has Two Isotopes Br-79 And Br-81 Bromine also has two naturally occurring isotopes, 79 br is the most abundant and 81 br has a relative abundance of 98% which results in a relative intensity for these two peaks of 1:1. This is observed in the mass spectrum of bromobenzene shown in figure \(\pageindex{3}\). The bromine isotope pattern is seen in the. bromine has two naturally. Bromine Has Two Isotopes Br-79 And Br-81.
From www.numerade.com
SOLVED If the element Bromine is in the form two isotopes which are Br Bromine Has Two Isotopes Br-79 And Br-81 This is observed in the mass spectrum of bromobenzene shown in figure \(\pageindex{3}\). bromine has two naturally occurring isotopes and has an average atomic mass of 79.904 amu. in terms of structure and bonding explain why the boiling point of bromine is different from that of magnesium. The bromine isotope pattern is seen in the. bromine has. Bromine Has Two Isotopes Br-79 And Br-81.
From www.numerade.com
SOLVEDBromine has two isotopes, bromine 79(50.69 abundance) and Bromine Has Two Isotopes Br-79 And Br-81 Bromine also has two naturally occurring isotopes, 79 br is the most abundant and 81 br has a relative abundance of 98% which results in a relative intensity for these two peaks of 1:1. This is observed in the mass spectrum of bromobenzene shown in figure \(\pageindex{3}\). bromine has two naturally occurring isotopes and has an average atomic mass. Bromine Has Two Isotopes Br-79 And Br-81.
From www.numerade.com
SOLVED I. Bromine has two naturally occurring isotopes with the Bromine Has Two Isotopes Br-79 And Br-81 This is observed in the mass spectrum of bromobenzene shown in figure \(\pageindex{3}\). bromine has two naturally occurring isotopes and has an average atomic mass of 79.904 amu. Bromine also has two naturally occurring isotopes, 79 br is the most abundant and 81 br has a relative abundance of 98% which results in a relative intensity for these two. Bromine Has Two Isotopes Br-79 And Br-81.
From slidetodoc.com
Chemistry 120 Chapter 5 Atomic Theory The Nuclear Bromine Has Two Isotopes Br-79 And Br-81 The bromine isotope pattern is seen in the. bromine has two naturally occurring isotopes and has an average atomic mass of 79.904 amu. in terms of structure and bonding explain why the boiling point of bromine is different from that of magnesium. This is observed in the mass spectrum of bromobenzene shown in figure \(\pageindex{3}\). bromine has. Bromine Has Two Isotopes Br-79 And Br-81.
From www.chegg.com
Solved 1. Bromine has two naturally occurring isotopes Bromine Has Two Isotopes Br-79 And Br-81 in terms of structure and bonding explain why the boiling point of bromine is different from that of magnesium. bromine has two isotopes, 79 br and 81 br, whose masses (78.9183 and 80.9163 amu) and abundances (50.69% and 49.31%). This is observed in the mass spectrum of bromobenzene shown in figure \(\pageindex{3}\). Bromine also has two naturally occurring. Bromine Has Two Isotopes Br-79 And Br-81.
From www.chegg.com
Solved Part A Bromine has two naturally occurring isotopes Bromine Has Two Isotopes Br-79 And Br-81 Bromine also has two naturally occurring isotopes, 79 br is the most abundant and 81 br has a relative abundance of 98% which results in a relative intensity for these two peaks of 1:1. in terms of structure and bonding explain why the boiling point of bromine is different from that of magnesium. bromine has two naturally occurring. Bromine Has Two Isotopes Br-79 And Br-81.
From www.numerade.com
SOLVED QUESTION Bromine has two isotopes, 79Br and 0Br To find out Bromine Has Two Isotopes Br-79 And Br-81 bromine has two naturally occurring isotopes and has an average atomic mass of 79.904 amu. The bromine isotope pattern is seen in the. Bromine also has two naturally occurring isotopes, 79 br is the most abundant and 81 br has a relative abundance of 98% which results in a relative intensity for these two peaks of 1:1. bromine. Bromine Has Two Isotopes Br-79 And Br-81.
