Each Successful Free Throw Is How Many Points . How many points is a free throw worth? Free throws are always worth one point in basketball. By logging your free throw attempts and successes, you gain valuable insights into your strengths and areas that require attention. A free throw is an unguarded scoring attempt that gives a basketball team the chance to score extra points after a foul. A free throw is worth one point. However, players can be awarded different amounts of free throw. Free throws are awarded when a player is fouled while attempting a shot or when the opposing team exceeds their foul limit.
        
         
         
        from fadeawayworld.net 
     
        
        A free throw is worth one point. Free throws are awarded when a player is fouled while attempting a shot or when the opposing team exceeds their foul limit. However, players can be awarded different amounts of free throw. How many points is a free throw worth? By logging your free throw attempts and successes, you gain valuable insights into your strengths and areas that require attention. Free throws are always worth one point in basketball. A free throw is an unguarded scoring attempt that gives a basketball team the chance to score extra points after a foul.
    
    	
            
	
		 
	 
         
    How The Top 10 NBA Players On The AllTime Scoring List Scored Their 
    Each Successful Free Throw Is How Many Points  By logging your free throw attempts and successes, you gain valuable insights into your strengths and areas that require attention. By logging your free throw attempts and successes, you gain valuable insights into your strengths and areas that require attention. However, players can be awarded different amounts of free throw. Free throws are always worth one point in basketball. A free throw is worth one point. Free throws are awarded when a player is fouled while attempting a shot or when the opposing team exceeds their foul limit. A free throw is an unguarded scoring attempt that gives a basketball team the chance to score extra points after a foul. How many points is a free throw worth?
            
	
		 
	 
         
 
    
         
        From www.wikihow.com 
                    How to Stand Along the Key when Free Throws Are Made 7 Steps Each Successful Free Throw Is How Many Points  A free throw is an unguarded scoring attempt that gives a basketball team the chance to score extra points after a foul. A free throw is worth one point. However, players can be awarded different amounts of free throw. How many points is a free throw worth? Free throws are always worth one point in basketball. By logging your free. Each Successful Free Throw Is How Many Points.
     
    
         
        From www.facesofbasketball.com 
                    How Many Points Is a Free Throw Worth? Each Successful Free Throw Is How Many Points  A free throw is an unguarded scoring attempt that gives a basketball team the chance to score extra points after a foul. Free throws are always worth one point in basketball. By logging your free throw attempts and successes, you gain valuable insights into your strengths and areas that require attention. How many points is a free throw worth? However,. Each Successful Free Throw Is How Many Points.
     
    
         
        From kjbrooksby.blogspot.com 
                    What are the biomechanical principles involved in shooting a basketball Each Successful Free Throw Is How Many Points  A free throw is worth one point. Free throws are always worth one point in basketball. However, players can be awarded different amounts of free throw. Free throws are awarded when a player is fouled while attempting a shot or when the opposing team exceeds their foul limit. A free throw is an unguarded scoring attempt that gives a basketball. Each Successful Free Throw Is How Many Points.
     
    
         
        From www.slideserve.com 
                    PPT The Rules of Basketball PowerPoint Presentation, free download Each Successful Free Throw Is How Many Points  A free throw is worth one point. Free throws are always worth one point in basketball. However, players can be awarded different amounts of free throw. How many points is a free throw worth? By logging your free throw attempts and successes, you gain valuable insights into your strengths and areas that require attention. Free throws are awarded when a. Each Successful Free Throw Is How Many Points.
     
    
         
        From www.researchgate.net 
                    Free throws in each minute of the game and success percentages Each Successful Free Throw Is How Many Points  However, players can be awarded different amounts of free throw. Free throws are awarded when a player is fouled while attempting a shot or when the opposing team exceeds their foul limit. A free throw is worth one point. How many points is a free throw worth? By logging your free throw attempts and successes, you gain valuable insights into. Each Successful Free Throw Is How Many Points.
     
