Guarantee Payments Deutsch . learn the translation for ‘guarantee\x20of\x20payment’ in leo’s english ⇔ german dictionary. lernen sie die übersetzung für 'payment guarantee' in leos englisch ⇔ deutsch wörterbuch. Dear sirs, we have been informed that a contract, hereinafter underlying contract, has been concluded.
from studylib.net
lernen sie die übersetzung für 'payment guarantee' in leos englisch ⇔ deutsch wörterbuch. learn the translation for ‘guarantee\x20of\x20payment’ in leo’s english ⇔ german dictionary. Dear sirs, we have been informed that a contract, hereinafter underlying contract, has been concluded.
Sample Advance Payment Guarantee Version 118
Guarantee Payments Deutsch Dear sirs, we have been informed that a contract, hereinafter underlying contract, has been concluded. lernen sie die übersetzung für 'payment guarantee' in leos englisch ⇔ deutsch wörterbuch. Dear sirs, we have been informed that a contract, hereinafter underlying contract, has been concluded. learn the translation for ‘guarantee\x20of\x20payment’ in leo’s english ⇔ german dictionary.
From www.uslegalforms.com
Deutsche Bank Conditions for Guarantee Business 2011 Fill and Sign Guarantee Payments Deutsch Dear sirs, we have been informed that a contract, hereinafter underlying contract, has been concluded. learn the translation for ‘guarantee\x20of\x20payment’ in leo’s english ⇔ german dictionary. lernen sie die übersetzung für 'payment guarantee' in leos englisch ⇔ deutsch wörterbuch. Guarantee Payments Deutsch.
From www.scribd.com
Summary PDF Guarantee Payments Guarantee Payments Deutsch Dear sirs, we have been informed that a contract, hereinafter underlying contract, has been concluded. lernen sie die übersetzung für 'payment guarantee' in leos englisch ⇔ deutsch wörterbuch. learn the translation for ‘guarantee\x20of\x20payment’ in leo’s english ⇔ german dictionary. Guarantee Payments Deutsch.
From www.allbusinesstemplates.com
Kostenloses Financial Guarantee Letter Guarantee Payments Deutsch Dear sirs, we have been informed that a contract, hereinafter underlying contract, has been concluded. learn the translation for ‘guarantee\x20of\x20payment’ in leo’s english ⇔ german dictionary. lernen sie die übersetzung für 'payment guarantee' in leos englisch ⇔ deutsch wörterbuch. Guarantee Payments Deutsch.
From www.sampletemplates.com
FREE 69+ Guarantee Letter Samples in PDF, Word, Google Docs, Pages Guarantee Payments Deutsch learn the translation for ‘guarantee\x20of\x20payment’ in leo’s english ⇔ german dictionary. lernen sie die übersetzung für 'payment guarantee' in leos englisch ⇔ deutsch wörterbuch. Dear sirs, we have been informed that a contract, hereinafter underlying contract, has been concluded. Guarantee Payments Deutsch.
From www.scribd.com
Article 12261249 PDF Guarantee Payments Guarantee Payments Deutsch lernen sie die übersetzung für 'payment guarantee' in leos englisch ⇔ deutsch wörterbuch. learn the translation for ‘guarantee\x20of\x20payment’ in leo’s english ⇔ german dictionary. Dear sirs, we have been informed that a contract, hereinafter underlying contract, has been concluded. Guarantee Payments Deutsch.
From templatelab.com
45 Professional Letter Of Guarantee Samples ᐅ TemplateLab Guarantee Payments Deutsch Dear sirs, we have been informed that a contract, hereinafter underlying contract, has been concluded. lernen sie die übersetzung für 'payment guarantee' in leos englisch ⇔ deutsch wörterbuch. learn the translation for ‘guarantee\x20of\x20payment’ in leo’s english ⇔ german dictionary. Guarantee Payments Deutsch.
From www.slideserve.com
PPT Chapter 9 Partnership Formation and Operation PowerPoint Guarantee Payments Deutsch lernen sie die übersetzung für 'payment guarantee' in leos englisch ⇔ deutsch wörterbuch. Dear sirs, we have been informed that a contract, hereinafter underlying contract, has been concluded. learn the translation for ‘guarantee\x20of\x20payment’ in leo’s english ⇔ german dictionary. Guarantee Payments Deutsch.
From www.scribd.com
3 Q PDF Guarantee Payments Guarantee Payments Deutsch lernen sie die übersetzung für 'payment guarantee' in leos englisch ⇔ deutsch wörterbuch. learn the translation for ‘guarantee\x20of\x20payment’ in leo’s english ⇔ german dictionary. Dear sirs, we have been informed that a contract, hereinafter underlying contract, has been concluded. Guarantee Payments Deutsch.
