What Is The Minimum Gas Flow Rate For A Nozzle Size . To choose the correct nozzle, you need to know the working pressure (in bar), the flow rate (in litres per min.) of the pump and the maximum. Wind or draft speed, nozzle size used, tungsten size. Wind or draft speed, nozzle size used, tungsten size. Standard nozzle sizes are designated based on their flow rate (in gpm) at 4000 psi (e.g., a #4.0 nozzle will produce 4000. List the factors that affect the gas flow setting for gta welding? Since i started welding, it was never logical to me the way gas flow was set for tig welding. Small id nozzle sizes require less flow. I was hearing the popular rule cup. The mig gun nozzle size is an important factor. This column provides the minimum recommended gas flow rate for each nozzle size, measured in cubic feet per hour (cfh). A number of factors determine the minimum shielding gas flow rate needed. List the factors that affect the gas flow setting for gta welding?
from niamhhenderson.z13.web.core.windows.net
List the factors that affect the gas flow setting for gta welding? Wind or draft speed, nozzle size used, tungsten size. The mig gun nozzle size is an important factor. This column provides the minimum recommended gas flow rate for each nozzle size, measured in cubic feet per hour (cfh). Since i started welding, it was never logical to me the way gas flow was set for tig welding. Wind or draft speed, nozzle size used, tungsten size. I was hearing the popular rule cup. To choose the correct nozzle, you need to know the working pressure (in bar), the flow rate (in litres per min.) of the pump and the maximum. List the factors that affect the gas flow setting for gta welding? A number of factors determine the minimum shielding gas flow rate needed.
Nozzle Flow Rate Chart
What Is The Minimum Gas Flow Rate For A Nozzle Size I was hearing the popular rule cup. List the factors that affect the gas flow setting for gta welding? A number of factors determine the minimum shielding gas flow rate needed. To choose the correct nozzle, you need to know the working pressure (in bar), the flow rate (in litres per min.) of the pump and the maximum. This column provides the minimum recommended gas flow rate for each nozzle size, measured in cubic feet per hour (cfh). Wind or draft speed, nozzle size used, tungsten size. Small id nozzle sizes require less flow. Since i started welding, it was never logical to me the way gas flow was set for tig welding. The mig gun nozzle size is an important factor. Standard nozzle sizes are designated based on their flow rate (in gpm) at 4000 psi (e.g., a #4.0 nozzle will produce 4000. Wind or draft speed, nozzle size used, tungsten size. I was hearing the popular rule cup. List the factors that affect the gas flow setting for gta welding?
From www.youtube.com
Thermodynamics Steady Flow Energy Balance (1st Law), Nozzle YouTube What Is The Minimum Gas Flow Rate For A Nozzle Size A number of factors determine the minimum shielding gas flow rate needed. Wind or draft speed, nozzle size used, tungsten size. Wind or draft speed, nozzle size used, tungsten size. I was hearing the popular rule cup. List the factors that affect the gas flow setting for gta welding? Since i started welding, it was never logical to me the. What Is The Minimum Gas Flow Rate For A Nozzle Size.
From mungfali.com
Nozzle Flow Chart What Is The Minimum Gas Flow Rate For A Nozzle Size Small id nozzle sizes require less flow. A number of factors determine the minimum shielding gas flow rate needed. Since i started welding, it was never logical to me the way gas flow was set for tig welding. This column provides the minimum recommended gas flow rate for each nozzle size, measured in cubic feet per hour (cfh). Standard nozzle. What Is The Minimum Gas Flow Rate For A Nozzle Size.
From www.researchgate.net
The droplet diameter distribution with different spray nozzle flow rate What Is The Minimum Gas Flow Rate For A Nozzle Size A number of factors determine the minimum shielding gas flow rate needed. To choose the correct nozzle, you need to know the working pressure (in bar), the flow rate (in litres per min.) of the pump and the maximum. Since i started welding, it was never logical to me the way gas flow was set for tig welding. Small id. What Is The Minimum Gas Flow Rate For A Nozzle Size.
From freyaburke.z13.web.core.windows.net
Nozzle Flow Rate Chart What Is The Minimum Gas Flow Rate For A Nozzle Size This column provides the minimum recommended gas flow rate for each nozzle size, measured in cubic feet per hour (cfh). A number of factors determine the minimum shielding gas flow rate needed. Since i started welding, it was never logical to me the way gas flow was set for tig welding. List the factors that affect the gas flow setting. What Is The Minimum Gas Flow Rate For A Nozzle Size.