    
         
        From ecosports.com 
                    How Many Points Are A Free Throw Worth? Each Successful Free Throw Is How Many Points  Free throws are awarded when a player is fouled while attempting a shot or when the opposing team exceeds their foul limit. Free throws are always worth one point in basketball. A free throw is an unguarded scoring attempt that gives a basketball team the chance to score extra points after a foul. By logging your free throw attempts and. Each Successful Free Throw Is How Many Points.
     
    
         
        From basketballrules101.blogspot.com 
                    Learning the Rules of Basketball Three Seconds in the lane Each Successful Free Throw Is How Many Points  Free throws are awarded when a player is fouled while attempting a shot or when the opposing team exceeds their foul limit. By logging your free throw attempts and successes, you gain valuable insights into your strengths and areas that require attention. Free throws are always worth one point in basketball. A free throw is an unguarded scoring attempt that. Each Successful Free Throw Is How Many Points.
     
    
         
        From www.si.com 
                    This 1958 infographic will teach you how to shoot a perfect free throw Each Successful Free Throw Is How Many Points  Free throws are always worth one point in basketball. Free throws are awarded when a player is fouled while attempting a shot or when the opposing team exceeds their foul limit. However, players can be awarded different amounts of free throw. A free throw is worth one point. By logging your free throw attempts and successes, you gain valuable insights. Each Successful Free Throw Is How Many Points.
     
    
         
        From www.goteambot.com 
                    Breathing Techniques for Basketball Free Throws TEAMBOT Each Successful Free Throw Is How Many Points  Free throws are awarded when a player is fouled while attempting a shot or when the opposing team exceeds their foul limit. Free throws are always worth one point in basketball. A free throw is worth one point. A free throw is an unguarded scoring attempt that gives a basketball team the chance to score extra points after a foul.. Each Successful Free Throw Is How Many Points.
     
    
         
        From www.wikihow.com 
                    How to Stand Along the Key when Free Throws Are Made 7 Steps Each Successful Free Throw Is How Many Points  A free throw is an unguarded scoring attempt that gives a basketball team the chance to score extra points after a foul. Free throws are awarded when a player is fouled while attempting a shot or when the opposing team exceeds their foul limit. Free throws are always worth one point in basketball. By logging your free throw attempts and. Each Successful Free Throw Is How Many Points.
     
    
         
        From www.referee.com 
                    FreeThrow Mechanics Deserve Pregame Attention Each Successful Free Throw Is How Many Points  A free throw is worth one point. By logging your free throw attempts and successes, you gain valuable insights into your strengths and areas that require attention. Free throws are awarded when a player is fouled while attempting a shot or when the opposing team exceeds their foul limit. A free throw is an unguarded scoring attempt that gives a. Each Successful Free Throw Is How Many Points.
     
    
         
        From fadeawayworld.net 
                    How The Top 10 NBA Players On The AllTime Scoring List Scored Their Each Successful Free Throw Is How Many Points  Free throws are always worth one point in basketball. By logging your free throw attempts and successes, you gain valuable insights into your strengths and areas that require attention. A free throw is worth one point. How many points is a free throw worth? However, players can be awarded different amounts of free throw. Free throws are awarded when a. Each Successful Free Throw Is How Many Points.
     
    
         
        From www.basketballmanitoba.ca 
                    Basketball Free Throws Now Worth 1.5 Points Each Basketball Manitoba Each Successful Free Throw Is How Many Points  Free throws are always worth one point in basketball. However, players can be awarded different amounts of free throw. By logging your free throw attempts and successes, you gain valuable insights into your strengths and areas that require attention. A free throw is an unguarded scoring attempt that gives a basketball team the chance to score extra points after a. Each Successful Free Throw Is How Many Points.
     
    
         
        From www.youtube.com 
                    How to Score More Points in Basketball by Getting To The Free Throw Each Successful Free Throw Is How Many Points  A free throw is an unguarded scoring attempt that gives a basketball team the chance to score extra points after a foul. Free throws are always worth one point in basketball. By logging your free throw attempts and successes, you gain valuable insights into your strengths and areas that require attention. A free throw is worth one point. Free throws. Each Successful Free Throw Is How Many Points.
     
