Set Of Rational Numbers Equivalence Relation . A relation ∼ on the set a is an equivalence relation provided that ∼ is. We define a rational number to be an. Y) 2 r by x y, we have. Let a be a nonempty set. Explain why \(\mathbb{q} = (\mathbb{z} × \mathbb{z}^∗)/\text{q}\). A set z=nz that’s a. \((x, y) \in r\) implies \((y, x) \in r\) (symmetric. An equivalence relation on a set \(x\) is a relation \(r \subset x \times x\) such that \((x, x) \in r\) for all \(x \in x\) (reflexive property); Using equivalence relations to define rational numbers consider the set s = {(x,y) ∈ z × z: Ultimately, this is the “right” definition of the set of rational numbers! The relation q defined in the previous problem partitions the set of all pairs of integers into an interesting set of equivalence classes. This handout explains how “congruence modulo n” is something called an equivalence relation, and we can use it to construct. An equivalence relation on a set x is a subset r x x with the following properties: Any equivalence relation on a set creates a partition of that set by collecting into subsets all of the elements that are equivalent (related) to.
from byjus.com
Using equivalence relations to define rational numbers consider the set s = {(x,y) ∈ z × z: An equivalence relation on a set \(x\) is a relation \(r \subset x \times x\) such that \((x, x) \in r\) for all \(x \in x\) (reflexive property); Y) 2 r by x y, we have. We define a rational number to be an. A relation ∼ on the set a is an equivalence relation provided that ∼ is. An equivalence relation on a set x is a subset r x x with the following properties: This handout explains how “congruence modulo n” is something called an equivalence relation, and we can use it to construct. Any equivalence relation on a set creates a partition of that set by collecting into subsets all of the elements that are equivalent (related) to. The relation q defined in the previous problem partitions the set of all pairs of integers into an interesting set of equivalence classes. Explain why \(\mathbb{q} = (\mathbb{z} × \mathbb{z}^∗)/\text{q}\).
What are equivalent rational numbers?
Set Of Rational Numbers Equivalence Relation Let a be a nonempty set. We define a rational number to be an. Let a be a nonempty set. Explain why \(\mathbb{q} = (\mathbb{z} × \mathbb{z}^∗)/\text{q}\). An equivalence relation on a set \(x\) is a relation \(r \subset x \times x\) such that \((x, x) \in r\) for all \(x \in x\) (reflexive property); Any equivalence relation on a set creates a partition of that set by collecting into subsets all of the elements that are equivalent (related) to. This handout explains how “congruence modulo n” is something called an equivalence relation, and we can use it to construct. \((x, y) \in r\) implies \((y, x) \in r\) (symmetric. Y) 2 r by x y, we have. The relation q defined in the previous problem partitions the set of all pairs of integers into an interesting set of equivalence classes. A relation ∼ on the set a is an equivalence relation provided that ∼ is. Using equivalence relations to define rational numbers consider the set s = {(x,y) ∈ z × z: A set z=nz that’s a. An equivalence relation on a set x is a subset r x x with the following properties: Ultimately, this is the “right” definition of the set of rational numbers!
From www.teachoo.com
Example 5 R = {(a, b) 2 divides ab} is equivalence relation Set Of Rational Numbers Equivalence Relation \((x, y) \in r\) implies \((y, x) \in r\) (symmetric. This handout explains how “congruence modulo n” is something called an equivalence relation, and we can use it to construct. Explain why \(\mathbb{q} = (\mathbb{z} × \mathbb{z}^∗)/\text{q}\). Let a be a nonempty set. We define a rational number to be an. A set z=nz that’s a. A relation ∼ on. Set Of Rational Numbers Equivalence Relation.
From www.teachoo.com
Let A = {1, 2, 3, 4}. Let R be equivalence relation on A x A defined Set Of Rational Numbers Equivalence Relation Explain why \(\mathbb{q} = (\mathbb{z} × \mathbb{z}^∗)/\text{q}\). Using equivalence relations to define rational numbers consider the set s = {(x,y) ∈ z × z: Y) 2 r by x y, we have. The relation q defined in the previous problem partitions the set of all pairs of integers into an interesting set of equivalence classes. An equivalence relation on a. Set Of Rational Numbers Equivalence Relation.
From www.toppr.com
Consider the following relations ( mathrm { R } = { ( mathrm { x } , mathrm { y } ) mathrm { x Set Of Rational Numbers Equivalence Relation An equivalence relation on a set \(x\) is a relation \(r \subset x \times x\) such that \((x, x) \in r\) for all \(x \in x\) (reflexive property); A set z=nz that’s a. This handout explains how “congruence modulo n” is something called an equivalence relation, and we can use it to construct. Ultimately, this is the “right” definition of. Set Of Rational Numbers Equivalence Relation.