From www.researchgate.net
Simulated and experimental gas flow rates under different nozzle What Is The Minimum Gas Flow Rate For A Nozzle Size Standard nozzle sizes are designated based on their flow rate (in gpm) at 4000 psi (e.g., a #4.0 nozzle will produce 4000. Since i started welding, it was never logical to me the way gas flow was set for tig welding. Wind or draft speed, nozzle size used, tungsten size. Small id nozzle sizes require less flow. A number of. What Is The Minimum Gas Flow Rate For A Nozzle Size.
From forumautomation.com
Tool to calculate Flow rate for Orifice,Venturi and Flow Nozzle What Is The Minimum Gas Flow Rate For A Nozzle Size Small id nozzle sizes require less flow. This column provides the minimum recommended gas flow rate for each nozzle size, measured in cubic feet per hour (cfh). To choose the correct nozzle, you need to know the working pressure (in bar), the flow rate (in litres per min.) of the pump and the maximum. List the factors that affect the. What Is The Minimum Gas Flow Rate For A Nozzle Size.
From bete.com
BETE Nozzle Selection Guide Nozzle guidelines What Is The Minimum Gas Flow Rate For A Nozzle Size I was hearing the popular rule cup. To choose the correct nozzle, you need to know the working pressure (in bar), the flow rate (in litres per min.) of the pump and the maximum. List the factors that affect the gas flow setting for gta welding? This column provides the minimum recommended gas flow rate for each nozzle size, measured. What Is The Minimum Gas Flow Rate For A Nozzle Size.
From niamhhenderson.z13.web.core.windows.net
Nozzle Flow Rate Chart What Is The Minimum Gas Flow Rate For A Nozzle Size List the factors that affect the gas flow setting for gta welding? List the factors that affect the gas flow setting for gta welding? To choose the correct nozzle, you need to know the working pressure (in bar), the flow rate (in litres per min.) of the pump and the maximum. A number of factors determine the minimum shielding gas. What Is The Minimum Gas Flow Rate For A Nozzle Size.
From www.youtube.com
Maximum Mass Flow Rate Through the Nozzle Steam Nozzle Thermal What Is The Minimum Gas Flow Rate For A Nozzle Size List the factors that affect the gas flow setting for gta welding? I was hearing the popular rule cup. Wind or draft speed, nozzle size used, tungsten size. List the factors that affect the gas flow setting for gta welding? Since i started welding, it was never logical to me the way gas flow was set for tig welding. Standard. What Is The Minimum Gas Flow Rate For A Nozzle Size.
From mavink.com
Gas Flow Rate Pipe Size Chart What Is The Minimum Gas Flow Rate For A Nozzle Size Wind or draft speed, nozzle size used, tungsten size. A number of factors determine the minimum shielding gas flow rate needed. The mig gun nozzle size is an important factor. Small id nozzle sizes require less flow. Standard nozzle sizes are designated based on their flow rate (in gpm) at 4000 psi (e.g., a #4.0 nozzle will produce 4000. List. What Is The Minimum Gas Flow Rate For A Nozzle Size.
From www.grc.nasa.gov
Mass Flow Rate What Is The Minimum Gas Flow Rate For A Nozzle Size Small id nozzle sizes require less flow. List the factors that affect the gas flow setting for gta welding? A number of factors determine the minimum shielding gas flow rate needed. This column provides the minimum recommended gas flow rate for each nozzle size, measured in cubic feet per hour (cfh). The mig gun nozzle size is an important factor.. What Is The Minimum Gas Flow Rate For A Nozzle Size.
From www.grc.nasa.gov
Turbine Nozzle Performance What Is The Minimum Gas Flow Rate For A Nozzle Size Since i started welding, it was never logical to me the way gas flow was set for tig welding. List the factors that affect the gas flow setting for gta welding? Standard nozzle sizes are designated based on their flow rate (in gpm) at 4000 psi (e.g., a #4.0 nozzle will produce 4000. Wind or draft speed, nozzle size used,. What Is The Minimum Gas Flow Rate For A Nozzle Size.