    
         
        From www.wikihow.com 
                    How to Shoot a Free Throw 12 Easy Steps (with Pictures) Each Successful Free Throw Is How Many Points  A free throw is an unguarded scoring attempt that gives a basketball team the chance to score extra points after a foul. How many points is a free throw worth? Free throws are awarded when a player is fouled while attempting a shot or when the opposing team exceeds their foul limit. However, players can be awarded different amounts of. Each Successful Free Throw Is How Many Points.
     
    
         
        From www.youtube.com 
                    Free Throw Positions YouTube Each Successful Free Throw Is How Many Points  Free throws are always worth one point in basketball. By logging your free throw attempts and successes, you gain valuable insights into your strengths and areas that require attention. A free throw is an unguarded scoring attempt that gives a basketball team the chance to score extra points after a foul. However, players can be awarded different amounts of free. Each Successful Free Throw Is How Many Points.
     
    
         
        From www.slideserve.com 
                    PPT Sport Psychology PowerPoint Presentation, free download ID1961286 Each Successful Free Throw Is How Many Points  By logging your free throw attempts and successes, you gain valuable insights into your strengths and areas that require attention. A free throw is worth one point. Free throws are awarded when a player is fouled while attempting a shot or when the opposing team exceeds their foul limit. A free throw is an unguarded scoring attempt that gives a. Each Successful Free Throw Is How Many Points.
     
    
         
        From www.mdpi.com 
                    Applied Sciences Free FullText Improving Effectiveness of Each Successful Free Throw Is How Many Points  By logging your free throw attempts and successes, you gain valuable insights into your strengths and areas that require attention. Free throws are always worth one point in basketball. A free throw is worth one point. A free throw is an unguarded scoring attempt that gives a basketball team the chance to score extra points after a foul. How many. Each Successful Free Throw Is How Many Points.
     
    
         
        From videosportsanalysis.blogspot.com 
                    Video Analysis of Sports Improving your Basketball Free Throw with Video Each Successful Free Throw Is How Many Points  By logging your free throw attempts and successes, you gain valuable insights into your strengths and areas that require attention. How many points is a free throw worth? Free throws are awarded when a player is fouled while attempting a shot or when the opposing team exceeds their foul limit. A free throw is an unguarded scoring attempt that gives. Each Successful Free Throw Is How Many Points.
     
    
         
        From www.nba.com 
                    HEAT Set NBA Record From The FreeThrow Line Each Successful Free Throw Is How Many Points  How many points is a free throw worth? A free throw is an unguarded scoring attempt that gives a basketball team the chance to score extra points after a foul. By logging your free throw attempts and successes, you gain valuable insights into your strengths and areas that require attention. However, players can be awarded different amounts of free throw.. Each Successful Free Throw Is How Many Points.
     
    
         
        From www.chegg.com 
                    Solved a. Is the proportion of successful free throws P from Each Successful Free Throw Is How Many Points  How many points is a free throw worth? Free throws are always worth one point in basketball. By logging your free throw attempts and successes, you gain valuable insights into your strengths and areas that require attention. A free throw is worth one point. Free throws are awarded when a player is fouled while attempting a shot or when the. Each Successful Free Throw Is How Many Points.
     
    
         
        From www.researchgate.net 
                    Free throws and success percentages Download Table Each Successful Free Throw Is How Many Points  By logging your free throw attempts and successes, you gain valuable insights into your strengths and areas that require attention. A free throw is an unguarded scoring attempt that gives a basketball team the chance to score extra points after a foul. Free throws are always worth one point in basketball. How many points is a free throw worth? However,. Each Successful Free Throw Is How Many Points.
     