From helpingwithmath.com
Rational Numbers What, Properties, Standard Form, Examples Set Of Rational Numbers Equivalence Relation Ultimately, this is the “right” definition of the set of rational numbers! \((x, y) \in r\) implies \((y, x) \in r\) (symmetric. Let a be a nonempty set. An equivalence relation on a set x is a subset r x x with the following properties: A relation ∼ on the set a is an equivalence relation provided that ∼ is.. Set Of Rational Numbers Equivalence Relation.
From www.youtube.com
Method of Finding Equivalent Rational Numbers YouTube Set Of Rational Numbers Equivalence Relation The relation q defined in the previous problem partitions the set of all pairs of integers into an interesting set of equivalence classes. Explain why \(\mathbb{q} = (\mathbb{z} × \mathbb{z}^∗)/\text{q}\). Y) 2 r by x y, we have. A relation ∼ on the set a is an equivalence relation provided that ∼ is. Any equivalence relation on a set creates. Set Of Rational Numbers Equivalence Relation.
From www.slideserve.com
PPT 8.5 Equivalence Relations PowerPoint Presentation, free download ID1994897 Set Of Rational Numbers Equivalence Relation We define a rational number to be an. Let a be a nonempty set. \((x, y) \in r\) implies \((y, x) \in r\) (symmetric. The relation q defined in the previous problem partitions the set of all pairs of integers into an interesting set of equivalence classes. Y) 2 r by x y, we have. Using equivalence relations to define. Set Of Rational Numbers Equivalence Relation.
From www.numerade.com
SOLVED (Construction of the rational numbers) In this exercise, we will define a set of Set Of Rational Numbers Equivalence Relation Explain why \(\mathbb{q} = (\mathbb{z} × \mathbb{z}^∗)/\text{q}\). A relation ∼ on the set a is an equivalence relation provided that ∼ is. Any equivalence relation on a set creates a partition of that set by collecting into subsets all of the elements that are equivalent (related) to. An equivalence relation on a set x is a subset r x x. Set Of Rational Numbers Equivalence Relation.
From docslib.org
MATH 321 EQUIVALENCE RELATIONS, WELLDEFINEDNESS, MODULAR ARITHMETIC, and the RATIONAL NUMBERS Set Of Rational Numbers Equivalence Relation \((x, y) \in r\) implies \((y, x) \in r\) (symmetric. An equivalence relation on a set \(x\) is a relation \(r \subset x \times x\) such that \((x, x) \in r\) for all \(x \in x\) (reflexive property); We define a rational number to be an. Explain why \(\mathbb{q} = (\mathbb{z} × \mathbb{z}^∗)/\text{q}\). Ultimately, this is the “right” definition of. Set Of Rational Numbers Equivalence Relation.
From www.slideserve.com
PPT Equivalence Relations PowerPoint Presentation, free download ID3852516 Set Of Rational Numbers Equivalence Relation \((x, y) \in r\) implies \((y, x) \in r\) (symmetric. This handout explains how “congruence modulo n” is something called an equivalence relation, and we can use it to construct. Let a be a nonempty set. Explain why \(\mathbb{q} = (\mathbb{z} × \mathbb{z}^∗)/\text{q}\). Any equivalence relation on a set creates a partition of that set by collecting into subsets all. Set Of Rational Numbers Equivalence Relation.
From www.cuemath.com
Rational Numbers Formula List of All Rational Numbers Formula with Solved Examples Set Of Rational Numbers Equivalence Relation A relation ∼ on the set a is an equivalence relation provided that ∼ is. Ultimately, this is the “right” definition of the set of rational numbers! An equivalence relation on a set x is a subset r x x with the following properties: Using equivalence relations to define rational numbers consider the set s = {(x,y) ∈ z ×. Set Of Rational Numbers Equivalence Relation.
From www.teachoo.com
Example 41 If R1, R2 are equivalence relations in set A Set Of Rational Numbers Equivalence Relation A set z=nz that’s a. Ultimately, this is the “right” definition of the set of rational numbers! A relation ∼ on the set a is an equivalence relation provided that ∼ is. \((x, y) \in r\) implies \((y, x) \in r\) (symmetric. We define a rational number to be an. An equivalence relation on a set \(x\) is a relation. Set Of Rational Numbers Equivalence Relation.
