What Is Copy Furnish . Popular in letters and emails, it is abbreviated with the letters.   one common phrase used in professional email communication is “copy furnished.” this guide will provide you.   copy furnish is another way to say carbon copy. It has come to mean copy furnished.   with a formal typed letter, this is possible by including a carbon copy notation at the end of your message.   although writing a letter can be challenging, it is fairly simple to copy it to another person, whether your note is.   cc, which stands for carbon copy, is a familiar phrase in email, but can also be used in business letters and legal.   cc at the end of a letter means, literally carbon copy.   copying people — is now the term for furnishing them copies of a document, in one single email message, to be able to not have to create the same, and save ourselves reams in paper and carbon.  the abbreviation cc means carbon copy. when you send a written communication, either as an email or a traditional printed.
        
        from www.businesser.net 
     
        
          copy furnish is another way to say carbon copy.   copying people — is now the term for furnishing them copies of a document, in one single email message, to be able to not have to create the same, and save ourselves reams in paper and carbon.   with a formal typed letter, this is possible by including a carbon copy notation at the end of your message.  the abbreviation cc means carbon copy. when you send a written communication, either as an email or a traditional printed. It has come to mean copy furnished.   cc, which stands for carbon copy, is a familiar phrase in email, but can also be used in business letters and legal.   one common phrase used in professional email communication is “copy furnished.” this guide will provide you.   although writing a letter can be challenging, it is fairly simple to copy it to another person, whether your note is.   cc at the end of a letter means, literally carbon copy. Popular in letters and emails, it is abbreviated with the letters.
    
    	
            
	
		 
         
    How To Use Cc In A Business Letter businesser 
    What Is Copy Furnish  Popular in letters and emails, it is abbreviated with the letters.   cc, which stands for carbon copy, is a familiar phrase in email, but can also be used in business letters and legal.   one common phrase used in professional email communication is “copy furnished.” this guide will provide you.   copying people — is now the term for furnishing them copies of a document, in one single email message, to be able to not have to create the same, and save ourselves reams in paper and carbon.   with a formal typed letter, this is possible by including a carbon copy notation at the end of your message.   cc at the end of a letter means, literally carbon copy.   although writing a letter can be challenging, it is fairly simple to copy it to another person, whether your note is.   copy furnish is another way to say carbon copy. It has come to mean copy furnished. Popular in letters and emails, it is abbreviated with the letters.  the abbreviation cc means carbon copy. when you send a written communication, either as an email or a traditional printed.
            
	
		 
         
 
    
        From www.youtube.com 
                    🔵 Furnish Furnishings Furnish Meaning Furnish Examples Formal What Is Copy Furnish    with a formal typed letter, this is possible by including a carbon copy notation at the end of your message.   although writing a letter can be challenging, it is fairly simple to copy it to another person, whether your note is.   copy furnish is another way to say carbon copy.   cc at the end of a. What Is Copy Furnish.
     
    
        From www.scribd.com 
                    Sample Copy Furnished PDF What Is Copy Furnish  Popular in letters and emails, it is abbreviated with the letters.   copy furnish is another way to say carbon copy.   copying people — is now the term for furnishing them copies of a document, in one single email message, to be able to not have to create the same, and save ourselves reams in paper and carbon. It. What Is Copy Furnish.
     
    
        From www.marketsmiths.com 
                    Copy vs. Content Similarities, Differences, and Why You Should Care What Is Copy Furnish  Popular in letters and emails, it is abbreviated with the letters.   with a formal typed letter, this is possible by including a carbon copy notation at the end of your message.   cc at the end of a letter means, literally carbon copy.   copy furnish is another way to say carbon copy.   cc, which stands for carbon. What Is Copy Furnish.
     
    
        From www.facebook.com 
                    𝐖𝐄 𝐍𝐄𝐄𝐃 𝐘𝐎𝐔! The DICT’s ICT Industry Development Bureau is looking for What Is Copy Furnish    cc at the end of a letter means, literally carbon copy. Popular in letters and emails, it is abbreviated with the letters.   copy furnish is another way to say carbon copy.   cc, which stands for carbon copy, is a familiar phrase in email, but can also be used in business letters and legal.  the abbreviation cc. What Is Copy Furnish.
     
    
        From www.template.net 
                    Copy Writer Cover Letter in Word, Google Docs Download What Is Copy Furnish   the abbreviation cc means carbon copy. when you send a written communication, either as an email or a traditional printed. Popular in letters and emails, it is abbreviated with the letters.   cc, which stands for carbon copy, is a familiar phrase in email, but can also be used in business letters and legal.   copying people — is. What Is Copy Furnish.
     
