How Does The World Population Clock Work . Rather, the clock is the u.s. Cities featured on the most populous and highest density lists feature populations of 5,000 or more on july 1, 2023. The global population is counted by considering national census data, as well as birth and death rates. Census bureau's estimate of the world population size and an indication of how fast it is growing.
from www.prnewswire.com
Cities featured on the most populous and highest density lists feature populations of 5,000 or more on july 1, 2023. Rather, the clock is the u.s. Census bureau's estimate of the world population size and an indication of how fast it is growing. The global population is counted by considering national census data, as well as birth and death rates.
Census Bureau World Population Clock Updated with New Features
How Does The World Population Clock Work Rather, the clock is the u.s. Census bureau's estimate of the world population size and an indication of how fast it is growing. Cities featured on the most populous and highest density lists feature populations of 5,000 or more on july 1, 2023. The global population is counted by considering national census data, as well as birth and death rates. Rather, the clock is the u.s.
From statmath.wu-wien.ac.at
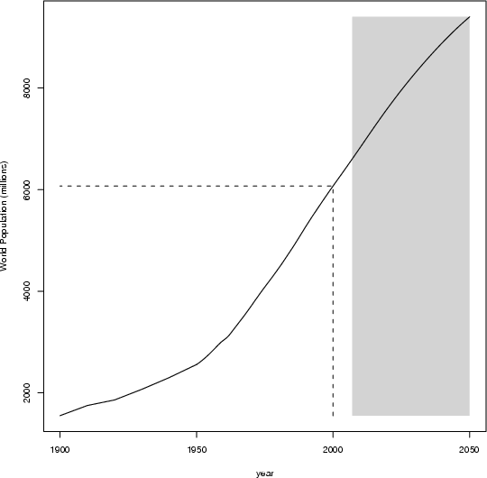
11.1 Case study The Population Clock How Does The World Population Clock Work Census bureau's estimate of the world population size and an indication of how fast it is growing. The global population is counted by considering national census data, as well as birth and death rates. Rather, the clock is the u.s. Cities featured on the most populous and highest density lists feature populations of 5,000 or more on july 1, 2023. How Does The World Population Clock Work.
From palmergeoghist.weebly.com
Population Clock Mr Palmer's Geography & History How Does The World Population Clock Work Census bureau's estimate of the world population size and an indication of how fast it is growing. Rather, the clock is the u.s. The global population is counted by considering national census data, as well as birth and death rates. Cities featured on the most populous and highest density lists feature populations of 5,000 or more on july 1, 2023. How Does The World Population Clock Work.
From statestale.com
World Population Clock Live Data and Trends (2023) States Tale How Does The World Population Clock Work Rather, the clock is the u.s. The global population is counted by considering national census data, as well as birth and death rates. Census bureau's estimate of the world population size and an indication of how fast it is growing. Cities featured on the most populous and highest density lists feature populations of 5,000 or more on july 1, 2023. How Does The World Population Clock Work.
From www.slideserve.com
PPT Population Clock PowerPoint Presentation, free download ID5421118 How Does The World Population Clock Work The global population is counted by considering national census data, as well as birth and death rates. Census bureau's estimate of the world population size and an indication of how fast it is growing. Cities featured on the most populous and highest density lists feature populations of 5,000 or more on july 1, 2023. Rather, the clock is the u.s. How Does The World Population Clock Work.
From www.youtube.com
World Population Clock YouTube How Does The World Population Clock Work Rather, the clock is the u.s. The global population is counted by considering national census data, as well as birth and death rates. Cities featured on the most populous and highest density lists feature populations of 5,000 or more on july 1, 2023. Census bureau's estimate of the world population size and an indication of how fast it is growing. How Does The World Population Clock Work.