From studylib.net
Using equivalence relations to define rational numbers Consider the Set Of Rational Numbers Equivalence Relation This handout explains how “congruence modulo n” is something called an equivalence relation, and we can use it to construct. We define a rational number to be an. Using equivalence relations to define rational numbers consider the set s = {(x,y) ∈ z × z: \((x, y) \in r\) implies \((y, x) \in r\) (symmetric. Y) 2 r by x. Set Of Rational Numbers Equivalence Relation.
From www.teachoo.com
Give four rational numbers equivalent to (iii) 4/9 Class 7 Maths Set Of Rational Numbers Equivalence Relation The relation q defined in the previous problem partitions the set of all pairs of integers into an interesting set of equivalence classes. Let a be a nonempty set. Explain why \(\mathbb{q} = (\mathbb{z} × \mathbb{z}^∗)/\text{q}\). Any equivalence relation on a set creates a partition of that set by collecting into subsets all of the elements that are equivalent (related). Set Of Rational Numbers Equivalence Relation.
From www.researchgate.net
Example page from instructional handbook on rational number equivalence... Download Scientific Set Of Rational Numbers Equivalence Relation Ultimately, this is the “right” definition of the set of rational numbers! The relation q defined in the previous problem partitions the set of all pairs of integers into an interesting set of equivalence classes. We define a rational number to be an. Explain why \(\mathbb{q} = (\mathbb{z} × \mathbb{z}^∗)/\text{q}\). An equivalence relation on a set x is a subset. Set Of Rational Numbers Equivalence Relation.
From www.doubtnut.com
Let Q be the set of rational numbers and R be a relation on Q defined by R{""x,y inQ,x^2+y^2=5} is Set Of Rational Numbers Equivalence Relation Ultimately, this is the “right” definition of the set of rational numbers! We define a rational number to be an. This handout explains how “congruence modulo n” is something called an equivalence relation, and we can use it to construct. Let a be a nonempty set. Using equivalence relations to define rational numbers consider the set s = {(x,y) ∈. Set Of Rational Numbers Equivalence Relation.
From www.toppr.com
If 'Q' is the set of all non zero rational numbers, R = { (a, b)/a = 1/b } is a relation in Q Set Of Rational Numbers Equivalence Relation Any equivalence relation on a set creates a partition of that set by collecting into subsets all of the elements that are equivalent (related) to. A relation ∼ on the set a is an equivalence relation provided that ∼ is. We define a rational number to be an. \((x, y) \in r\) implies \((y, x) \in r\) (symmetric. An equivalence. Set Of Rational Numbers Equivalence Relation.
From www.youtube.com
RATIONAL NUMBERS BY EQUIVALENCE CLASSES, by Yogendra Bahadur Singh Chauhan YouTube Set Of Rational Numbers Equivalence Relation Y) 2 r by x y, we have. A relation ∼ on the set a is an equivalence relation provided that ∼ is. We define a rational number to be an. Explain why \(\mathbb{q} = (\mathbb{z} × \mathbb{z}^∗)/\text{q}\). \((x, y) \in r\) implies \((y, x) \in r\) (symmetric. A set z=nz that’s a. An equivalence relation on a set \(x\). Set Of Rational Numbers Equivalence Relation.
From calcworkshop.com
Equivalence Relation (Defined w/ 17 StepbyStep Examples!) Set Of Rational Numbers Equivalence Relation Y) 2 r by x y, we have. Using equivalence relations to define rational numbers consider the set s = {(x,y) ∈ z × z: A relation ∼ on the set a is an equivalence relation provided that ∼ is. An equivalence relation on a set x is a subset r x x with the following properties: This handout explains. Set Of Rational Numbers Equivalence Relation.
From www.youtube.com
Equivalent Rational Numbers YouTube Set Of Rational Numbers Equivalence Relation The relation q defined in the previous problem partitions the set of all pairs of integers into an interesting set of equivalence classes. An equivalence relation on a set x is a subset r x x with the following properties: A set z=nz that’s a. An equivalence relation on a set \(x\) is a relation \(r \subset x \times x\). Set Of Rational Numbers Equivalence Relation.
From www.youtube.com
How to find equivalent rational number Which are the pairs of equivalent rational number YouTube Set Of Rational Numbers Equivalence Relation The relation q defined in the previous problem partitions the set of all pairs of integers into an interesting set of equivalence classes. Any equivalence relation on a set creates a partition of that set by collecting into subsets all of the elements that are equivalent (related) to. Y) 2 r by x y, we have. This handout explains how. Set Of Rational Numbers Equivalence Relation.
From www.chegg.com
Solved Do the following Suppose is a relation defined on Set Of Rational Numbers Equivalence Relation A relation ∼ on the set a is an equivalence relation provided that ∼ is. We define a rational number to be an. Using equivalence relations to define rational numbers consider the set s = {(x,y) ∈ z × z: An equivalence relation on a set x is a subset r x x with the following properties: This handout explains. Set Of Rational Numbers Equivalence Relation.