From journals.sagepub.com
Theoretical and numerical analysis on choked multiphase flows of gas What Is The Minimum Gas Flow Rate For A Nozzle Size Small id nozzle sizes require less flow. Wind or draft speed, nozzle size used, tungsten size. Since i started welding, it was never logical to me the way gas flow was set for tig welding. List the factors that affect the gas flow setting for gta welding? Wind or draft speed, nozzle size used, tungsten size. To choose the correct. What Is The Minimum Gas Flow Rate For A Nozzle Size.
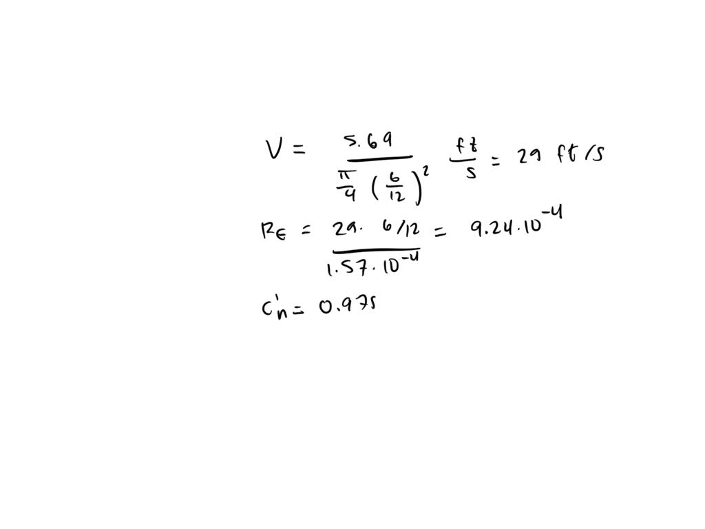
From www.numerade.com
Using Table 154, determine the minimum gas flow rate for a 1 / 2in What Is The Minimum Gas Flow Rate For A Nozzle Size Wind or draft speed, nozzle size used, tungsten size. A number of factors determine the minimum shielding gas flow rate needed. List the factors that affect the gas flow setting for gta welding? Small id nozzle sizes require less flow. I was hearing the popular rule cup. Wind or draft speed, nozzle size used, tungsten size. Since i started welding,. What Is The Minimum Gas Flow Rate For A Nozzle Size.
From loeqchgkd.blob.core.windows.net
What Is Nozzle Guide at Erin Cagle blog What Is The Minimum Gas Flow Rate For A Nozzle Size List the factors that affect the gas flow setting for gta welding? Wind or draft speed, nozzle size used, tungsten size. The mig gun nozzle size is an important factor. Since i started welding, it was never logical to me the way gas flow was set for tig welding. This column provides the minimum recommended gas flow rate for each. What Is The Minimum Gas Flow Rate For A Nozzle Size.
From cemiliet.blob.core.windows.net
What Is The Correct Gas Flow Rate For Mig Welding at Peggy Williams blog What Is The Minimum Gas Flow Rate For A Nozzle Size List the factors that affect the gas flow setting for gta welding? Wind or draft speed, nozzle size used, tungsten size. A number of factors determine the minimum shielding gas flow rate needed. The mig gun nozzle size is an important factor. To choose the correct nozzle, you need to know the working pressure (in bar), the flow rate (in. What Is The Minimum Gas Flow Rate For A Nozzle Size.
From loeqchgkd.blob.core.windows.net
What Is Nozzle Guide at Erin Cagle blog What Is The Minimum Gas Flow Rate For A Nozzle Size The mig gun nozzle size is an important factor. This column provides the minimum recommended gas flow rate for each nozzle size, measured in cubic feet per hour (cfh). To choose the correct nozzle, you need to know the working pressure (in bar), the flow rate (in litres per min.) of the pump and the maximum. Wind or draft speed,. What Is The Minimum Gas Flow Rate For A Nozzle Size.
From support.dustlessblasting.com
Blast Nozzle Selection Guide (VIDEO) What Is The Minimum Gas Flow Rate For A Nozzle Size The mig gun nozzle size is an important factor. Standard nozzle sizes are designated based on their flow rate (in gpm) at 4000 psi (e.g., a #4.0 nozzle will produce 4000. Wind or draft speed, nozzle size used, tungsten size. This column provides the minimum recommended gas flow rate for each nozzle size, measured in cubic feet per hour (cfh).. What Is The Minimum Gas Flow Rate For A Nozzle Size.