    
         
        From basketballhq.com 
                    Basketball Coaching Articles Basketball HQ Each Successful Free Throw Is How Many Points  Free throws are awarded when a player is fouled while attempting a shot or when the opposing team exceeds their foul limit. How many points is a free throw worth? A free throw is worth one point. However, players can be awarded different amounts of free throw. Free throws are always worth one point in basketball. By logging your free. Each Successful Free Throw Is How Many Points.
     
    
         
        From thestadiumreviews.com 
                    What is a Free Throw in Basketball How Many Points? TSR Each Successful Free Throw Is How Many Points  A free throw is worth one point. However, players can be awarded different amounts of free throw. A free throw is an unguarded scoring attempt that gives a basketball team the chance to score extra points after a foul. Free throws are awarded when a player is fouled while attempting a shot or when the opposing team exceeds their foul. Each Successful Free Throw Is How Many Points.
     
    
         
        From www.jes-basketball.com 
                    Basketball Free throws Throw and move Each Successful Free Throw Is How Many Points  By logging your free throw attempts and successes, you gain valuable insights into your strengths and areas that require attention. Free throws are always worth one point in basketball. A free throw is worth one point. However, players can be awarded different amounts of free throw. Free throws are awarded when a player is fouled while attempting a shot or. Each Successful Free Throw Is How Many Points.
     
    
         
        From www.wikihow.com 
                    How to Shoot a Basketball Free Throw 14 Steps (with Pictures) Each Successful Free Throw Is How Many Points  How many points is a free throw worth? A free throw is an unguarded scoring attempt that gives a basketball team the chance to score extra points after a foul. However, players can be awarded different amounts of free throw. Free throws are awarded when a player is fouled while attempting a shot or when the opposing team exceeds their. Each Successful Free Throw Is How Many Points.
     
    
         
        From www.numerade.com 
                    SOLVEDA basketball player shoots two consecutive free throws. Each Each Successful Free Throw Is How Many Points  However, players can be awarded different amounts of free throw. Free throws are awarded when a player is fouled while attempting a shot or when the opposing team exceeds their foul limit. By logging your free throw attempts and successes, you gain valuable insights into your strengths and areas that require attention. A free throw is an unguarded scoring attempt. Each Successful Free Throw Is How Many Points.
     
    
         
        From www.pinterest.com 
                    a group of men standing next to each other on top of a basketball court Each Successful Free Throw Is How Many Points  A free throw is worth one point. Free throws are always worth one point in basketball. A free throw is an unguarded scoring attempt that gives a basketball team the chance to score extra points after a foul. Free throws are awarded when a player is fouled while attempting a shot or when the opposing team exceeds their foul limit.. Each Successful Free Throw Is How Many Points.
     
    
         
        From brainly.com 
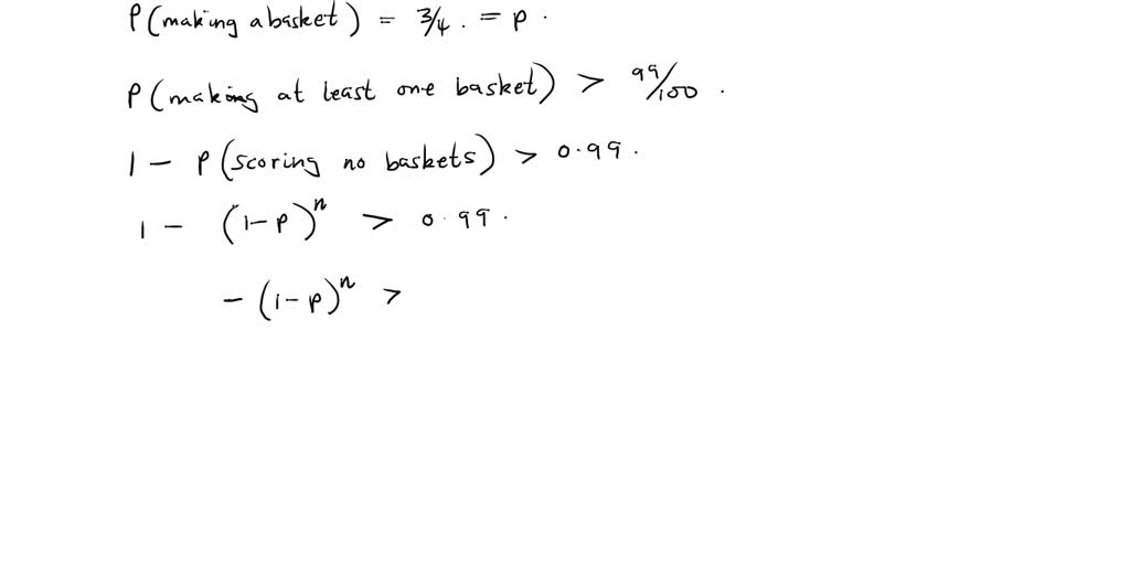
                    The probability that maria succeeds at any given freethrow is 75\75 Each Successful Free Throw Is How Many Points  However, players can be awarded different amounts of free throw. Free throws are awarded when a player is fouled while attempting a shot or when the opposing team exceeds their foul limit. How many points is a free throw worth? A free throw is an unguarded scoring attempt that gives a basketball team the chance to score extra points after. Each Successful Free Throw Is How Many Points.
     