From www.slideserve.com
PPT Special Sets of Numbers PowerPoint Presentation, free download ID1547535 Set Of Rational Numbers Equivalence Relation A relation ∼ on the set a is an equivalence relation provided that ∼ is. Explain why \(\mathbb{q} = (\mathbb{z} × \mathbb{z}^∗)/\text{q}\). We define a rational number to be an. A set z=nz that’s a. Using equivalence relations to define rational numbers consider the set s = {(x,y) ∈ z × z: \((x, y) \in r\) implies \((y, x) \in. Set Of Rational Numbers Equivalence Relation.
From askfilo.com
The relation R on the set of rational numbers defined by R={(x,y)x,y∈Q a.. Set Of Rational Numbers Equivalence Relation Ultimately, this is the “right” definition of the set of rational numbers! Let a be a nonempty set. A set z=nz that’s a. \((x, y) \in r\) implies \((y, x) \in r\) (symmetric. Explain why \(\mathbb{q} = (\mathbb{z} × \mathbb{z}^∗)/\text{q}\). Any equivalence relation on a set creates a partition of that set by collecting into subsets all of the elements. Set Of Rational Numbers Equivalence Relation.
From www.numerade.com
SOLVED RELATIONS EQUIVALENCE RELATIONS Example 1 Let X = Z be the set of integers, or let X Set Of Rational Numbers Equivalence Relation An equivalence relation on a set \(x\) is a relation \(r \subset x \times x\) such that \((x, x) \in r\) for all \(x \in x\) (reflexive property); We define a rational number to be an. \((x, y) \in r\) implies \((y, x) \in r\) (symmetric. Ultimately, this is the “right” definition of the set of rational numbers! A relation. Set Of Rational Numbers Equivalence Relation.
From byjus.com
What are equivalent rational numbers? Set Of Rational Numbers Equivalence Relation Ultimately, this is the “right” definition of the set of rational numbers! The relation q defined in the previous problem partitions the set of all pairs of integers into an interesting set of equivalence classes. Using equivalence relations to define rational numbers consider the set s = {(x,y) ∈ z × z: This handout explains how “congruence modulo n” is. Set Of Rational Numbers Equivalence Relation.
From www.numerade.com
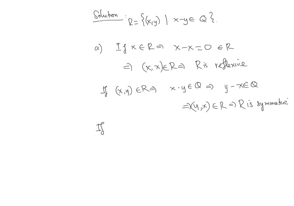
SOLVED (a) Show that (x, y) x y ∈ Q is an equivalence relation on the set of real numbers Set Of Rational Numbers Equivalence Relation Any equivalence relation on a set creates a partition of that set by collecting into subsets all of the elements that are equivalent (related) to. A set z=nz that’s a. Using equivalence relations to define rational numbers consider the set s = {(x,y) ∈ z × z: An equivalence relation on a set x is a subset r x x. Set Of Rational Numbers Equivalence Relation.
From www.youtube.com
Set of Rational Numbers YouTube Set Of Rational Numbers Equivalence Relation Y) 2 r by x y, we have. Ultimately, this is the “right” definition of the set of rational numbers! The relation q defined in the previous problem partitions the set of all pairs of integers into an interesting set of equivalence classes. \((x, y) \in r\) implies \((y, x) \in r\) (symmetric. We define a rational number to be. Set Of Rational Numbers Equivalence Relation.
From www.slideserve.com
PPT 8.5 Equivalence Relations PowerPoint Presentation, free download ID1793103 Set Of Rational Numbers Equivalence Relation Using equivalence relations to define rational numbers consider the set s = {(x,y) ∈ z × z: Any equivalence relation on a set creates a partition of that set by collecting into subsets all of the elements that are equivalent (related) to. This handout explains how “congruence modulo n” is something called an equivalence relation, and we can use it. Set Of Rational Numbers Equivalence Relation.
From www.numerade.com
SOLVED Consider the following relations 9, (a. b) iff (a + b) is even over the set of integers Set Of Rational Numbers Equivalence Relation An equivalence relation on a set \(x\) is a relation \(r \subset x \times x\) such that \((x, x) \in r\) for all \(x \in x\) (reflexive property); Using equivalence relations to define rational numbers consider the set s = {(x,y) ∈ z × z: A set z=nz that’s a. This handout explains how “congruence modulo n” is something called. Set Of Rational Numbers Equivalence Relation.