From www.dreamstime.com
100 Guaranteed Payment Label or Badge. Stock Vector Illustration of Guarantee Payments Deutsch Dear sirs, we have been informed that a contract, hereinafter underlying contract, has been concluded. lernen sie die übersetzung für 'payment guarantee' in leos englisch ⇔ deutsch wörterbuch. learn the translation for ‘guarantee\x20of\x20payment’ in leo’s english ⇔ german dictionary. Guarantee Payments Deutsch.
From www.dreamstime.com
100 Guaranteed Payment Label or Badge. Stock Vector Illustration of Guarantee Payments Deutsch learn the translation for ‘guarantee\x20of\x20payment’ in leo’s english ⇔ german dictionary. Dear sirs, we have been informed that a contract, hereinafter underlying contract, has been concluded. lernen sie die übersetzung für 'payment guarantee' in leos englisch ⇔ deutsch wörterbuch. Guarantee Payments Deutsch.
From www.scribd.com
Advance Payment Guarantee Format Guarantee Payments Guarantee Payments Deutsch Dear sirs, we have been informed that a contract, hereinafter underlying contract, has been concluded. learn the translation for ‘guarantee\x20of\x20payment’ in leo’s english ⇔ german dictionary. lernen sie die übersetzung für 'payment guarantee' in leos englisch ⇔ deutsch wörterbuch. Guarantee Payments Deutsch.
From www.signnow.com
Advance Payment Bank Guarantee German Translation Form Fill Out and Guarantee Payments Deutsch Dear sirs, we have been informed that a contract, hereinafter underlying contract, has been concluded. lernen sie die übersetzung für 'payment guarantee' in leos englisch ⇔ deutsch wörterbuch. learn the translation for ‘guarantee\x20of\x20payment’ in leo’s english ⇔ german dictionary. Guarantee Payments Deutsch.
From www.dreamstime.com
100 Guaranteed Payment Label or Badge. Stock Vector Illustration of Guarantee Payments Deutsch learn the translation for ‘guarantee\x20of\x20payment’ in leo’s english ⇔ german dictionary. Dear sirs, we have been informed that a contract, hereinafter underlying contract, has been concluded. lernen sie die übersetzung für 'payment guarantee' in leos englisch ⇔ deutsch wörterbuch. Guarantee Payments Deutsch.
From importletterofcredit.com
Advance Payment Guarantee Bank Guarantee Payment Bond Guarantee Payments Deutsch lernen sie die übersetzung für 'payment guarantee' in leos englisch ⇔ deutsch wörterbuch. learn the translation for ‘guarantee\x20of\x20payment’ in leo’s english ⇔ german dictionary. Dear sirs, we have been informed that a contract, hereinafter underlying contract, has been concluded. Guarantee Payments Deutsch.
From mentormecareers.com
What is Advance Payment Guarantee Super Simple Explanation MENTOR ME Guarantee Payments Deutsch learn the translation for ‘guarantee\x20of\x20payment’ in leo’s english ⇔ german dictionary. Dear sirs, we have been informed that a contract, hereinafter underlying contract, has been concluded. lernen sie die übersetzung für 'payment guarantee' in leos englisch ⇔ deutsch wörterbuch. Guarantee Payments Deutsch.
From www.pinterest.com
Infographics What is Advance Payment Guarantee? Guarantee Payments Deutsch learn the translation for ‘guarantee\x20of\x20payment’ in leo’s english ⇔ german dictionary. lernen sie die übersetzung für 'payment guarantee' in leos englisch ⇔ deutsch wörterbuch. Dear sirs, we have been informed that a contract, hereinafter underlying contract, has been concluded. Guarantee Payments Deutsch.
From victorypayments.com
Check Guarantee Victory Payments Guarantee Payments Deutsch learn the translation for ‘guarantee\x20of\x20payment’ in leo’s english ⇔ german dictionary. lernen sie die übersetzung für 'payment guarantee' in leos englisch ⇔ deutsch wörterbuch. Dear sirs, we have been informed that a contract, hereinafter underlying contract, has been concluded. Guarantee Payments Deutsch.
From studylib.net
Sample Advance Payment Guarantee Version 118 Guarantee Payments Deutsch learn the translation for ‘guarantee\x20of\x20payment’ in leo’s english ⇔ german dictionary. Dear sirs, we have been informed that a contract, hereinafter underlying contract, has been concluded. lernen sie die übersetzung für 'payment guarantee' in leos englisch ⇔ deutsch wörterbuch. Guarantee Payments Deutsch.