From devongeography.wordpress.com
World Population To Hit 8 Billion This Month Devon Geography How Does The World Population Clock Work Cities featured on the most populous and highest density lists feature populations of 5,000 or more on july 1, 2023. Rather, the clock is the u.s. Census bureau's estimate of the world population size and an indication of how fast it is growing. The global population is counted by considering national census data, as well as birth and death rates. How Does The World Population Clock Work.
From www.slideserve.com
PPT World population clock PowerPoint Presentation, free download How Does The World Population Clock Work The global population is counted by considering national census data, as well as birth and death rates. Census bureau's estimate of the world population size and an indication of how fast it is growing. Cities featured on the most populous and highest density lists feature populations of 5,000 or more on july 1, 2023. Rather, the clock is the u.s. How Does The World Population Clock Work.
From www.youtube.com
World Population Clock YouTube How Does The World Population Clock Work Rather, the clock is the u.s. Cities featured on the most populous and highest density lists feature populations of 5,000 or more on july 1, 2023. The global population is counted by considering national census data, as well as birth and death rates. Census bureau's estimate of the world population size and an indication of how fast it is growing. How Does The World Population Clock Work.
From www.slideserve.com
PPT Chp . 2 Population PowerPoint Presentation, free download ID How Does The World Population Clock Work Rather, the clock is the u.s. Census bureau's estimate of the world population size and an indication of how fast it is growing. Cities featured on the most populous and highest density lists feature populations of 5,000 or more on july 1, 2023. The global population is counted by considering national census data, as well as birth and death rates. How Does The World Population Clock Work.
From www.slideserve.com
PPT World population clock PowerPoint Presentation, free download How Does The World Population Clock Work Census bureau's estimate of the world population size and an indication of how fast it is growing. The global population is counted by considering national census data, as well as birth and death rates. Cities featured on the most populous and highest density lists feature populations of 5,000 or more on july 1, 2023. Rather, the clock is the u.s. How Does The World Population Clock Work.
From www.youtube.com
🌎 U.S. and World Population Clock YouTube How Does The World Population Clock Work Census bureau's estimate of the world population size and an indication of how fast it is growing. Cities featured on the most populous and highest density lists feature populations of 5,000 or more on july 1, 2023. Rather, the clock is the u.s. The global population is counted by considering national census data, as well as birth and death rates. How Does The World Population Clock Work.
From www.worldatlas.com
Population Clock USA And World WorldAtlas How Does The World Population Clock Work Cities featured on the most populous and highest density lists feature populations of 5,000 or more on july 1, 2023. Census bureau's estimate of the world population size and an indication of how fast it is growing. Rather, the clock is the u.s. The global population is counted by considering national census data, as well as birth and death rates. How Does The World Population Clock Work.
From www.slideserve.com
PPT World population clock PowerPoint Presentation, free download How Does The World Population Clock Work Census bureau's estimate of the world population size and an indication of how fast it is growing. Cities featured on the most populous and highest density lists feature populations of 5,000 or more on july 1, 2023. Rather, the clock is the u.s. The global population is counted by considering national census data, as well as birth and death rates. How Does The World Population Clock Work.
From www.slideserve.com
PPT to GCSE Geography! PowerPoint Presentation, free download How Does The World Population Clock Work Census bureau's estimate of the world population size and an indication of how fast it is growing. Cities featured on the most populous and highest density lists feature populations of 5,000 or more on july 1, 2023. Rather, the clock is the u.s. The global population is counted by considering national census data, as well as birth and death rates. How Does The World Population Clock Work.
From www.youtube.com
30 seconds on the World Population Clock YouTube How Does The World Population Clock Work Cities featured on the most populous and highest density lists feature populations of 5,000 or more on july 1, 2023. Rather, the clock is the u.s. The global population is counted by considering national census data, as well as birth and death rates. Census bureau's estimate of the world population size and an indication of how fast it is growing. How Does The World Population Clock Work.