From www.numerade.com
SOLVED Which of the following sets are denumerable? Pick all that apply 1. The set of all odd Set Of Rational Numbers Equivalence Relation We define a rational number to be an. Let a be a nonempty set. This handout explains how “congruence modulo n” is something called an equivalence relation, and we can use it to construct. Explain why \(\mathbb{q} = (\mathbb{z} × \mathbb{z}^∗)/\text{q}\). A relation ∼ on the set a is an equivalence relation provided that ∼ is. An equivalence relation on. Set Of Rational Numbers Equivalence Relation.
From www.numerade.com
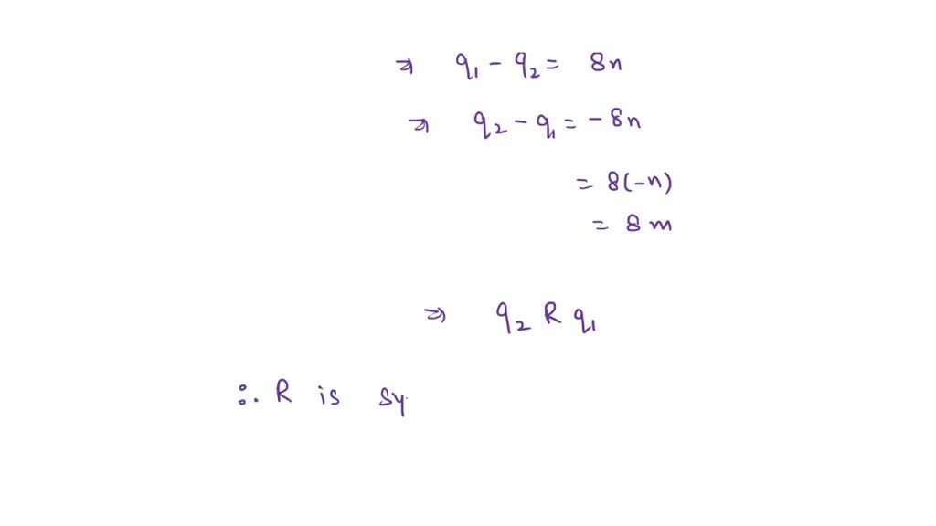
SOLVED On the set Q of all rational numbers, define a relation R by q1Rq2 if and only if q1 Set Of Rational Numbers Equivalence Relation We define a rational number to be an. An equivalence relation on a set \(x\) is a relation \(r \subset x \times x\) such that \((x, x) \in r\) for all \(x \in x\) (reflexive property); An equivalence relation on a set x is a subset r x x with the following properties: Y) 2 r by x y, we. Set Of Rational Numbers Equivalence Relation.
From www.teachoo.com
Example 24 Show number of equivalence relation in {1, 2, 3} Set Of Rational Numbers Equivalence Relation An equivalence relation on a set x is a subset r x x with the following properties: A relation ∼ on the set a is an equivalence relation provided that ∼ is. Using equivalence relations to define rational numbers consider the set s = {(x,y) ∈ z × z: An equivalence relation on a set \(x\) is a relation \(r. Set Of Rational Numbers Equivalence Relation.
From www.youtube.com
equivalent rational numbers find equivalent rational numbers Its study time YouTube Set Of Rational Numbers Equivalence Relation An equivalence relation on a set x is a subset r x x with the following properties: \((x, y) \in r\) implies \((y, x) \in r\) (symmetric. A set z=nz that’s a. Ultimately, this is the “right” definition of the set of rational numbers! We define a rational number to be an. Using equivalence relations to define rational numbers consider. Set Of Rational Numbers Equivalence Relation.
From calcworkshop.com
Equivalence Relation (Defined w/ 17 StepbyStep Examples!) Set Of Rational Numbers Equivalence Relation This handout explains how “congruence modulo n” is something called an equivalence relation, and we can use it to construct. \((x, y) \in r\) implies \((y, x) \in r\) (symmetric. A set z=nz that’s a. Explain why \(\mathbb{q} = (\mathbb{z} × \mathbb{z}^∗)/\text{q}\). We define a rational number to be an. Let a be a nonempty set. Any equivalence relation on. Set Of Rational Numbers Equivalence Relation.
From www.pinterest.com
Rational Numbers Definition, Properties, Examples & Diagram Rational numbers, Math tutorials Set Of Rational Numbers Equivalence Relation \((x, y) \in r\) implies \((y, x) \in r\) (symmetric. A relation ∼ on the set a is an equivalence relation provided that ∼ is. Ultimately, this is the “right” definition of the set of rational numbers! This handout explains how “congruence modulo n” is something called an equivalence relation, and we can use it to construct. Any equivalence relation. Set Of Rational Numbers Equivalence Relation.