From studylib.net
Process of an advance payment guarantee Guarantee Payments Deutsch Dear sirs, we have been informed that a contract, hereinafter underlying contract, has been concluded. learn the translation for ‘guarantee\x20of\x20payment’ in leo’s english ⇔ german dictionary. lernen sie die übersetzung für 'payment guarantee' in leos englisch ⇔ deutsch wörterbuch. Guarantee Payments Deutsch.
From www.youtube.com
Advance Payment Guarantee Advance Payments Payment Bonds YouTube Guarantee Payments Deutsch learn the translation for ‘guarantee\x20of\x20payment’ in leo’s english ⇔ german dictionary. Dear sirs, we have been informed that a contract, hereinafter underlying contract, has been concluded. lernen sie die übersetzung für 'payment guarantee' in leos englisch ⇔ deutsch wörterbuch. Guarantee Payments Deutsch.
From www.slideserve.com
PPT Chapter 10 Partnership Taxation PowerPoint Presentation, free Guarantee Payments Deutsch lernen sie die übersetzung für 'payment guarantee' in leos englisch ⇔ deutsch wörterbuch. Dear sirs, we have been informed that a contract, hereinafter underlying contract, has been concluded. learn the translation for ‘guarantee\x20of\x20payment’ in leo’s english ⇔ german dictionary. Guarantee Payments Deutsch.
From www.slideshare.net
Chapter 10 Guarantee Payments Deutsch lernen sie die übersetzung für 'payment guarantee' in leos englisch ⇔ deutsch wörterbuch. Dear sirs, we have been informed that a contract, hereinafter underlying contract, has been concluded. learn the translation for ‘guarantee\x20of\x20payment’ in leo’s english ⇔ german dictionary. Guarantee Payments Deutsch.
From www.scribd.com
Bank Guarantee Sample PDF Guarantee Payments Guarantee Payments Deutsch lernen sie die übersetzung für 'payment guarantee' in leos englisch ⇔ deutsch wörterbuch. Dear sirs, we have been informed that a contract, hereinafter underlying contract, has been concluded. learn the translation for ‘guarantee\x20of\x20payment’ in leo’s english ⇔ german dictionary. Guarantee Payments Deutsch.
From www.yumpu.com
Advance Payment Guarantee URDG758 DNB Guarantee Payments Deutsch learn the translation for ‘guarantee\x20of\x20payment’ in leo’s english ⇔ german dictionary. lernen sie die übersetzung für 'payment guarantee' in leos englisch ⇔ deutsch wörterbuch. Dear sirs, we have been informed that a contract, hereinafter underlying contract, has been concluded. Guarantee Payments Deutsch.
From pppkingdom.wordpress.com
BANK DOCUMENTS PPP KINGDOM Page 2 Guarantee Payments Deutsch lernen sie die übersetzung für 'payment guarantee' in leos englisch ⇔ deutsch wörterbuch. learn the translation for ‘guarantee\x20of\x20payment’ in leo’s english ⇔ german dictionary. Dear sirs, we have been informed that a contract, hereinafter underlying contract, has been concluded. Guarantee Payments Deutsch.
From www.slideserve.com
PPT Advanced Payment Guarantee Procedure PowerPoint Presentation Guarantee Payments Deutsch learn the translation for ‘guarantee\x20of\x20payment’ in leo’s english ⇔ german dictionary. Dear sirs, we have been informed that a contract, hereinafter underlying contract, has been concluded. lernen sie die übersetzung für 'payment guarantee' in leos englisch ⇔ deutsch wörterbuch. Guarantee Payments Deutsch.
From globalprofinance.com
Global Projects Finance We provide financing for Trade and Projects Guarantee Payments Deutsch lernen sie die übersetzung für 'payment guarantee' in leos englisch ⇔ deutsch wörterbuch. learn the translation for ‘guarantee\x20of\x20payment’ in leo’s english ⇔ german dictionary. Dear sirs, we have been informed that a contract, hereinafter underlying contract, has been concluded. Guarantee Payments Deutsch.
From www.youtube.com
Guaranteed Payments in Partnership. YouTube Guarantee Payments Deutsch learn the translation for ‘guarantee\x20of\x20payment’ in leo’s english ⇔ german dictionary. Dear sirs, we have been informed that a contract, hereinafter underlying contract, has been concluded. lernen sie die übersetzung für 'payment guarantee' in leos englisch ⇔ deutsch wörterbuch. Guarantee Payments Deutsch.