    
         
        From fadeawayworld.net 
                    Active NBA Players Who Are Leading In Major Stat Categories LeBron Each Successful Free Throw Is How Many Points  A free throw is an unguarded scoring attempt that gives a basketball team the chance to score extra points after a foul. By logging your free throw attempts and successes, you gain valuable insights into your strengths and areas that require attention. How many points is a free throw worth? Free throws are awarded when a player is fouled while. Each Successful Free Throw Is How Many Points.
     
    
         
        From fromthecharitystripe.blogspot.com 
                    AT THE LINE Shooting The Traditional FreeThrow Each Successful Free Throw Is How Many Points  Free throws are awarded when a player is fouled while attempting a shot or when the opposing team exceeds their foul limit. A free throw is an unguarded scoring attempt that gives a basketball team the chance to score extra points after a foul. A free throw is worth one point. Free throws are always worth one point in basketball.. Each Successful Free Throw Is How Many Points.
     
    
         
        From daily.jstor.org 
                    The Math Behind the Perfect Free Throw JSTOR Daily Each Successful Free Throw Is How Many Points  A free throw is an unguarded scoring attempt that gives a basketball team the chance to score extra points after a foul. A free throw is worth one point. However, players can be awarded different amounts of free throw. How many points is a free throw worth? Free throws are awarded when a player is fouled while attempting a shot. Each Successful Free Throw Is How Many Points.
     
    
         
        From basketballbuckets.com 
                    What is The Paint in Basketball? [Picture Examples] Each Successful Free Throw Is How Many Points  A free throw is worth one point. Free throws are awarded when a player is fouled while attempting a shot or when the opposing team exceeds their foul limit. A free throw is an unguarded scoring attempt that gives a basketball team the chance to score extra points after a foul. However, players can be awarded different amounts of free. Each Successful Free Throw Is How Many Points.
     
    
         
        From www.numerade.com 
                    Free throws A basketball player has probability 0.75 of making a free Each Successful Free Throw Is How Many Points  A free throw is worth one point. A free throw is an unguarded scoring attempt that gives a basketball team the chance to score extra points after a foul. How many points is a free throw worth? By logging your free throw attempts and successes, you gain valuable insights into your strengths and areas that require attention. Free throws are. Each Successful Free Throw Is How Many Points.
     
    
         
        From bolavip.com 
                    How many points is a free throw worth? Each Successful Free Throw Is How Many Points  By logging your free throw attempts and successes, you gain valuable insights into your strengths and areas that require attention. However, players can be awarded different amounts of free throw. Free throws are awarded when a player is fouled while attempting a shot or when the opposing team exceeds their foul limit. A free throw is an unguarded scoring attempt. Each Successful Free Throw Is How Many Points.