From www.numerade.com
SOLVEDNaturally occurring bromine consists of two isotopes, ^79 Br and Bromine Has Two Isotopes Br-79 And Br-81 bromine has two isotopes, 79 br and 81 br, whose masses (78.9183 and 80.9163 amu) and abundances (50.69% and 49.31%). The bromine isotope pattern is seen in the. bromine has two naturally occurring isotopes and has an average atomic mass of 79.904 amu. in terms of structure and bonding explain why the boiling point of bromine is. Bromine Has Two Isotopes Br-79 And Br-81.
From www.chegg.com
Solved Bromine has two common isotopes Br−79 and Br−81. If Bromine Has Two Isotopes Br-79 And Br-81 This is observed in the mass spectrum of bromobenzene shown in figure \(\pageindex{3}\). in terms of structure and bonding explain why the boiling point of bromine is different from that of magnesium. The bromine isotope pattern is seen in the. Bromine also has two naturally occurring isotopes, 79 br is the most abundant and 81 br has a relative. Bromine Has Two Isotopes Br-79 And Br-81.
From www.chegg.com
Solved Bromine has two naturallyoccurring isotopes.^79 Br Bromine Has Two Isotopes Br-79 And Br-81 The bromine isotope pattern is seen in the. bromine has two naturally occurring isotopes and has an average atomic mass of 79.904 amu. in terms of structure and bonding explain why the boiling point of bromine is different from that of magnesium. bromine has two isotopes, 79 br and 81 br, whose masses (78.9183 and 80.9163 amu). Bromine Has Two Isotopes Br-79 And Br-81.
From www.chegg.com
Solved Question 6 3 pts Bromine has two naturally occurring Bromine Has Two Isotopes Br-79 And Br-81 This is observed in the mass spectrum of bromobenzene shown in figure \(\pageindex{3}\). Bromine also has two naturally occurring isotopes, 79 br is the most abundant and 81 br has a relative abundance of 98% which results in a relative intensity for these two peaks of 1:1. bromine has two naturally occurring isotopes and has an average atomic mass. Bromine Has Two Isotopes Br-79 And Br-81.
From www.numerade.com
Bromine has two naturally occurring isotopes (Br79 and Br81) and an Bromine Has Two Isotopes Br-79 And Br-81 The bromine isotope pattern is seen in the. bromine has two naturally occurring isotopes and has an average atomic mass of 79.904 amu. This is observed in the mass spectrum of bromobenzene shown in figure \(\pageindex{3}\). bromine has two isotopes, 79 br and 81 br, whose masses (78.9183 and 80.9163 amu) and abundances (50.69% and 49.31%). Bromine also. Bromine Has Two Isotopes Br-79 And Br-81.
From www.chegg.com
Solved Bromine has two naturally occurring isotopes ( Br Bromine Has Two Isotopes Br-79 And Br-81 in terms of structure and bonding explain why the boiling point of bromine is different from that of magnesium. The bromine isotope pattern is seen in the. bromine has two isotopes, 79 br and 81 br, whose masses (78.9183 and 80.9163 amu) and abundances (50.69% and 49.31%). bromine has two naturally occurring isotopes and has an average. Bromine Has Two Isotopes Br-79 And Br-81.
From www.numerade.com
SOLVEDBromine is a diatomic molecule, and it has two isotopes, ^79 Br Bromine Has Two Isotopes Br-79 And Br-81 in terms of structure and bonding explain why the boiling point of bromine is different from that of magnesium. The bromine isotope pattern is seen in the. bromine has two naturally occurring isotopes and has an average atomic mass of 79.904 amu. Bromine also has two naturally occurring isotopes, 79 br is the most abundant and 81 br. Bromine Has Two Isotopes Br-79 And Br-81.
From www.chegg.com
Solved 3.) There are two naturally occurring isotopes of Bromine Has Two Isotopes Br-79 And Br-81 The bromine isotope pattern is seen in the. bromine has two isotopes, 79 br and 81 br, whose masses (78.9183 and 80.9163 amu) and abundances (50.69% and 49.31%). Bromine also has two naturally occurring isotopes, 79 br is the most abundant and 81 br has a relative abundance of 98% which results in a relative intensity for these two. Bromine Has Two Isotopes Br-79 And Br-81.