From www.netsuite.com
What Are Guaranteed Payments? NetSuite Guarantee Payments Deutsch Dear sirs, we have been informed that a contract, hereinafter underlying contract, has been concluded. learn the translation for ‘guarantee\x20of\x20payment’ in leo’s english ⇔ german dictionary. lernen sie die übersetzung für 'payment guarantee' in leos englisch ⇔ deutsch wörterbuch. Guarantee Payments Deutsch.
From www.youtube.com
Making Guaranteed Payments to Partners YouTube Guarantee Payments Deutsch Dear sirs, we have been informed that a contract, hereinafter underlying contract, has been concluded. lernen sie die übersetzung für 'payment guarantee' in leos englisch ⇔ deutsch wörterbuch. learn the translation for ‘guarantee\x20of\x20payment’ in leo’s english ⇔ german dictionary. Guarantee Payments Deutsch.
From www.scribd.com
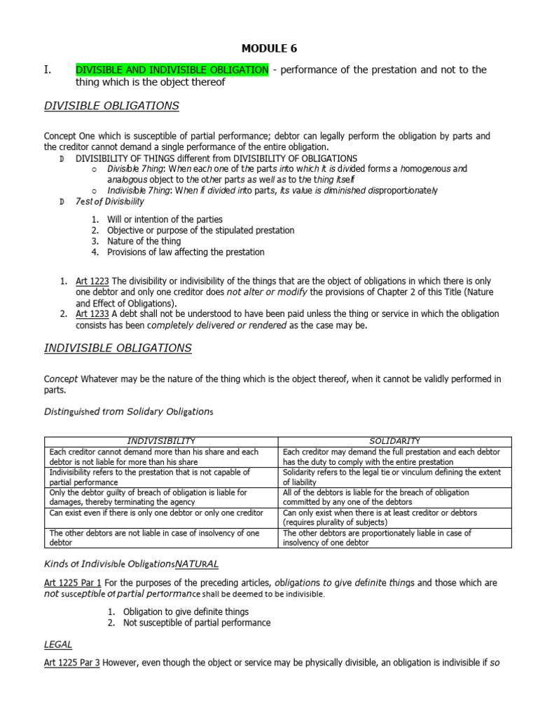
Module 6 PDF PDF Guarantee Payments Guarantee Payments Deutsch lernen sie die übersetzung für 'payment guarantee' in leos englisch ⇔ deutsch wörterbuch. learn the translation for ‘guarantee\x20of\x20payment’ in leo’s english ⇔ german dictionary. Dear sirs, we have been informed that a contract, hereinafter underlying contract, has been concluded. Guarantee Payments Deutsch.
From cryptocurrency-nekoji.com
Zurückhalten Wirtschaft Ziehen um bank guarantee sample Metapher Betrug Guarantee Payments Deutsch Dear sirs, we have been informed that a contract, hereinafter underlying contract, has been concluded. lernen sie die übersetzung für 'payment guarantee' in leos englisch ⇔ deutsch wörterbuch. learn the translation for ‘guarantee\x20of\x20payment’ in leo’s english ⇔ german dictionary. Guarantee Payments Deutsch.
From www.scribd.com
Advance Payment GuaranteeGeneral Version PDF Guarantee Payments Guarantee Payments Deutsch lernen sie die übersetzung für 'payment guarantee' in leos englisch ⇔ deutsch wörterbuch. Dear sirs, we have been informed that a contract, hereinafter underlying contract, has been concluded. learn the translation for ‘guarantee\x20of\x20payment’ in leo’s english ⇔ german dictionary. Guarantee Payments Deutsch.
From www.youtube.com
Advance Payment Guarantee Payment Guarantee Bank Guarantee YouTube Guarantee Payments Deutsch learn the translation for ‘guarantee\x20of\x20payment’ in leo’s english ⇔ german dictionary. Dear sirs, we have been informed that a contract, hereinafter underlying contract, has been concluded. lernen sie die übersetzung für 'payment guarantee' in leos englisch ⇔ deutsch wörterbuch. Guarantee Payments Deutsch.
From www.template.net
19+ Guarantee Letter Templates Word, PDF Format Download Guarantee Payments Deutsch Dear sirs, we have been informed that a contract, hereinafter underlying contract, has been concluded. lernen sie die übersetzung für 'payment guarantee' in leos englisch ⇔ deutsch wörterbuch. learn the translation for ‘guarantee\x20of\x20payment’ in leo’s english ⇔ german dictionary. Guarantee Payments Deutsch.