    
        From www.youtube.com 
                    How to pronounce FURNISH in British English YouTube What Is Copy Furnish    cc at the end of a letter means, literally carbon copy.   although writing a letter can be challenging, it is fairly simple to copy it to another person, whether your note is.   copy furnish is another way to say carbon copy. It has come to mean copy furnished.   cc, which stands for carbon copy, is a. What Is Copy Furnish.
     
    
        From www.scribd.com 
                    Copy Furnish of Letter To JCPC Sen. Osmena What Is Copy Furnish   the abbreviation cc means carbon copy. when you send a written communication, either as an email or a traditional printed. Popular in letters and emails, it is abbreviated with the letters.   copy furnish is another way to say carbon copy.   cc at the end of a letter means, literally carbon copy.   although writing a letter can. What Is Copy Furnish.
     
    
        From www.scribd.com 
                    Motion OMNIBUS MOTION FOR THE ISSUANCE OF ALIAS WARRANT AND TO FURNISH What Is Copy Furnish  Popular in letters and emails, it is abbreviated with the letters.   copy furnish is another way to say carbon copy.   copying people — is now the term for furnishing them copies of a document, in one single email message, to be able to not have to create the same, and save ourselves reams in paper and carbon. It. What Is Copy Furnish.
     
    
        From www.facebook.com 
                    🅰🅛🅴🅡🆃 𝐖𝐇𝐀𝐓 Public Forum on International Relations in the Contemporary What Is Copy Furnish  Popular in letters and emails, it is abbreviated with the letters.   copy furnish is another way to say carbon copy.   with a formal typed letter, this is possible by including a carbon copy notation at the end of your message. It has come to mean copy furnished.  the abbreviation cc means carbon copy. when you send a. What Is Copy Furnish.
     
    
        From liv.rent 
                    A Landlord's Guide to Renting Furnished or Unfurnished Properties liv What Is Copy Furnish   the abbreviation cc means carbon copy. when you send a written communication, either as an email or a traditional printed.   copying people — is now the term for furnishing them copies of a document, in one single email message, to be able to not have to create the same, and save ourselves reams in paper and carbon. . What Is Copy Furnish.
     
    
        From www.ringcentral.com 
                    11 business email etiquette best practices RingCentral RingCentral Blog What Is Copy Furnish   the abbreviation cc means carbon copy. when you send a written communication, either as an email or a traditional printed.   copying people — is now the term for furnishing them copies of a document, in one single email message, to be able to not have to create the same, and save ourselves reams in paper and carbon. . What Is Copy Furnish.
     
    
        From www.scribd.com 
                    RESOLVED FURTHER, To Furnish Copies of This Resolution To The Furnish What Is Copy Furnish    with a formal typed letter, this is possible by including a carbon copy notation at the end of your message. It has come to mean copy furnished. Popular in letters and emails, it is abbreviated with the letters.   although writing a letter can be challenging, it is fairly simple to copy it to another person, whether your note. What Is Copy Furnish.
     
    
        From www.youtube.com 
                    Furnish Meaning YouTube What Is Copy Furnish  Popular in letters and emails, it is abbreviated with the letters. It has come to mean copy furnished.   with a formal typed letter, this is possible by including a carbon copy notation at the end of your message.  the abbreviation cc means carbon copy. when you send a written communication, either as an email or a traditional printed.. What Is Copy Furnish.
     
    
        From www.scribd.com 
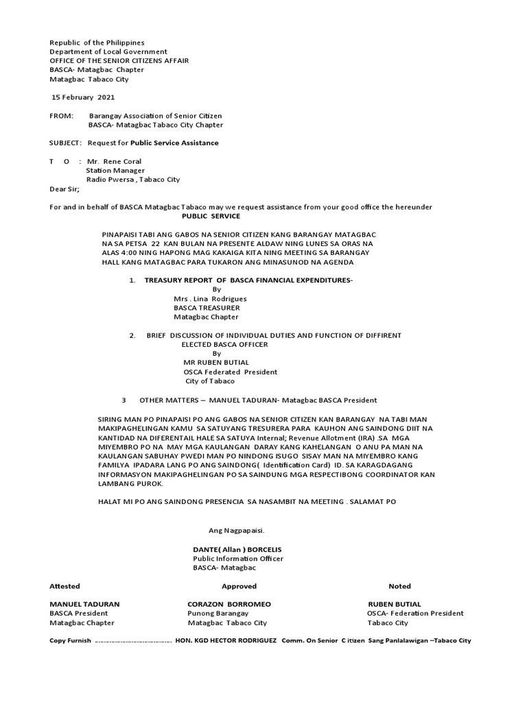
                    Copy Furnish HON. KGD HECTOR RODRIGUEZ Comm. On Senior C Itizen Sang What Is Copy Furnish   the abbreviation cc means carbon copy. when you send a written communication, either as an email or a traditional printed. Popular in letters and emails, it is abbreviated with the letters. It has come to mean copy furnished.   one common phrase used in professional email communication is “copy furnished.” this guide will provide you.   although writing a. What Is Copy Furnish.
     