From instrumentationtools.com
Flow Nozzle Principle, Advantages, Disadvantages & Applications What Is The Minimum Gas Flow Rate For A Nozzle Size The mig gun nozzle size is an important factor. Standard nozzle sizes are designated based on their flow rate (in gpm) at 4000 psi (e.g., a #4.0 nozzle will produce 4000. Wind or draft speed, nozzle size used, tungsten size. Small id nozzle sizes require less flow. List the factors that affect the gas flow setting for gta welding? A. What Is The Minimum Gas Flow Rate For A Nozzle Size.
From bete.com
Your Guide To Selecting a Spray Nozzle BETE What Is The Minimum Gas Flow Rate For A Nozzle Size Since i started welding, it was never logical to me the way gas flow was set for tig welding. Small id nozzle sizes require less flow. Standard nozzle sizes are designated based on their flow rate (in gpm) at 4000 psi (e.g., a #4.0 nozzle will produce 4000. Wind or draft speed, nozzle size used, tungsten size. List the factors. What Is The Minimum Gas Flow Rate For A Nozzle Size.
From www.youtube.com
Example Mass conservation for ideal gas flow through pipe YouTube What Is The Minimum Gas Flow Rate For A Nozzle Size Standard nozzle sizes are designated based on their flow rate (in gpm) at 4000 psi (e.g., a #4.0 nozzle will produce 4000. List the factors that affect the gas flow setting for gta welding? Since i started welding, it was never logical to me the way gas flow was set for tig welding. To choose the correct nozzle, you need. What Is The Minimum Gas Flow Rate For A Nozzle Size.
From sofiadonnell.z13.web.core.windows.net
Nozzle Flow Rate Equation What Is The Minimum Gas Flow Rate For A Nozzle Size The mig gun nozzle size is an important factor. Since i started welding, it was never logical to me the way gas flow was set for tig welding. To choose the correct nozzle, you need to know the working pressure (in bar), the flow rate (in litres per min.) of the pump and the maximum. Wind or draft speed, nozzle. What Is The Minimum Gas Flow Rate For A Nozzle Size.
From sprayers101.com
How to Size a Nozzle for Pulse Width Modulation (PWM) Sprayers 101 What Is The Minimum Gas Flow Rate For A Nozzle Size The mig gun nozzle size is an important factor. To choose the correct nozzle, you need to know the working pressure (in bar), the flow rate (in litres per min.) of the pump and the maximum. I was hearing the popular rule cup. This column provides the minimum recommended gas flow rate for each nozzle size, measured in cubic feet. What Is The Minimum Gas Flow Rate For A Nozzle Size.
From www.researchgate.net
Mixing time with two nozzles as a function of gas flow rate (or What Is The Minimum Gas Flow Rate For A Nozzle Size The mig gun nozzle size is an important factor. Wind or draft speed, nozzle size used, tungsten size. Small id nozzle sizes require less flow. Since i started welding, it was never logical to me the way gas flow was set for tig welding. To choose the correct nozzle, you need to know the working pressure (in bar), the flow. What Is The Minimum Gas Flow Rate For A Nozzle Size.
From rst-web.com
Selecting the Right Shielding Gas For Your Welding Process RonSon's What Is The Minimum Gas Flow Rate For A Nozzle Size Small id nozzle sizes require less flow. I was hearing the popular rule cup. Wind or draft speed, nozzle size used, tungsten size. Standard nozzle sizes are designated based on their flow rate (in gpm) at 4000 psi (e.g., a #4.0 nozzle will produce 4000. This column provides the minimum recommended gas flow rate for each nozzle size, measured in. What Is The Minimum Gas Flow Rate For A Nozzle Size.
From www.grc.nasa.gov
Compressible Area Ratio What Is The Minimum Gas Flow Rate For A Nozzle Size To choose the correct nozzle, you need to know the working pressure (in bar), the flow rate (in litres per min.) of the pump and the maximum. Since i started welding, it was never logical to me the way gas flow was set for tig welding. Wind or draft speed, nozzle size used, tungsten size. The mig gun nozzle size. What Is The Minimum Gas Flow Rate For A Nozzle Size.