From www.prnewswire.com
Census Bureau World Population Clock Updated with New Features How Does The World Population Clock Work The global population is counted by considering national census data, as well as birth and death rates. Cities featured on the most populous and highest density lists feature populations of 5,000 or more on july 1, 2023. Census bureau's estimate of the world population size and an indication of how fast it is growing. Rather, the clock is the u.s. How Does The World Population Clock Work.
From dokumen.tips
(PPT) HUMAN POPULATIONS World Population Clock Population Ranks U.S How Does The World Population Clock Work Cities featured on the most populous and highest density lists feature populations of 5,000 or more on july 1, 2023. The global population is counted by considering national census data, as well as birth and death rates. Census bureau's estimate of the world population size and an indication of how fast it is growing. Rather, the clock is the u.s. How Does The World Population Clock Work.
From www.slideserve.com
PPT World Population Dynamics PowerPoint Presentation, free download How Does The World Population Clock Work Cities featured on the most populous and highest density lists feature populations of 5,000 or more on july 1, 2023. The global population is counted by considering national census data, as well as birth and death rates. Census bureau's estimate of the world population size and an indication of how fast it is growing. Rather, the clock is the u.s. How Does The World Population Clock Work.
From www.slideserve.com
PPT World population clock PowerPoint Presentation, free download How Does The World Population Clock Work Census bureau's estimate of the world population size and an indication of how fast it is growing. The global population is counted by considering national census data, as well as birth and death rates. Rather, the clock is the u.s. Cities featured on the most populous and highest density lists feature populations of 5,000 or more on july 1, 2023. How Does The World Population Clock Work.
From mavink.com
World Population Map 2023 How Does The World Population Clock Work Cities featured on the most populous and highest density lists feature populations of 5,000 or more on july 1, 2023. Rather, the clock is the u.s. The global population is counted by considering national census data, as well as birth and death rates. Census bureau's estimate of the world population size and an indication of how fast it is growing. How Does The World Population Clock Work.
From www.youtube.com
WORLD POPULATION CLOCK. LIVE UPDATE POPULATION ON EARTH YouTube How Does The World Population Clock Work Rather, the clock is the u.s. The global population is counted by considering national census data, as well as birth and death rates. Census bureau's estimate of the world population size and an indication of how fast it is growing. Cities featured on the most populous and highest density lists feature populations of 5,000 or more on july 1, 2023. How Does The World Population Clock Work.
From play.google.com
World Population Clock Android Apps on Google Play How Does The World Population Clock Work Cities featured on the most populous and highest density lists feature populations of 5,000 or more on july 1, 2023. Rather, the clock is the u.s. Census bureau's estimate of the world population size and an indication of how fast it is growing. The global population is counted by considering national census data, as well as birth and death rates. How Does The World Population Clock Work.
From www.slideserve.com
PPT World Population Clock PowerPoint Presentation, free download How Does The World Population Clock Work Cities featured on the most populous and highest density lists feature populations of 5,000 or more on july 1, 2023. Census bureau's estimate of the world population size and an indication of how fast it is growing. The global population is counted by considering national census data, as well as birth and death rates. Rather, the clock is the u.s. How Does The World Population Clock Work.
From www.statista.com
Chart World Population Reaches 8 Billion Statista How Does The World Population Clock Work Census bureau's estimate of the world population size and an indication of how fast it is growing. Cities featured on the most populous and highest density lists feature populations of 5,000 or more on july 1, 2023. The global population is counted by considering national census data, as well as birth and death rates. Rather, the clock is the u.s. How Does The World Population Clock Work.
From www.youtube.com
WORLD POPULATION CLOCK NOVEMBER 8th 2022 YouTube How Does The World Population Clock Work Cities featured on the most populous and highest density lists feature populations of 5,000 or more on july 1, 2023. The global population is counted by considering national census data, as well as birth and death rates. Census bureau's estimate of the world population size and an indication of how fast it is growing. Rather, the clock is the u.s. How Does The World Population Clock Work.