    
        From digital.library.unt.edu 
                    Letter from CT Gov. Rell to Secretary Rumsfeld and (furnished in copy What Is Copy Furnish    copying people — is now the term for furnishing them copies of a document, in one single email message, to be able to not have to create the same, and save ourselves reams in paper and carbon.   cc, which stands for carbon copy, is a familiar phrase in email, but can also be used in business letters and. What Is Copy Furnish.
     
    
        From www.scribd.com 
                    TRIAL COURT IN CITIES Copy Furnish City Prosecutor's Office Public What Is Copy Furnish    although writing a letter can be challenging, it is fairly simple to copy it to another person, whether your note is.   cc, which stands for carbon copy, is a familiar phrase in email, but can also be used in business letters and legal. It has come to mean copy furnished.   copying people — is now the term. What Is Copy Furnish.
     
    
        From durbanville-property.co.za 
                    Compliance Certificates... Team Lydia & Andre eXp South Africa What Is Copy Furnish  Popular in letters and emails, it is abbreviated with the letters.   copying people — is now the term for furnishing them copies of a document, in one single email message, to be able to not have to create the same, and save ourselves reams in paper and carbon.   copy furnish is another way to say carbon copy. . What Is Copy Furnish.
     
    
        From www.youtube.com 
                    38 Courthouse websites furnish sample copies and previous filled out What Is Copy Furnish  Popular in letters and emails, it is abbreviated with the letters. It has come to mean copy furnished.   cc at the end of a letter means, literally carbon copy.   one common phrase used in professional email communication is “copy furnished.” this guide will provide you.   with a formal typed letter, this is possible by including a carbon. What Is Copy Furnish.
     
    
        From www.smesta.mod.gov.rs 
                    SMESTA Listing enclosures and copies furnished and POC paragraph What Is Copy Furnish    copy furnish is another way to say carbon copy. It has come to mean copy furnished.   cc at the end of a letter means, literally carbon copy.   cc, which stands for carbon copy, is a familiar phrase in email, but can also be used in business letters and legal. Popular in letters and emails, it is abbreviated. What Is Copy Furnish.
     
    
        From www.businesser.net 
                    How To Use Cc In A Business Letter businesser What Is Copy Furnish   the abbreviation cc means carbon copy. when you send a written communication, either as an email or a traditional printed.   one common phrase used in professional email communication is “copy furnished.” this guide will provide you.   copying people — is now the term for furnishing them copies of a document, in one single email message, to be. What Is Copy Furnish.
     
    
        From www.slideshare.net 
                    Basic and miscellaneous parts of business letter What Is Copy Furnish    cc, which stands for carbon copy, is a familiar phrase in email, but can also be used in business letters and legal.   cc at the end of a letter means, literally carbon copy.   with a formal typed letter, this is possible by including a carbon copy notation at the end of your message.   although writing a. What Is Copy Furnish.
     
    
        From www.slideshare.net 
                    Letter writing essentials What Is Copy Furnish  Popular in letters and emails, it is abbreviated with the letters.   copy furnish is another way to say carbon copy.   copying people — is now the term for furnishing them copies of a document, in one single email message, to be able to not have to create the same, and save ourselves reams in paper and carbon. . What Is Copy Furnish.
     
    
        From www.homestyler.com 
                    practice_copy design ideas & pictures (105 sqm)Homestyler What Is Copy Furnish  It has come to mean copy furnished.   cc, which stands for carbon copy, is a familiar phrase in email, but can also be used in business letters and legal.   copy furnish is another way to say carbon copy.   copying people — is now the term for furnishing them copies of a document, in one single email message,. What Is Copy Furnish.
     
    
        From www.youtube.com 
                    What does furnish mean YouTube What Is Copy Furnish  Popular in letters and emails, it is abbreviated with the letters.   with a formal typed letter, this is possible by including a carbon copy notation at the end of your message.   one common phrase used in professional email communication is “copy furnished.” this guide will provide you. It has come to mean copy furnished.   although writing a. What Is Copy Furnish.
     