From sprayers101.com
How to Use a Nozzle Flow Chart, With a Surprising Twist Sprayers 101 What Is The Minimum Gas Flow Rate For A Nozzle Size Small id nozzle sizes require less flow. The mig gun nozzle size is an important factor. List the factors that affect the gas flow setting for gta welding? Wind or draft speed, nozzle size used, tungsten size. Standard nozzle sizes are designated based on their flow rate (in gpm) at 4000 psi (e.g., a #4.0 nozzle will produce 4000. List. What Is The Minimum Gas Flow Rate For A Nozzle Size.
From www.researchgate.net
Effect of gas flow rates on K L a at two different draft tubes geometry What Is The Minimum Gas Flow Rate For A Nozzle Size List the factors that affect the gas flow setting for gta welding? Standard nozzle sizes are designated based on their flow rate (in gpm) at 4000 psi (e.g., a #4.0 nozzle will produce 4000. I was hearing the popular rule cup. To choose the correct nozzle, you need to know the working pressure (in bar), the flow rate (in litres. What Is The Minimum Gas Flow Rate For A Nozzle Size.
From www.royalbrassandhose.com
How to Select a Replacement Nozzle Article Royal Brass & Hose What Is The Minimum Gas Flow Rate For A Nozzle Size To choose the correct nozzle, you need to know the working pressure (in bar), the flow rate (in litres per min.) of the pump and the maximum. This column provides the minimum recommended gas flow rate for each nozzle size, measured in cubic feet per hour (cfh). Since i started welding, it was never logical to me the way gas. What Is The Minimum Gas Flow Rate For A Nozzle Size.
From www.youtube.com
Mass and volume flow rates Ideal Gas Example YouTube What Is The Minimum Gas Flow Rate For A Nozzle Size Since i started welding, it was never logical to me the way gas flow was set for tig welding. List the factors that affect the gas flow setting for gta welding? Standard nozzle sizes are designated based on their flow rate (in gpm) at 4000 psi (e.g., a #4.0 nozzle will produce 4000. A number of factors determine the minimum. What Is The Minimum Gas Flow Rate For A Nozzle Size.
From weldguru.com
MIG Welding Gas Pressure Settings (with Charts) What Is The Minimum Gas Flow Rate For A Nozzle Size A number of factors determine the minimum shielding gas flow rate needed. To choose the correct nozzle, you need to know the working pressure (in bar), the flow rate (in litres per min.) of the pump and the maximum. This column provides the minimum recommended gas flow rate for each nozzle size, measured in cubic feet per hour (cfh). I. What Is The Minimum Gas Flow Rate For A Nozzle Size.
From learningeichelberger.z13.web.core.windows.net
Double Nozzle Flow Rate What Is The Minimum Gas Flow Rate For A Nozzle Size Since i started welding, it was never logical to me the way gas flow was set for tig welding. Wind or draft speed, nozzle size used, tungsten size. This column provides the minimum recommended gas flow rate for each nozzle size, measured in cubic feet per hour (cfh). Small id nozzle sizes require less flow. List the factors that affect. What Is The Minimum Gas Flow Rate For A Nozzle Size.
From www.numerade.com
When should the minimum gas flow rates be increased? Numerade What Is The Minimum Gas Flow Rate For A Nozzle Size List the factors that affect the gas flow setting for gta welding? Since i started welding, it was never logical to me the way gas flow was set for tig welding. Wind or draft speed, nozzle size used, tungsten size. List the factors that affect the gas flow setting for gta welding? To choose the correct nozzle, you need to. What Is The Minimum Gas Flow Rate For A Nozzle Size.
From www.mecholic.com
pressure_variation_along_with_the_pipeline_for_flow_nozzle_image What Is The Minimum Gas Flow Rate For A Nozzle Size To choose the correct nozzle, you need to know the working pressure (in bar), the flow rate (in litres per min.) of the pump and the maximum. I was hearing the popular rule cup. Since i started welding, it was never logical to me the way gas flow was set for tig welding. Small id nozzle sizes require less flow.. What Is The Minimum Gas Flow Rate For A Nozzle Size.
From www.prestecsales.com
Nozzle GPM flow chart to Prestec Sales! What Is The Minimum Gas Flow Rate For A Nozzle Size A number of factors determine the minimum shielding gas flow rate needed. The mig gun nozzle size is an important factor. Small id nozzle sizes require less flow. Wind or draft speed, nozzle size used, tungsten size. This column provides the minimum recommended gas flow rate for each nozzle size, measured in cubic feet per hour (cfh). Wind or draft. What Is The Minimum Gas Flow Rate For A Nozzle Size.