From brainly.com
Naturally occurring bromine consists of two isotopes bromine79 and Bromine Has Two Isotopes Br-79 And Br-81 bromine has two naturally occurring isotopes and has an average atomic mass of 79.904 amu. The bromine isotope pattern is seen in the. in terms of structure and bonding explain why the boiling point of bromine is different from that of magnesium. This is observed in the mass spectrum of bromobenzene shown in figure \(\pageindex{3}\). bromine has. Bromine Has Two Isotopes Br-79 And Br-81.
From www.chegg.com
Solved la. Bromine exists as two isotopes Br79 and Br81. Bromine Has Two Isotopes Br-79 And Br-81 bromine has two naturally occurring isotopes and has an average atomic mass of 79.904 amu. The bromine isotope pattern is seen in the. bromine has two isotopes, 79 br and 81 br, whose masses (78.9183 and 80.9163 amu) and abundances (50.69% and 49.31%). This is observed in the mass spectrum of bromobenzene shown in figure \(\pageindex{3}\). in. Bromine Has Two Isotopes Br-79 And Br-81.
From www.chegg.com
Solved Bromine has two naturally occurring isotopes, Br−79 Bromine Has Two Isotopes Br-79 And Br-81 Bromine also has two naturally occurring isotopes, 79 br is the most abundant and 81 br has a relative abundance of 98% which results in a relative intensity for these two peaks of 1:1. in terms of structure and bonding explain why the boiling point of bromine is different from that of magnesium. bromine has two isotopes, 79. Bromine Has Two Isotopes Br-79 And Br-81.
From www.chegg.com
Solved Bromine has two naturally occurring isotopes (Br 79 Bromine Has Two Isotopes Br-79 And Br-81 This is observed in the mass spectrum of bromobenzene shown in figure \(\pageindex{3}\). bromine has two isotopes, 79 br and 81 br, whose masses (78.9183 and 80.9163 amu) and abundances (50.69% and 49.31%). The bromine isotope pattern is seen in the. in terms of structure and bonding explain why the boiling point of bromine is different from that. Bromine Has Two Isotopes Br-79 And Br-81.
From www.numerade.com
SOLVEDBromine has two naturally occurring isotopes (Br79 and Br81 Bromine Has Two Isotopes Br-79 And Br-81 bromine has two naturally occurring isotopes and has an average atomic mass of 79.904 amu. The bromine isotope pattern is seen in the. bromine has two isotopes, 79 br and 81 br, whose masses (78.9183 and 80.9163 amu) and abundances (50.69% and 49.31%). Bromine also has two naturally occurring isotopes, 79 br is the most abundant and 81. Bromine Has Two Isotopes Br-79 And Br-81.
From www.numerade.com
SOLVED Bromine has two isotopes 79Br and 81 Br; 50.69 of bromine is Bromine Has Two Isotopes Br-79 And Br-81 Bromine also has two naturally occurring isotopes, 79 br is the most abundant and 81 br has a relative abundance of 98% which results in a relative intensity for these two peaks of 1:1. The bromine isotope pattern is seen in the. in terms of structure and bonding explain why the boiling point of bromine is different from that. Bromine Has Two Isotopes Br-79 And Br-81.
From www.chegg.com
Solved Bromine has two naturally occurring isotopes (Br 79 Bromine Has Two Isotopes Br-79 And Br-81 This is observed in the mass spectrum of bromobenzene shown in figure \(\pageindex{3}\). bromine has two naturally occurring isotopes and has an average atomic mass of 79.904 amu. Bromine also has two naturally occurring isotopes, 79 br is the most abundant and 81 br has a relative abundance of 98% which results in a relative intensity for these two. Bromine Has Two Isotopes Br-79 And Br-81.
From www.chegg.com
Solved 8. Bromine has two naturally occurring isotopes Bromine Has Two Isotopes Br-79 And Br-81 Bromine also has two naturally occurring isotopes, 79 br is the most abundant and 81 br has a relative abundance of 98% which results in a relative intensity for these two peaks of 1:1. in terms of structure and bonding explain why the boiling point of bromine is different from that of magnesium. The bromine isotope pattern is seen. Bromine Has Two Isotopes Br-79 And Br-81.