From www.slideserve.com
PPT Introduction Key Concepts (Moeller Chapter 1) PowerPoint How Does The World Population Clock Work The global population is counted by considering national census data, as well as birth and death rates. Rather, the clock is the u.s. Census bureau's estimate of the world population size and an indication of how fast it is growing. Cities featured on the most populous and highest density lists feature populations of 5,000 or more on july 1, 2023. How Does The World Population Clock Work.
From www.slideserve.com
PPT Population Clock PowerPoint Presentation, free download ID5421118 How Does The World Population Clock Work Cities featured on the most populous and highest density lists feature populations of 5,000 or more on july 1, 2023. The global population is counted by considering national census data, as well as birth and death rates. Rather, the clock is the u.s. Census bureau's estimate of the world population size and an indication of how fast it is growing. How Does The World Population Clock Work.
From www.pinterest.com
Population Clock World Population clock, Ap environmental science, World How Does The World Population Clock Work Census bureau's estimate of the world population size and an indication of how fast it is growing. Rather, the clock is the u.s. The global population is counted by considering national census data, as well as birth and death rates. Cities featured on the most populous and highest density lists feature populations of 5,000 or more on july 1, 2023. How Does The World Population Clock Work.
From fity.club
World Population Clock How Does The World Population Clock Work The global population is counted by considering national census data, as well as birth and death rates. Cities featured on the most populous and highest density lists feature populations of 5,000 or more on july 1, 2023. Rather, the clock is the u.s. Census bureau's estimate of the world population size and an indication of how fast it is growing. How Does The World Population Clock Work.
From www.jkgeography.com
Why study population? GEOGRAPHY MYP/GCSE/DP How Does The World Population Clock Work Rather, the clock is the u.s. The global population is counted by considering national census data, as well as birth and death rates. Census bureau's estimate of the world population size and an indication of how fast it is growing. Cities featured on the most populous and highest density lists feature populations of 5,000 or more on july 1, 2023. How Does The World Population Clock Work.
From www.slideserve.com
PPT Population Clock PowerPoint Presentation, free download ID5421118 How Does The World Population Clock Work The global population is counted by considering national census data, as well as birth and death rates. Census bureau's estimate of the world population size and an indication of how fast it is growing. Cities featured on the most populous and highest density lists feature populations of 5,000 or more on july 1, 2023. Rather, the clock is the u.s. How Does The World Population Clock Work.
From www.youtube.com
World population hits 7 billion! Watch the oneminute population clock How Does The World Population Clock Work Census bureau's estimate of the world population size and an indication of how fast it is growing. Rather, the clock is the u.s. Cities featured on the most populous and highest density lists feature populations of 5,000 or more on july 1, 2023. The global population is counted by considering national census data, as well as birth and death rates. How Does The World Population Clock Work.
From www.slideserve.com
PPT World population clock PowerPoint Presentation, free download How Does The World Population Clock Work Census bureau's estimate of the world population size and an indication of how fast it is growing. The global population is counted by considering national census data, as well as birth and death rates. Cities featured on the most populous and highest density lists feature populations of 5,000 or more on july 1, 2023. Rather, the clock is the u.s. How Does The World Population Clock Work.
From www.slideserve.com
PPT Chapter 39 Population growth & regulation PowerPoint How Does The World Population Clock Work The global population is counted by considering national census data, as well as birth and death rates. Cities featured on the most populous and highest density lists feature populations of 5,000 or more on july 1, 2023. Rather, the clock is the u.s. Census bureau's estimate of the world population size and an indication of how fast it is growing. How Does The World Population Clock Work.
From informationhindi.in
World Population Clock Kya Hai? Information Hindi How Does The World Population Clock Work Cities featured on the most populous and highest density lists feature populations of 5,000 or more on july 1, 2023. Rather, the clock is the u.s. The global population is counted by considering national census data, as well as birth and death rates. Census bureau's estimate of the world population size and an indication of how fast it is growing. How Does The World Population Clock Work.