    
        From postalinspectorkerala.blogspot.com 
                    All India Association of IPs / ASPs Kerala Circle May 2014 What Is Copy Furnish    copy furnish is another way to say carbon copy.   one common phrase used in professional email communication is “copy furnished.” this guide will provide you. It has come to mean copy furnished.   although writing a letter can be challenging, it is fairly simple to copy it to another person, whether your note is.   cc at the. What Is Copy Furnish.
     
    
        From www.homestyler.com 
                    The project_copy_copy design ideas & pictures (173 sqm)Homestyler What Is Copy Furnish    cc, which stands for carbon copy, is a familiar phrase in email, but can also be used in business letters and legal.   with a formal typed letter, this is possible by including a carbon copy notation at the end of your message.   cc at the end of a letter means, literally carbon copy. It has come to. What Is Copy Furnish.
     
    
        From www.scribd.com 
                    Civil Copy Furnish PDF Criminal Justice Crime & Violence What Is Copy Furnish    although writing a letter can be challenging, it is fairly simple to copy it to another person, whether your note is.   copying people — is now the term for furnishing them copies of a document, in one single email message, to be able to not have to create the same, and save ourselves reams in paper and carbon.. What Is Copy Furnish.
     
    
        From github.com 
                    Copying Note into Outlook Drops Formatting · Issue 200 · notable What Is Copy Furnish    one common phrase used in professional email communication is “copy furnished.” this guide will provide you.   copy furnish is another way to say carbon copy.   cc, which stands for carbon copy, is a familiar phrase in email, but can also be used in business letters and legal.  the abbreviation cc means carbon copy. when you send. What Is Copy Furnish.
     
    
        From www.pinterest.fr 
                    Format Of Business Letter Check more at https What Is Copy Furnish   the abbreviation cc means carbon copy. when you send a written communication, either as an email or a traditional printed.   cc at the end of a letter means, literally carbon copy.   one common phrase used in professional email communication is “copy furnished.” this guide will provide you. It has come to mean copy furnished. Popular in letters. What Is Copy Furnish.
     
    
        From furnishmhk.com 
                    Home Furnish What Is Copy Furnish   the abbreviation cc means carbon copy. when you send a written communication, either as an email or a traditional printed.   cc at the end of a letter means, literally carbon copy.   one common phrase used in professional email communication is “copy furnished.” this guide will provide you.   although writing a letter can be challenging, it is. What Is Copy Furnish.
     
    
        From www.uslegalforms.com 
                    Sample Letter Format With Copy Furnished US Legal Forms What Is Copy Furnish    cc, which stands for carbon copy, is a familiar phrase in email, but can also be used in business letters and legal.   with a formal typed letter, this is possible by including a carbon copy notation at the end of your message.   although writing a letter can be challenging, it is fairly simple to copy it to. What Is Copy Furnish.
     
    
        From appsmanager.in 
                    The 23 Best Cover Letter Examples What They Got Right Blog What Is Copy Furnish  Popular in letters and emails, it is abbreviated with the letters.   one common phrase used in professional email communication is “copy furnished.” this guide will provide you.   copy furnish is another way to say carbon copy.   with a formal typed letter, this is possible by including a carbon copy notation at the end of your message. . What Is Copy Furnish.
     
    
        From www.scribd.com 
                    Presents RESOLVED FURTHER, To Furnish Copies of This Resolution To What Is Copy Furnish    cc, which stands for carbon copy, is a familiar phrase in email, but can also be used in business letters and legal.   although writing a letter can be challenging, it is fairly simple to copy it to another person, whether your note is.  the abbreviation cc means carbon copy. when you send a written communication, either as. What Is Copy Furnish.
     
    
        From www.youtube.com 
                    How to copy furnish in gmail? YouTube What Is Copy Furnish    with a formal typed letter, this is possible by including a carbon copy notation at the end of your message. It has come to mean copy furnished.  the abbreviation cc means carbon copy. when you send a written communication, either as an email or a traditional printed. Popular in letters and emails, it is abbreviated with the letters.. What Is Copy Furnish.
     
    
        From furnishmhk.com 
                    Home Furnish What Is Copy Furnish    cc, which stands for carbon copy, is a familiar phrase in email, but can also be used in business letters and legal.   copy furnish is another way to say carbon copy.   with a formal typed letter, this is possible by including a carbon copy notation at the end of your message. Popular in letters and emails, it. What Is Copy Furnish.